鋼管的(de)(de)壁(bi)厚計算(suan)方法(fa),在(zai)ASME B31.3、GB 50316、SH/T 3509等標(biao)準規(gui)范中均有(you)詳細的(de)(de)介紹。鋼管壁(bi)厚的(de)(de)表示方法(fa)在(zai)不(bu)同的(de)(de)標(biao)準中各不(bu)相同,但(dan)主要(yao)有(you)三種。
1. 以(yi)管(guan)(guan)子表(biao)(biao)號表(biao)(biao)示公稱(cheng)壁(bi)厚 此種表(biao)(biao)示方法以(yi)ASME B36.10《焊接和無縫鋼管(guan)(guan)》為代(dai)表(biao)(biao)并為其(qi)他許多標準所采用,常以(yi)“Sch”標示。
管(guan)子表號是管(guan)子設計壓力(li)與設計溫度下材料(liao)許用應力(li)的(de)比值乘以1000,并經圓整后的(de)數值。
ASME B36.10和JIS標準(zhun)中管(guan)子表號(hao)有:Sch10、Sch20、Sch30、Sch40、Sch60、Sch80、Sch100、Sch120、Sch140、Sch160。
ASME B36.19中不銹鋼管管子表號有:Sch5s、Sch1Os、Sch40s、Sch80s。
中國石化集團公司標準SH/T 3405中,無縫鋼(gang)管采用了Sch20、Sch30、Sch40、Sch60、Sch80、Sch100、Sch120、Sch140、Sch160九個(ge)表(biao)號,不(bu)銹鋼(gang)管采用了Sch5s、Sch10s、Sch20s、Sch40s、Sch80s五(wu)個(ge)表(biao)號。
無(wu)縫鋼管和(he)焊接鋼管的(de)管子表號可分別查圖(tu)4-1和(he)圖(tu)4-2確定。


2. 以管子重量表示公稱壁厚
美國MSS和ASME也規定了以(yi)管(guan)(guan)子(zi)重量(liang)表示(shi)壁厚(hou)的(de)方法,并將管(guan)(guan)子(zi)壁厚(hou)分為三(san)種:標準重量(liang)管(guan)(guan),以(yi)STD表示(shi);加厚(hou)管(guan)(guan),以(yi)XS表示(shi);特厚(hou)管(guan)(guan),以(yi)XXS表示(shi)。
對于DN≤250mm的(de)管(guan)子(zi),Sch40相當于STD;DN<200mm的(de)管(guan)子(zi),Sch80相當于XS。
3. 以鋼管壁厚(hou)值表(biao)(biao)示公稱壁厚(hou) 中(zhong)國、ISO和日本部分鋼管標準采用了壁厚(hou)值表(biao)(biao)示鋼管公稱壁厚(hou)。
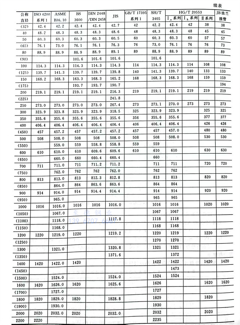
4.常用公(gong)稱(cheng)直徑(jing)及相應管子標準及其外徑(jing)尺寸(cun)(表4-12)



