管(guan)件(jian)(jian)的(de)(de)尺(chi)寸分為以(yi)米(mi)制(zhi)單位(wei)(wei)表示的(de)(de)管(guan)件(jian)(jian)和(he)以(yi)英制(zhi)單位(wei)(wei)表示的(de)(de)管(guan)件(jian)(jian)兩個系列。
在米制單位表示的(de)管(guan)件尺(chi)寸中,管(guan)件端(duan)部外徑(即與(yu)管(guan)子(zi)外徑相配的(de)坡口處外徑)分為Ⅰ及Ⅱ兩(liang)個系列,Ⅰ系列為國際通用系列。
由(you)于米制單位和英制單位的管(guan)件不能做到(dao)精確(que)的等同(tong),因此(ci)使用(yong)者(zhe)必須(xu)分別采(cai)用(yong)兩(liang)種單位制。對于尺寸(cun)為米制單位的管(guan)件,其公稱尺寸(cun)用(yong)DN表示;對于尺寸(cun)為英制單位的管(guan)件,其公稱尺寸(cun)用(yong)NPS表示。兩(liang)者(zhe)之(zhi)間的關系(xi)見表9-2。

1. 米(mi)制尺(chi)寸
長半徑彎(wan)頭型式見圖(tu) 9-1,尺寸見表 9-3 。

90°長半徑彎頭型式見(jian)圖 9-2,尺寸見(jian)表 9-4 。


90°短(duan)半徑彎頭型式(shi)見圖(tu) 9-3,尺寸(cun)見表 9-5 。

等徑三通(tong)和四通(tong)型式見圖 9-4,尺寸見表 9-6 。


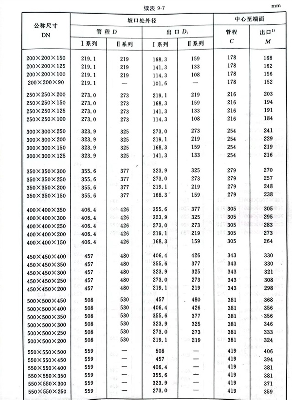
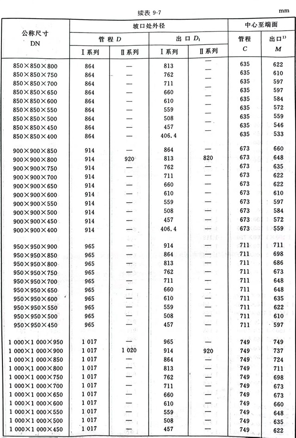
異(yi)徑三通和四通型式(shi)見圖 9-5,尺(chi)寸見表 9-7 。






管帽型(xing)式(shi)見(jian)圖(tu) 9-6,尺寸見(jian)表(biao) 9-8 。


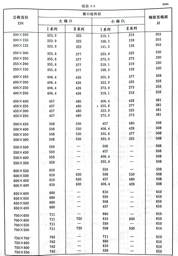
異徑(jing)接(jie)頭型(xing)式見(jian)圖(tu) 9-7,尺寸見(jian)表 9-9 。




2. 英制(zhi)尺寸
長半(ban)徑彎頭型式見(jian)圖 9-8,尺寸見(jian)表 9-10 。

長半(ban)徑彎(wan)頭型式見(jian)圖 9-9,尺(chi)寸見(jian)表 9-11 。

短(duan)半徑(jing)彎頭(tou)型式見圖 9-10,尺寸見表 9-12 。


等徑三通和四通型式見圖 9-11,尺寸見表 9-13 。

異徑三通和四通型式見(jian)圖 9-12,尺寸(cun)見(jian)表(biao) 9-14 。



管(guan)帽型(xing)式見圖 9-13,尺寸見表 9-15 。

異(yi)徑接頭型式(shi)見圖 9-14,尺(chi)寸見表 9-16 。



