不銹鋼電化學拋光液一般含有硫酸、磷酸、鉻酐及少量的水,以及在電解過程中溶入的Fe3+、Cr3+、Ni2+、Mn2+等雜質。當采用標準堿液連續滴定時,這些金屬雜質的鹽類會水解,使分析結果偏高。因此,在滴定過程中要加入絡合劑掩蔽金屬雜質,以防止水解。絡合掩蔽劑采用六偏磷酸鈉或EDTA。
采用(yong)六(liu)偏磷(lin)酸(suan)鈉(na)時(shi),由于其水溶液pH=6,采用(yong)甲(jia)基紅和溴甲(jia)酚綠混合(he)指示(shi)劑(ji)在第(di)一個(ge)等電點滴(di)定時(shi)pH=5,所(suo)以(yi)六(liu)偏磷(lin)酸(suan)鈉(na)不消耗堿(jian),用(yong)酚酞為指示(shi)劑(ji)進行第(di)二個(ge)等電點滴(di)定時(shi)pH=9.5,六(liu)偏磷(lin)酸(suan)鈉(na)就會耗去相應量(liang)的堿(jian),此堿(jian)量(liang)需在計(ji)算中扣除(chu)。其反應式如下。
第(di)一個等電點(dian)時(pH=5):
H2SO4+2NaOH→Na2SO4+2H2O
H3PO4+NaOH→NaH2PO4+H2O
H2CrO4+NaOH→NaHCrO4+H2O
第二個(ge)等電點時(pH=9.5):
NaH2PO4+NaOH→Na2HPO4+H2O
NaHCrO4+NaOH→Na2CrO4+H2O
(NaPO3)6+6NaOH→6Na2HPO4
若是采用 EDTA,從(cong)絡(luo)合能力(li)看(kan)比六偏磷酸鈉好(hao),但第一(yi)個(ge)等(deng)電(dian)點時,0.05mol/L的(de)EDTA溶液的(de)pH約為4,離第一(yi)個(ge)等(deng)電(dian)點較遠,需消耗一(yi)定量的(de)氫氧化鈉,到達第二個(ge)等(deng)電(dian)點時進一(yi)步消耗氫氧化鈉,需分別扣除(chu)。
扣除方法:取一個(ge)同本操作中所加絡合掩(yan)蔽劑(ji)(ji)用(yong)量(liang)相(xiang)同的(de)絡合掩(yan)蔽劑(ji)(ji),加水稀釋,進行空白實(shi)驗,(不(bu)加電化(hua)學(xue)拋光液(ye)),分(fen)別以甲基紅、溴(xiu)甲酚(fen)綠(lv)指(zhi)(zhi)示(shi)(shi)劑(ji)(ji)用(yong)氫氧化(hua)鈉標準(zhun)(zhun)液(ye)滴(di)(di)定(ding)至(zhi)第(di)一個(ge)等(deng)電點,由(you)紅變綠(lv),記錄耗用(yong)的(de)氫氧化(hua)鈉毫(hao)升(sheng)數,以酚(fen)酞為指(zhi)(zhi)示(shi)(shi)劑(ji)(ji)用(yong)氫氧化(hua)鈉標準(zhun)(zhun)液(ye)滴(di)(di)至(zhi)第(di)二個(ge)等(deng)電點,由(you)綠(lv)色變紫紅色,記錄耗用(yong)的(de)氫氧化(hua)鈉毫(hao)升(sheng)數,分(fen)別在(zai)計算中減去。
1. 試劑(ji)
①. 標準0.5mol氫氧化鈉溶液。稱取20g氫氧化鈉溶于蒸餾水(shui)中,用水(shui)在量(liang)瓶中稀釋至1L.
標(biao)定:稱取(qu)在120℃干燥2h后的(de)分析(xi)純(chun)苯二甲酸氫(qing)(qing)鉀(KHC8H4O4)4g(四位有效數(shu)字P)于250mL錐形杯中,加水100mL,溫熱使其溶解,加入酚酞指示劑2滴,用配制好的(de)氫(qing)(qing)氧化鈉溶液滴定至淡紅色為終點,記錄耗用的(de)氫(qing)(qing)氧化鈉溶液為V(mL)。
計算:標準氫氧化鈉溶液(ye)的摩爾濃(nong)度
M= P × 1000 / V × 204.2 (mol/L)
②. 0.1mol六偏(pian)(pian)磷(lin)(lin)酸的(de)(de)溶(rong)液。稱取(qu)120℃干燥2h后的(de)(de)分析(xi)純六偏(pian)(pian)磷(lin)(lin)酸鈉61.20g,溶(rong)于蒸餾水中,用水在容量瓶中稀釋至1L。不需標定。
③. 0.05mol EDTA標準溶液。②和③中兩者擇其一,稱取分析純EDTA(乙二胺四乙酸二鈉,其分子式C10H14N2O8Na2·2H2O)20g,溶解于熱蒸餾水中,冷卻后,用水在容量瓶中稀釋至1L。
標定:稱取(qu)分(fen)析純(chun)金屬鋅0.4g(準(zhun)確稱重至(zhi)四位有效數字P),在250mL錐形(xing)瓶中(zhong)(zhong)用1:1試劑鹽酸(suan)加(jia)熱溶(rong)解(jie)鋅至(zhi)完(wan)全形(xing)成氯(lv)(lv)(lv)化鋅,冷(leng)卻,移(yi)(yi)入100mL容(rong)量瓶中(zhong)(zhong),加(jia)水(shui)(shui)(shui)稀釋(shi)至(zhi)刻度,搖(yao)勻(yun)。用移(yi)(yi)液(ye)(ye)管吸取(qu)20mL于(yu)250mL錐形(xing)瓶中(zhong)(zhong),加(jia)水(shui)(shui)(shui)50mL,以(yi)(yi)氨水(shui)(shui)(shui)調節至(zhi)微堿性,加(jia)入pH=10緩沖溶(rong)液(ye)(ye)(溶(rong)解(jie)54g氯(lv)(lv)(lv)化銨于(yu)水(shui)(shui)(shui)中(zhong)(zhong),加(jia)入350mL濃氨水(shui)(shui)(shui),加(jia)水(shui)(shui)(shui)稀釋(shi)至(zhi)1L)10mL,鉻黑T指示劑(0.5g鉻黑T和氯(lv)(lv)(lv)化鈉50g研磨而(er)成)少許,搖(yao)勻(yun),以(yi)(yi)配(pei)好的(de)0.05mol EDTA標準(zhun)溶(rong)液(ye)(ye)滴定至(zhi)由紅變藍色為終點(dian),記錄耗用的(de)EDTA溶(rong)液(ye)(ye)V(mL).
計算:標準EDTA溶液(ye)濃度(du)

④. 甲(jia)基(ji)紅(hong)指示(shi)劑(pH 4.2~6.3).稱取甲(jia)基(ji)紅(hong)0.1g溶解于60mL乙醇(chun)中,溶解后加水稀(xi)釋至(zhi)100mL。
⑤. 溴甲酚(fen)(fen)綠指(zhi)示(shi)劑(pH 3.6~5.2).稱取溴甲酚(fen)(fen)綠0.1g溶解于2.88mL的0.05mol氫(qing)氧化(hua)鈉溶液中,加水稀釋至250mL。
⑥. 酚酞指示劑(pH 8.3~10.0).稱取1g酚酞溶解(jie)于(yu)80mL乙醇中,溶解(jie)后加水稀釋至100mL.
2. 分析方法
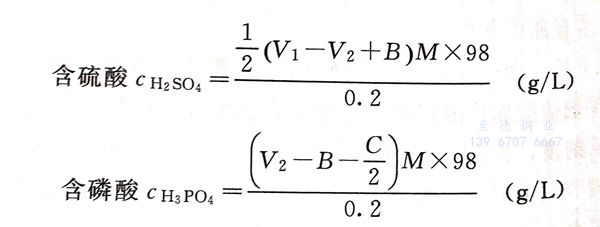
①. 用(yong)六偏磷(lin)酸鈉(na)作掩蔽(bi)劑(ji)。
a. 吸取試液5mL于250mL容量瓶中,加水稀釋至刻(ke)度,搖勻。
b. 吸取此液10mL于(yu)(yu)300mL錐(zhui)形(xing)瓶中(相當于(yu)(yu)原液0.2mL),加水(shui)80mL。
c. 用(yong)移液管準確(que)加(jia)人六偏磷酸鈉溶液20mL。
d. 加甲(jia)基紅(hong)4滴(di)、溴甲(jia)酚綠6滴(di)。
e. 以0.5mol氫(qing)氧化鈉標準溶液滴定至綠色為終(zhong)點,記錄耗用量V1。
f. 加酚酞(tai)5滴。
g. 以0.5mol氫氧化鈉(na)標準(zhun)溶液滴(di)定至紅色(保持20s不(bu)退),記錄耗用量V2。
h. 另用(yong)移液(ye)管吸取0.1mol六偏(pian)磷酸鈉溶液(ye)20mL于250mL錐形瓶中,加水80mL。
i. 加酚酞5滴。
j. 用(yong)0.5mol氫氧化鈉溶液滴定至紅(hong)色,記錄耗用(yong)量B(mL)。
計算:

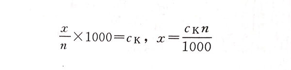
式中,M為標準氫氧化鈉溶液的摩爾濃度;C為中和所取試液中的CrO3相的標準氫氧化鈉溶液的容積,mL。
設n為(wei)所取(qu)試樣容積,mL;ck為(wei)三氧化(hua)鉻濃(nong)度,g/L;x為(wei)所取(qu)試樣中含氧化(hua)鉻質量,g;
則(ze)有:


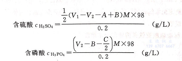
②. 用(yong)EDTA作掩蔽劑。
a. 吸取試液5mL于250mL容(rong)量(liang)瓶中,加(jia)水稀釋至刻度,搖勻(yun)。
b. 吸(xi)取此(ci)液10mL于300mL錐形瓶中(相當于原液0.2mL),加水80mL。
c. 用移液(ye)管準(zhun)確(que)加入(ru)0.05mol EDTA標準(zhun)溶(rong)液(ye)20mL。
d. 加甲(jia)(jia)基紅(hong)4滴(di)、溴甲(jia)(jia)酚綠6滴(di)。
e. 用0.5mol氫氧化鈉標準溶液滴定至綠色為終點,記錄耗用量為V1。
f. 加酚酞5滴。
g. 用0.5mol氫氧化鈉標準溶液滴定至紅色(保持20s不褪色),記錄耗用量為V2。
h. 另(ling)用滴(di)定管取(qu)0.05mol EDTA于250mL錐形(xing)瓶中,加(jia)水80mL。
i. 加甲(jia)基(ji)紅(hong)4滴,溴甲(jia)酚綠6滴。
j. 用(yong)0.05mol氫氧(yang)化鈉溶液(ye)滴定至綠色,記錄耗用(yong)量為(wei)A。
k. 加酚(fen)酞5滴。
l. 繼(ji)續用(yong)(yong)0.05mol氫氧化鈉(na)溶液滴(di)定至紅色,記錄耗用(yong)(yong)量(liang)為B。
計算:

C 的計算與(yu)①用六偏磷(lin)酸鈉掩蔽的公式(shi)相同。

