我國國家標準《不銹鋼藥芯焊絲》GB/T 17853-1999,與美國AWS上技術內容等效。適用于不銹鋼(gang)藥(yao)芯(xin)焊絲電弧焊(FCAW)和作為不銹鋼鎢極惰性氣體保護焊的藥芯填充焊絲(GTAW)。藥芯焊絲型號是根據熔敷金屬化學成分、焊接位置、保護氣體及焊接電流類型來分的。
藥芯(xin)焊(han)(han)絲(si)(si)(si)型號表(biao)(biao)(biao)(biao)示(shi)(shi)方(fang)法:“E”表(biao)(biao)(biao)(biao)示(shi)(shi)焊(han)(han)絲(si)(si)(si),“R”表(biao)(biao)(biao)(biao)示(shi)(shi)填充焊(han)(han)絲(si)(si)(si);后(hou)(hou)面(mian)用(yong)三位(wei)或(huo)四位(wei)數(shu)字(zi)表(biao)(biao)(biao)(biao)示(shi)(shi)焊(han)(han)絲(si)(si)(si)熔敷(fu)金屬化(hua)學成(cheng)(cheng)分分類代號;若有(you)特殊(shu)要求的化(hua)學成(cheng)(cheng)分,將其(qi)元素符號附加在(zai)數(shu)字(zi)后(hou)(hou)面(mian),或(huo)者用(yong)“L”表(biao)(biao)(biao)(biao)示(shi)(shi)含(han)碳(tan)量較低(di)(di),“H”表(biao)(biao)(biao)(biao)示(shi)(shi)含(han)碳(tan)量較高,“K”表(biao)(biao)(biao)(biao)示(shi)(shi)焊(han)(han)絲(si)(si)(si)應用(yong)于低(di)(di)溫環境;最后(hou)(hou)用(yong)“T”表(biao)(biao)(biao)(biao)示(shi)(shi)焊(han)(han)絲(si)(si)(si)適用(yong)于全位(wei)置焊(han)(han)接(jie);“-”后(hou)(hou)面(mian)的數(shu)字(zi)表(biao)(biao)(biao)(biao)示(shi)(shi)保(bao)護氣(qi)體及(ji)焊(han)(han)接(jie)電流類型,見表(biao)(biao)(biao)(biao)2-24。
焊絲(si)型號(hao)舉例如下(xia):

藥芯(xin)焊絲尺(chi)寸應符合表 2-25的規定(ding)
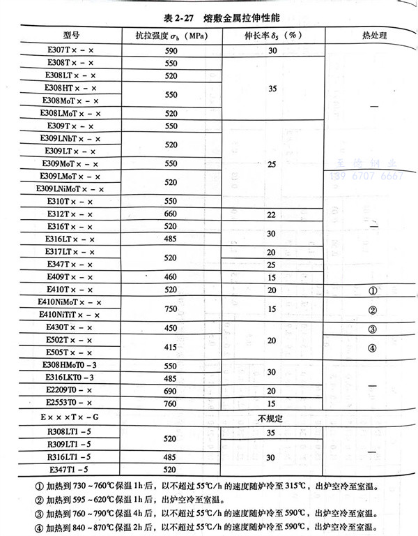
不同型號焊(han)絲施焊(han)后的熔(rong)敷金屬化學(xue)成(cheng)分(fen)應(ying)符合(he)表 2-26 和熔(rong)敷金屬拉伸性能應(ying)符合(he)表 2-27的規定。




不銹鋼藥芯焊絲(si)的適用范圍見表 2-28




