擠壓筒是不銹鋼管擠壓機組工模具中最大的部件,25~30MN(2500~3000t)擠壓機的擠壓筒一套筒部件的重量達到8~10噸,50MN(5000t)擠壓機擠壓筒重約15t,60MN(6000t)擠壓機的擠壓筒重為20t,80MN(8000t)擠壓機的擠壓筒重40t,而220MN(20000t)擠壓機的擠壓筒重達100t以上。
擠壓(ya)(ya)筒是用(yong)于放置(zhi)已加(jia)熱(re)到(dao)擠壓(ya)(ya)溫(wen)度的(de)(de)坯料(liao)的(de)(de)容器。擠壓(ya)(ya)時擠壓(ya)(ya)筒內(nei)壁承受著將(jiang)坯料(liao)擠壓(ya)(ya)成制(zhi)品(pin)全(quan)部變形的(de)(de)徑向(xiang)壓(ya)(ya)力,其負荷水(shui)平(ping)可以(yi)達到(dao)1000MPa以(yi)上。
擠(ji)(ji)(ji)壓(ya)(ya)(ya)筒(tong)的(de)(de)(de)(de)(de)工作(zuo)條件是十分嚴酷的(de)(de)(de)(de)(de)。沿被加熱(re)的(de)(de)(de)(de)(de)擠(ji)(ji)(ji)筒(tong)內(nei)襯(chen)的(de)(de)(de)(de)(de)長度(du)方向(xiang)上,周期性(xing)的(de)(de)(de)(de)(de)作(zuo)用有(you)強(qiang)烈(lie)的(de)(de)(de)(de)(de)、不均勻的(de)(de)(de)(de)(de)加熱(re)和(he)冷(leng)(leng)卻,高(gao)溫(wen)坯料與擠(ji)(ji)(ji)壓(ya)(ya)(ya)筒(tong)內(nei)襯(chen)壁之間接觸的(de)(de)(de)(de)(de)高(gao)溫(wen)高(gao)壓(ya)(ya)(ya)摩擦(ca)力,高(gao)的(de)(de)(de)(de)(de)徑向(xiang)壓(ya)(ya)(ya)力,隨后又(you)沖擊性(xing)的(de)(de)(de)(de)(de)下降。同時,冷(leng)(leng)空氣或水通過擠(ji)(ji)(ji)壓(ya)(ya)(ya)筒(tong)內(nei)襯(chen)的(de)(de)(de)(de)(de)孔腔(qiang),使其(qi)受到強(qiang)烈(lie)的(de)(de)(de)(de)(de)冷(leng)(leng)卻。在(zai)所有(you)這(zhe)(zhe)些(xie)工作(zuo)條件下,在(zai)擠(ji)(ji)(ji)壓(ya)(ya)(ya)筒(tong)的(de)(de)(de)(de)(de)材料中(zhong)引(yin)起(qi)熱(re)超(chao)高(gao)應力。這(zhe)(zhe)種(zhong)情況在(zai)擠(ji)(ji)(ji)壓(ya)(ya)(ya)筒(tong)前端(duan)(duan)三分之一的(de)(de)(de)(de)(de)內(nei)襯(chen)長度(du)上顯得尤其(qi)嚴重。由(you)于高(gao)溫(wen)變形金屬的(de)(de)(de)(de)(de)流動,在(zai)擠(ji)(ji)(ji)壓(ya)(ya)(ya)筒(tong)內(nei)襯(chen)前端(duan)(duan)的(de)(de)(de)(de)(de)套(tao)筒(tong)壁上引(yin)起(qi)強(qiang)烈(lie)的(de)(de)(de)(de)(de)熱(re)摩擦(ca),使其(qi)產(chan)生磨損或裂紋(wen),導(dao)致內(nei)襯(chen)損壞。
早期的(de)(de)擠(ji)壓(ya)筒(tong)采用的(de)(de)都(dou)(dou)是整體結(jie)構(gou),現在這種結(jie)構(gou)的(de)(de)擠(ji)壓(ya)筒(tong)甚至在小(xiao)噸位的(de)(de)擠(ji)壓(ya)機(ji)上都(dou)(dou)已被淘汰。目前(qian),現代化的(de)(de)大型(xing)擠(ji)壓(ya)機(ji)上所采用的(de)(de)擠(ji)壓(ya)筒(tong)一套筒(tong)系統都(dou)(dou)是由2個、3個或更多的(de)(de)套筒(tong)組(zu)成的(de)(de)多層(ceng)結(jie)構(gou)擠(ji)壓(ya)筒(tong),并(bing)且在各(ge)層(ceng)套筒(tong)之間(jian)都(dou)(dou)帶有一定的(de)(de)過(guo)盈量,以熱裝的(de)(de)方(fang)式裝配而(er)成。
采用過盈(ying)配合(he)的(de)多層結構擠(ji)(ji)壓筒(tong)(tong),使(shi)每層套筒(tong)(tong)的(de)結合(he)面上都具有一定的(de)預應(ying)力(li)。由于有預應(ying)力(li)的(de)存(cun)在(zai)(zai),使(shi)多層結構的(de)擠(ji)(ji)壓筒(tong)(tong)在(zai)(zai)承受擠(ji)(ji)壓產(chan)生(sheng)的(de)熱(re)超高(gao)(gao)應(ying)力(li)作用時(shi),套筒(tong)(tong)之間的(de)應(ying)力(li)分布趨于均勻(yun),從而使(shi)擠(ji)(ji)壓筒(tong)(tong)套筒(tong)(tong)的(de)材料得到(dao)充分的(de)利用;并且還可(ke)以提高(gao)(gao)熱(re)擠(ji)(ji)壓時(shi)擠(ji)(ji)壓筒(tong)(tong)承受的(de)單位壓力(li),從而提高(gao)(gao)擠(ji)(ji)壓筒(tong)(tong)套筒(tong)(tong)的(de)使(shi)用壽命。
擠(ji)壓筒內(nei)襯(chen)(chen)套(tao)的(de)結構形式,包括內(nei)襯(chen)(chen)套(tao)的(de)內(nei)徑和形狀,內(nei)襯(chen)(chen)套(tao)外徑與中(zhong)套(tao)內(nei)徑的(de)配合(he);除了過盈(ying)配合(he)之(zhi)外,還有多種形式的(de)配合(he),如圖7-4所示。擠(ji)壓筒內(nei)襯(chen)(chen)套(tao)經熱處理后,其硬度HRC達(da)(da)到40~45;在不重(zhong)車的(de)情況(kuang)下(xia),使用壽命達(da)(da)到1500~4000次。

除此之(zhi)外,擠(ji)壓(ya)(ya)(ya)筒使(shi)用時,為了建立(li)熱擠(ji)壓(ya)(ya)(ya)過程(cheng)本(ben)身所需的熱力(li)學條件,擠(ji)壓(ya)(ya)(ya)筒的預熱極為重要。擠(ji)壓(ya)(ya)(ya)筒的預熱可以提高其使(shi)用壽(shou)命。
擠(ji)(ji)壓(ya)筒(tong)(tong)(tong)預熱(re)(re)(re)時(shi),為(wei)了能快速地(di)加(jia)(jia)(jia)熱(re)(re)(re),減小(xiao)熱(re)(re)(re)量(liang)損失,在(zai)外(wai)加(jia)(jia)(jia)熱(re)(re)(re)的(de)(de)同(tong)時(shi),最好能采用特殊可換(huan)式(shi)加(jia)(jia)(jia)熱(re)(re)(re)器來預熱(re)(re)(re)擠(ji)(ji)壓(ya)筒(tong)(tong)(tong)的(de)(de)內(nei)部,為(wei)了保持壓(ya)人套(tao)(tao)筒(tong)(tong)(tong)時(shi)在(zai)套(tao)(tao)筒(tong)(tong)(tong)和擠(ji)(ji)壓(ya)筒(tong)(tong)(tong)內(nei)產生的(de)(de)預應(ying)力(li),內(nei)加(jia)(jia)(jia)熱(re)(re)(re)非常必(bi)要(yao)。若僅強烈的(de)(de)外(wai)加(jia)(jia)(jia)熱(re)(re)(re),將使預應(ying)力(li)降(jiang)低,從而,惡(e)化擠(ji)(ji)壓(ya)筒(tong)(tong)(tong)套(tao)(tao)筒(tong)(tong)(tong)的(de)(de)工(gong)作能力(li)。
一(yi)般對于(yu)較(jiao)大噸(dun)位(wei)的(de)(de)(de)(de)臥式(shi)擠(ji)(ji)(ji)壓(ya)(ya)(ya)機,擠(ji)(ji)(ji)壓(ya)(ya)(ya)筒(tong)的(de)(de)(de)(de)預熱(re)采用(yong)內置式(shi)的(de)(de)(de)(de)加熱(re)元(yuan)件進(jin)行預熱(re)(圖7-5和圖7-6),而對于(yu)較(jiao)小的(de)(de)(de)(de)擠(ji)(ji)(ji)壓(ya)(ya)(ya)筒(tong),較(jiao)多的(de)(de)(de)(de)是采用(yong)活動的(de)(de)(de)(de)感應(ying)加熱(re)器(也(ye)有用(yong)熱(re)坯料(liao))直接放(fang)入擠(ji)(ji)(ji)壓(ya)(ya)(ya)筒(tong)內腔內進(jin)行預熱(re)。一(yi)旦擠(ji)(ji)(ji)壓(ya)(ya)(ya)開始(shi)擠(ji)(ji)(ji)壓(ya)(ya)(ya)筒(tong)內襯便處于(yu)受熱(re)狀態,不(bu)需要加熱(re),而是需要經常進(jin)行冷卻。圖7-5所(suo)示為俄羅斯(si)制造(zao)的(de)(de)(de)(de)63MN(6300t)臥式(shi)液壓(ya)(ya)(ya)擠(ji)(ji)(ji)壓(ya)(ya)(ya)機的(de)(de)(de)(de)帶預熱(re)裝(zhuang)置的(de)(de)(de)(de)三層結構擠(ji)(ji)(ji)壓(ya)(ya)(ya)筒(tong),圖7-6所(suo)示為德國(guo)制造(zao)的(de)(de)(de)(de)帶擠(ji)(ji)(ji)壓(ya)(ya)(ya)筒(tong)測溫裝(zhuang)置的(de)(de)(de)(de)60MN(6000t)臥式(shi)液壓(ya)(ya)(ya)擠(ji)(ji)(ji)壓(ya)(ya)(ya)機三層結構擠(ji)(ji)(ji)壓(ya)(ya)(ya)筒(tong)。

一(yi)、擠(ji)壓筒-套筒系(xi)統的設計(ji)條件
擠壓筒(tong)-套筒(tong)系統的設計(ji)條件(jian)如(ru)下:
1. 擠壓時,擠壓筒中的(de)內壓力分布是(shi)不均(jun)(jun)勻(yun)的(de),其影(ying)響因(yin)素(su)很多。但設計計算(suan)時,認為內應力是(shi)均(jun)(jun)勻(yun)分布的(de)。
2. 擠壓時,擠壓筒壁上的單位壓力的大小是很難確定的。在足夠精確的情況下,可以認為其等于(0.5~0.8)p,即作用在擠壓筒壁上的徑向壓力pi,將低于擠壓桿上所施加的壓力p。
擠壓力在金屬中的傳遞是不均勻的,其不同于壓力在液體中的傳遞,因此實際上在計算徑向壓力時,采用pi=(0.5~0.8)p,其中,金屬變形的難易系數(0.5~0.8)與變形金屬在一定壓力下的流動能力有關,即擠壓難變形材料時,該系數取小值。
3. 在(zai)設計(ji)計(ji)算(suan)擠壓簡一套簡系統部件時,首先根據經驗數據確(que)定擠壓簡的(de)(de)主要尺寸、套筒的(de)(de)數量及(ji)其近(jin)似(si)尺寸,然后對所選定的(de)(de)系統進行強度驗算(suan)。
4. 工藝條件決定了擠(ji)(ji)壓機工作套筒(tong)所需的(de)內徑和擠(ji)(ji)壓力(li)。此擠(ji)(ji)壓力(li)為(wei)在工作套筒(tong)內孔截面上建(jian)立一(yi)定的(de)單位壓力(li)所必需的(de)。
5. 擠壓筒外徑采(cai)用(yong)以(yi)下關系式確定(ding):

6. 在擠壓筒-套筒系統計算時(shi),當套筒壁厚增(zeng)加(jia)至一(yi)定范圍而對(dui)最大應力數(shu)值的影響很(hen)小(xiao)時(shi),為使套筒材料的性能得(de)到充分利(li)用,并使沿斷面上(shang)應力較均勻地分布,在大壓力的情況下應采用組(zu)合套筒。
7. 對(dui)于(yu)多(duo)層(ceng)(ceng)(ceng)結(jie)構(gou)的(de)擠(ji)(ji)(ji)壓筒(tong)一(yi)套(tao)筒(tong)系統,可根據其許用應力與(yu)壁厚(hou)系數的(de)關系圖表(biao)來(lai)選擇(ze)合理(li)結(jie)構(gou)的(de)多(duo)層(ceng)(ceng)(ceng)擠(ji)(ji)(ji)壓筒(tong)。其保證條件是:套(tao)筒(tong)以一(yi)定的(de)公盈裝入多(duo)層(ceng)(ceng)(ceng)擠(ji)(ji)(ji)壓筒(tong)中,提高其承(cheng)受(shou)最大壓力的(de)能力,并在此壓力下,擠(ji)(ji)(ji)壓筒(tong)一(yi)套(tao)筒(tong)系統內的(de)應力不(bu)超過允許值。
8. 擠(ji)(ji)壓(ya)筒(tong)(tong)一(yi)套(tao)筒(tong)(tong)系統的(de)(de)強(qiang)度,由擠(ji)(ji)壓(ya)筒(tong)(tong)材(cai)料(liao)在(zai)(zai)工作溫度下的(de)(de)屈服(fu)極(ji)(ji)限(xian)(xian)(σt)和單位(wei)擠(ji)(ji)壓(ya)力(li)(li)所(suo)決(jue)定。在(zai)(zai)擠(ji)(ji)壓(ya)筒(tong)(tong)一(yi)套(tao)筒(tong)(tong)內(nei)(nei)表面上的(de)(de)最大切應(ying)力(li)(li)不應(ying)超過(guo)這個(ge)屈服(fu)極(ji)(ji)限(xian)(xian)。當此應(ying)力(li)(li)大于或等(deng)于材(cai)料(liao)熱狀態(tai)下的(de)(de)屈服(fu)極(ji)(ji)限(xian)(xian),則擠(ji)(ji)壓(ya)筒(tong)(tong)應(ying)做成2、3或4層。這時整(zheng)個(ge)系統的(de)(de)強(qiang)度就取決(jue)于所(suo)選用材(cai)料(liao)在(zai)(zai)熱狀態(tai)下的(de)(de)屈服(fu)強(qiang)度極(ji)(ji)限(xian)(xian)σt、σt'、σt”和擠(ji)(ji)壓(ya)筒(tong)(tong)各個(ge)套(tao)筒(tong)(tong)中產(chan)生(sheng)的(de)(de)應(ying)力(li)(li)。實踐證明,在(zai)(zai)這種(zhong)情況下套(tao)筒(tong)(tong)的(de)(de)內(nei)(nei)、外直(zhi)徑(jing)比很(hen)重要。對所(suo)有套(tao)筒(tong)(tong)來(lai)講,應(ying)是相等(deng)的(de)(de),即(ji)如果d/dx=U,那(nei)么U1=U2=U3.對易(yi)擠(ji)(ji)壓(ya)的(de)(de)金(jin)屬用較厚的(de)(de)套(tao)筒(tong)(tong),即(ji)U1>U2;而對難(nan)擠(ji)(ji)壓(ya)的(de)(de)金(jin)屬采用較薄的(de)(de)套(tao)筒(tong)(tong),即(ji)U1<U2.
在(zai)(zai)正確選擇(ze)切應(ying)力時,可正確選擇(ze)用以抵消(xiao)主應(ying)力的(de)熱裝(zhuang)應(ying)力。為了安全,各套簡(jian)均在(zai)(zai)一定的(de)公盈(ying)量下進行熱裝(zhuang),以使每個套筒的(de)負(fu)荷與材料熱狀態下的(de)屈服極限有(you)同樣(yang)的(de)比例。在(zai)(zai)計(ji)算(suan)時,應(ying)采用低于相應(ying)材料在(zai)(zai)熱狀態下之屈服極限。
為(wei)使套筒中(zhong)的(de)應力趨(qu)于平(ping)緩,采(cai)用如下的(de)直徑比:

9. 在(zai)強(qiang)(qiang)(qiang)度(du)(du)(du)驗算(suan)(suan)時,因(yin)為擠(ji)壓(ya)(ya)筒部件通常是采用韌性熱強(qiang)(qiang)(qiang)鋼(gang)制造的(de),因(yin)此,最近似(si)的(de)是按第三強(qiang)(qiang)(qiang)度(du)(du)(du)理論(lun)(最大切應力理論(lun))和第四(si)強(qiang)(qiang)(qiang)度(du)(du)(du)理論(lun)(能量理論(lun))驗算(suan)(suan)。對于整體(ti)式擠(ji)壓(ya)(ya)筒,其危險(xian)點(擠(ji)壓(ya)(ya)筒內表面)上的(de)應力不超過允用值的(de)情況(kuang)下其最大壓(ya)(ya)力,可按第三強(qiang)(qiang)(qiang)度(du)(du)(du)理論(lun)計算(suan)(suan),也可按第四(si)強(qiang)(qiang)(qiang)度(du)(du)(du)理論(lun)計算(suan)(suan)。
10. 多層擠壓筒的(de)極限應力(li)與(yu)層數(shu)無關,與(yu)整(zheng)體式擠壓筒相比(bi),其極限應力(li)提高(gao)2倍(bei)。
11. 擠壓(ya)筒(tong)的內部(bu)壓(ya)力(li),在(zai)套筒(tong)橫截面的徑向上(shang)產生壓(ya)縮(suo)應力(li),在(zai)切(qie)線方(fang)向上(shang)產生拉伸(shen)應力(li)。軸向應力(li)在(zai)所有斷面中是均(jun)勻分(fen)布的,計算時可忽(hu)略(lve)不計。
12. 擠(ji)壓(ya)(ya)(ya)(ya)(ya)筒(tong)(tong)-套(tao)筒(tong)(tong)系統(tong)的(de)(de)熱裝配是在一定的(de)(de)公(gong)盈量下(xia)裝入已加(jia)熱到350~400℃溫(wen)度的(de)(de)擠(ji)壓(ya)(ya)(ya)(ya)(ya)筒(tong)(tong)中。已磨損(sun)套(tao)筒(tong)(tong)的(de)(de)更換可(ke)以在專用(yong)的(de)(de)設備(bei)上進行,也可(ke)采用(yong)專門裝置在擠(ji)壓(ya)(ya)(ya)(ya)(ya)機上頂出套(tao)筒(tong)(tong)。套(tao)筒(tong)(tong)頂出時,其壓(ya)(ya)(ya)(ya)(ya)力不允許(xu)大于3~5MPa(表(biao)壓(ya)(ya)(ya)(ya)(ya))。因為套(tao)筒(tong)(tong)頂出后,急劇的(de)(de)卸壓(ya)(ya)(ya)(ya)(ya)可(ke)能引起(qi)擠(ji)壓(ya)(ya)(ya)(ya)(ya)機工(gong)作故障,甚至(zhi)在大壓(ya)(ya)(ya)(ya)(ya)力下(xia)會導致擠(ji)壓(ya)(ya)(ya)(ya)(ya)機損(sun)壞。
13. 在(zai)熱裝時,應保(bao)證套(tao)(tao)筒(tong)(tong)(tong)和(he)擠壓筒(tong)(tong)(tong)材料不(bu)會被回火而產生塑性變形,消除套(tao)(tao)筒(tong)(tong)(tong)內(nei)的(de)原(yuan)始(shi)受壓狀(zhuang)態,減小熱裝時的(de)公盈將會惡化擠壓筒(tong)(tong)(tong)殼體的(de)工作,增加套(tao)(tao)筒(tong)(tong)(tong)的(de)應力,從而更難選(xuan)擇(ze)套(tao)(tao)筒(tong)(tong)(tong)的(de)材料。因此,過(guo)盈選(xuan)擇(ze)不(bu)當可使擠壓筒(tong)(tong)(tong)使用(yong)壽命降低。
過盈量(liang)一般為筒徑的(de)(de)0.1%~0.2%.60MN(6000t)擠(ji)壓機在(zai)各套筒上的(de)(de)公(gong)盈量(liang)均為0.2%(與德國(guo) Schloemann公(gong)司的(de)(de)31.5MN(3150t)擠(ji)壓機相同)。
原上海異形鋼管廠(chang)的經驗認為,過盈量為筒徑(jing)的0.15%(約為0.7~1.2mm)較為合適。
14. 在(zai)確定了多層擠(ji)(ji)壓筒(tong)(tong)由套(tao)(tao)筒(tong)(tong)熱(re)裝(zhuang)和擠(ji)(ji)壓力(li)所產生(sheng)的(de)應(ying)力(li)之后,在(zai)選(xuan)擇套(tao)(tao)筒(tong)(tong)和擠(ji)(ji)壓筒(tong)(tong)的(de)材料時,還(huan)要考慮附加應(ying)力(li)的(de)存在(zai)。附加應(ying)力(li)由以(yi)下(xia)因素產生(sheng): a. 擠壓時(shi),套筒與熱鋼坯接觸(chu)導致擠壓筒一套筒系統的溫升;b. 壓力沿擠壓筒長度上傳(chuan)遞的不均勻(yun)性;c. 金屬與套筒壁的熱摩擦。
根據以上因素對擠壓筒一套筒系統中應(ying)力產(chan)生的(de)影(ying)響,應(ying)提(ti)出其修正(zheng)值。
二(er)、擠壓筒(tong)內襯的使用條件
擠(ji)(ji)壓筒(tong)(tong)內(nei)襯(chen)是多層擠(ji)(ji)壓筒(tong)(tong)一套筒(tong)(tong)系統中的易損件,其壽命一般為1500~4000次/只。擠(ji)(ji)壓筒(tong)(tong)內(nei)襯(chen)的使用條件如下:
1. 擠(ji)壓(ya)時,金(jin)屬在(zai)(zai)(zai)高溫高壓(ya)下以(yi)400mm/s的(de)(de)速度(du)滑(hua)動,即使在(zai)(zai)(zai)良(liang)好的(de)(de)潤滑(hua)條件下,內(nei)襯(chen)(chen)內(nei)表(biao)(biao)面在(zai)(zai)(zai)1.5mm深度(du)的(de)(de)范(fan)圍內(nei)被(bei)加熱(re)到650~700℃的(de)(de)高溫。尤其是在(zai)(zai)(zai)靠(kao)近擠(ji)壓(ya)模一端的(de)(de)200~300mm的(de)(de)長度(du)上,擠(ji)壓(ya)筒(tong)內(nei)襯(chen)(chen)的(de)(de)內(nei)表(biao)(biao)面遭受到最(zui)強烈(lie)的(de)(de)熱(re)摩擦,引起最(zui)嚴重的(de)(de)磨損(sun),會形成(cheng)縱向劃(hua)道(dao)、內(nei)壁溝槽和表(biao)(biao)面粗糙及龜裂,進而導致內(nei)襯(chen)(chen)的(de)(de)報廢(fei)。因此,一般(ban)在(zai)(zai)(zai)設計多層擠(ji)壓(ya)簡一套簡系統(tong)的(de)(de)結構時。應該考慮到擠(ji)壓(ya)筒(tong)的(de)(de)內(nei)襯(chen)(chen)套筒(tong)可以(yi)允許(xu)調(diao)頭使用。因為使用經驗表(biao)(biao)明,在(zai)(zai)(zai)進料(liao)端的(de)(de)擠(ji)壓(ya)筒(tong)內(nei)襯(chen)(chen)的(de)(de)內(nei)表(biao)(biao)面沒有發生磨損(sun)。
另外,當內襯壓(ya)入不良或者(zhe)由于中套和內襯磨損,公(gong)盈消失(shi),會形(xing)成內襯縱向(xiang)(xiang)裂紋。大部分縱向(xiang)(xiang)裂紋的發生(sheng)都(dou)在內襯壓(ya)出(chu)(chu)以(yi)后(hou),即公(gong)盈已經消失(shi)之時。這種情況限制(zhi)了內襯修(xiu)復(fu)的可能性。作為預(yu)防(fang)的辦法,可以(yi)在內襯壓(ya)出(chu)(chu)以(yi)后(hou),立即在500℃溫度下進行退火4~5h,以(yi)消除(chu)應力。
2. 國外的(de)使用經(jing)驗(yan)已經(jing)證明(ming),采用離心(xin)澆注的(de)空心(xin)坯來制造擠壓(ya)筒的(de)內襯,是最(zui)合理的(de)工藝(yi)。因為在其制造過程中消耗最(zui)少,成本最(zui)低。
采(cai)用離心澆注空心坯作擠壓筒內(nei)襯(chen)時,其機械加工的余量,對外徑而言約為10~15mm,對內(nei)徑而言應不(bu)少于20~25mm.內(nei)襯(chen)粗加工以(yi)后再經熱處理(淬火(huo)后高溫回火(huo))。
專門的(de)研究確定,鍛(duan)造的(de)擠壓筒內(nei)襯和離(li)心澆注(zhu)的(de)擠壓筒內(nei)襯,其(qi)使(shi)(shi)用壽(shou)命(ming)相同。在(zai)各(ge)種工作條(tiao)件下的(de)實(shi)際使(shi)(shi)用,證明均(jun)可(ke)以(yi)達(da)到(dao)1500~4000次/只(zhi)的(de)使(shi)(shi)用壽(shou)命(ming)指標。
三、臥式擠(ji)壓機的擠(ji)壓筒一套(tao)筒系統的計算
80MN(8000t)擠壓機擠壓筒的結構(帶預熱器)如圖7-7所示。

計算(suan)時,按作(zuo)用(yong)有(you)內外壓力(li)的(de)多(duo)層厚(hou)壁圓筒強度計算(suan)的(de)方法進行。
假設:(1)沿擠壓(ya)筒(tong)長度(du)(du)上(shang)單位(wei)壓(ya)應(ying)力(li)不(bu)變,且與擠壓(ya)墊上(shang)的(de)單位(wei)壓(ya)力(li)相等;(2)軸向(xiang)壓(ya)應(ying)力(li)不(bu)大,計(ji)算時可(ke)忽略不(bu)計(ji);(3)所(suo)有的(de)組成套筒(tong)經受均(jun)勻的(de)熱(re)制(zhi)度(du)(du)的(de)作用;(4)內(nei)孔(kong)在加熱(re)器的(de)作用下(xia)對(dui)套筒(tong)外內(nei)表面應(ying)力(li)和變形無影響。
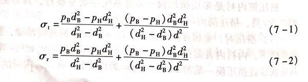
按Slame公式確定切向應力σt和徑向應力σr,而軸向力引起的應力σg不計。則:

在(zai)強(qiang)度(du)驗算(suan)時,因(yin)為擠(ji)壓筒(tong)部件通常是采用韌性熱強(qiang)鋼制造,且其受力條件為二向的(de)平面應(ying)力狀態(tai)。因(yin)此(ci),對于整體式(shi)擠(ji)壓筒(tong),在(zai)內(nei)表面危(wei)險點上的(de)應(ying)力不超過允許(xu)值的(de)情況(kuang)下(xia),其最大壓應(ying)力,可按第(di)三強(qiang)度(du)理(li)論和第(di)四強(qiang)度(du)理(li)論來計算(suan)。
按照第四(si)強度理論計算時(shi)的等(deng)效應力為:


可見,多層擠壓(ya)筒的(de)內(nei)應力絕(jue)對(dui)值始終小于許用應力絕(jue)對(dui)值。且(qie)擠壓(ya)筒的(de)裝配次序(圖7-7)為(wei):裝好(hao)擠壓(ya)筒殼(ke)體(將(jiang)套筒2嵌入套筒1中),然后,在(zai)由套筒1和2所組成的(de)擠壓(ya)筒殼(ke)體中嵌入內(nei)套筒3。
按(an)式(7-8)確定最大單位力,為了便于計算,列表(biao)7-2.


第3套筒(tong)(內套筒(tong))的內應(ying)(ying)力,即(ji)為在對每(mei)個套筒(tong)所選擇許(xu)用應(ying)(ying)力情(qing)況下,所求的整個擠(ji)壓筒(tong)的最大單(dan)位工作壓力(對應(ying)(ying)表7-2第17行)。
按式(shi)(7-10)確定(ding)擠壓(ya)筒的(de)內應力(li),并與列入(ru)表(biao)7-2第17行的(de)式(shi)(7-8)確定(ding)的(de)單位壓(ya)力(li)相(xiang)比較(jiao)得(de):



