充滿久久99國產精品久久99果凍傳媒:超聲波的空間或超聲振動所波及的部分介質稱為超聲場。描述超聲場的常用物理量主要有聲壓、聲阻抗、聲強等。
1. 聲壓
假設(she)某(mou)一點在(zai)沒有(you)超(chao)聲波存(cun)在(zai)時的靜態(tai)壓強為P0,存(cun)在(zai)超(chao)聲波時某(mou)一時刻所具有(you)的壓強P1,兩者之差即為該點的瞬時聲壓P。聲壓單位與壓強單位相(xiang)同(tong),均為Pa(帕)。
有效聲壓是指在一(yi)定時間(jian)間(jian)隔(ge)內(nei),瞬時聲壓對時間(jian)取均方根(gen)值,即

超聲(sheng)波在(zai)介質(zhi)(zhi)中傳播時,介質(zhi)(zhi)每一點的聲(sheng)壓(ya)隨時間和振(zhen)動位(wei)移量(liang)的不同而變化(hua),所以瞬(shun)時聲(sheng)壓(ya)P是時間和位(wei)移的函數,可(ke)由下式(shi)表達:

由式(2.1)可(ke)知,超聲(sheng)場(chang)(chang)中(zhong)(zhong)某(mou)一(yi)(yi)點的(de)(de)聲(sheng)壓(ya)按余弦函(han)數周期性(xing)變化(hua)。聲(sheng)壓(ya)的(de)(de)幅(fu)值與介(jie)質(zhi)的(de)(de)密度(du)、波速(su)(su)(su)、質(zhi)點振動速(su)(su)(su)度(du)成正比。通常固(gu)體(ti)(ti)介(jie)質(zhi)由于密度(du)大、聲(sheng)速(su)(su)(su)高和質(zhi)點振速(su)(su)(su)高,導致置(zhi)于同一(yi)(yi)超聲(sheng)場(chang)(chang)中(zhong)(zhong)的(de)(de)介(jie)質(zhi)(離(li)聲(sheng)源(yuan)距離(li)相同),以固(gu)體(ti)(ti)介(jie)質(zhi)中(zhong)(zhong)的(de)(de)聲(sheng)壓(ya)最(zui)高,液體(ti)(ti)中(zhong)(zhong)聲(sheng)壓(ya)次之,氣(qi)體(ti)(ti)中(zhong)(zhong)聲(sheng)壓(ya)最(zui)小。當然,對(dui)于不同固(gu)體(ti)(ti)介(jie)質(zhi)而言,因材料性(xing)質(zhi)、密度(du)、聲(sheng)速(su)(su)(su)等(deng)因素的(de)(de)差異,對(dui)應的(de)(de)聲(sheng)壓(ya)也會有所區別。一(yi)(yi)般認為,探傷儀(yi)顯示屏上的(de)(de)信號高度(du)與聲(sheng)壓(ya)成正比。
2. 聲阻抗
超聲(sheng)場(chang)中(zhong)任一點(dian)的聲(sheng)壓與該處質點(dian)振動速度之(zhi)比(bi)稱為聲(sheng)阻(zu)抗,也稱特(te)性阻(zu)抗,常用符號Z表(biao)示,單位為kg/(m2·s)[千克/(平方米·秒)]:

由(you)式(2.2)可(ke)知,聲(sheng)阻抗(kang)的(de)大小等于(yu)介質的(de)密(mi)度(du)(du)與波(bo)速(su)的(de)乘(cheng)積。不難看出,在同(tong)一聲(sheng)壓(ya)下,Z增加,質點(dian)的(de)振(zhen)動速(su)度(du)(du)下降。因此聲(sheng)阻抗(kang)Z可(ke)理(li)解為介質對(dui)質點(dian)振(zhen)動的(de)阻礙作用。類(lei)似于(yu)電學中(zhong)的(de)歐(ou)姆定律 I=U/R,電壓(ya)定,電阻增加,電流減(jian)少。
聲阻抗(kang)是表征介質聲學性(xing)質的重(zhong)要(yao)物理(li)量。超聲波在(zai)異種介質界面上的反(fan)射(she)和透射(she)情(qing)況與聲阻抗(kang)關系密切(qie)。
3. 聲強
單(dan)位時間內在垂直(zhi)于聲波傳播方向(xiang)的(de)介質指定面(mian)積(ji)上所通(tong)過的(de)平均(jun)聲能量,稱為平均(jun)聲功(gong)(gong)率或(huo)平均(jun)聲能量流。單(dan)位面(mian)積(ji)上的(de)平均(jun)聲功(gong)(gong)率稱為聲強(qiang)度,簡稱聲強(qiang),通(tong)常用(yong)符號I表示(shi),單(dan)位為瓦/平方米(W/㎡),可(ke)寫(xie)作(zuo)

由式(shi)(2.3)可知,在同(tong)一介(jie)質中,聲強與聲壓的平方成正比(bi)。
4. 聲壓級、聲強級
直接使用(yong)(yong)聲(sheng)壓(ya)、聲(sheng)強等物理量描述實際(ji)生活中的各種聲(sheng)音(yin),數值(zhi)變化(hua)(hua)范圍會(hui)非常寬,涉及的數量級也相(xiang)差巨(ju)大(da),如果使用(yong)(yong)對(dui)(dui)(dui)(dui)(dui)數標(biao)度(du)來(lai)進行比較計算就(jiu)能(neng)大(da)大(da)簡化(hua)(hua)運算。另一個原因是人耳對(dui)(dui)(dui)(dui)(dui)聲(sheng)音(yin)的接收更接近正比于其對(dui)(dui)(dui)(dui)(dui)數值(zhi),并(bing)非正比于強度(du)。因此,在聲(sheng)學中普(pu)遍使用(yong)(yong)對(dui)(dui)(dui)(dui)(dui)數標(biao)度(du)對(dui)(dui)(dui)(dui)(dui)聲(sheng)壓(ya)、聲(sheng)強等參數進行度(du)量,對(dui)(dui)(dui)(dui)(dui)應的,分(fen)別稱為(wei)聲(sheng)壓(ya)級、聲(sheng)強級,單(dan)位用(yong)(yong)Bel(貝(bei)爾(er))表示,因為(wei)貝(bei)爾(er)的單(dan)位比較大(da),工(gong)程上使用(yong)(yong)時將其縮至1/10后以dB(分(fen)貝(bei))為(wei)單(dan)位。
聲壓級的符號通常用Lp表示。定義聲壓級為將待測聲壓的有效值Pe與基準聲壓P0。的比值取以10為底的常用對數,再乘以20,即

在空氣中,基準聲壓為P0=2×105Pa,這個數值是正常人聽覺對1kHz聲音稍稍感知到的最低聲壓值,低于此,通常人的聽覺系統就感知不到了,亦即聽閾聲壓級為0dB。人耳的聽覺從可聽閾的2×105Pa的聲壓到痛閾的20 Pa,兩者相差100萬倍,而用聲壓級來表示則變化為0~120dB的范圍,使對聲音的描述大為方便。
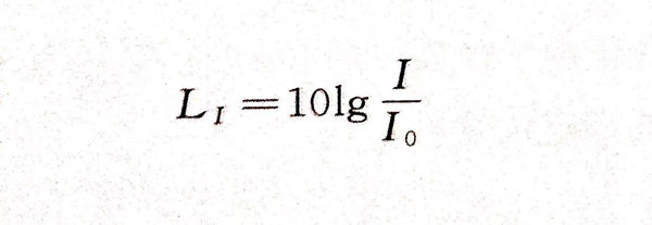
聲強級的符號為LI,定義為待測聲強I與基準聲強I0的比值取以10為底的常用對數,再乘以10,即

在空氣中,基準聲強I0取為1×1012 W/㎡,與空氣中基準聲壓相對應,是能夠引起人耳聽覺的最低聲強。
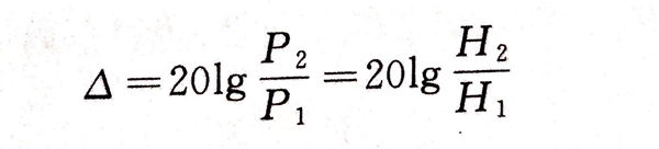
垂直(zhi)線性(xing)較好(hao)的探(tan)傷儀,顯(xian)示屏(ping)顯(xian)示的信號(hao)高度與聲壓成正比,有

式中,基準聲壓P1和基準聲強H1可任意選取。
常用聲壓(ya)比(波高比)對應的分貝值見表2.1.


