本章所介(jie)紹的美國(guo)管(guan)件(jian)(jian)標準主(zhu)要(yao)為(wei)美國(guo)機械工程師協會(即ASME)近(jin)期發布(bu)的最新標準,這些(xie)管(guan)件(jian)(jian)標準主(zhu)要(yao)為(wei):灰鑄鐵(tie)螺紋(wen)管(guan)件(jian)(jian)(ASME B16.4-1998)、可鍛(duan)鑄鐵(tie)螺紋(wen)管(guan)件(jian)(jian)(ASME B16.3-1998)、承插焊(han)和(he)螺紋(wen)連接(jie)鍛(duan)鋼(gang)(gang)制管(guan)件(jian)(jian)(ASME B16.11-2005)、工廠制造(zao)的鍛(duan)鋼(gang)(gang)對焊(han)管(guan)件(jian)(jian)及鍛(duan)鋼(gang)(gang)制對焊(han)短半徑(jing)彎頭(tou)和(he)180°彎頭(tou)等(deng)。
工廠制造(zao)的(de)鍛鋼對(dui)焊管(guan)件(jian) ASME B16.9-2003 標準(zhun)
一、適用范圍
1. 總則
ASME B16.9-2003標(biao)準適用于規格為(wei)NPS1/2~NPS 48(DN 15~DN1200)的工廠(chang)制(zhi)造(zao)的鍛(duan)制(zhi)對焊管件的總體尺寸、公差、壓力等(deng)級(ji)、試(shi)驗(yan)及標(biao)志。
2. 特殊管件
根(gen)據制造廠和使用方雙方協議,可以制造特殊尺寸、規格、形狀及(ji)公差的(de)管件。
3. 管件制(zhi)品
采(cai)用環焊縫(feng)或交叉(cha)焊縫(feng)制(zhi)造(zao)的分支管(guan)(guan)件和其他(ta)管(guan)(guan)件均屬管(guan)(guan)件制(zhi)品,并不(bu)屬于(yu)該標準的范圍。
搭(da)接(jie)短節制品不受(shou)以上限(xian)制,只(zhi)要其材(cai)料符合20.4.4條(tiao)所(suo)規定的可適用的ASTM材(cai)料規范(fan)的所(suo)有要求。
4. 標準計(ji)量單位(wei)
無論以(yi)米(mi)制(zhi)為單位(wei)或以(yi)美國慣(guan)用單位(wei)(即(ji)英制(zhi)單位(wei))表(biao)示(shi)的(de)數值都分別(bie)視為標(biao)準(zhun)值。
在該標(biao)準的正文中英制單位(wei)在括(kuo)號內(nei)示出(chu)。由于(yu)兩種(zhong)單位(wei)制所(suo)規定的數(shu)值(zhi)不能做到精確地相等,因此,必須(xu)獨(du)立地分(fen)別使(shi)用每一(yi)種(zhong)單位(wei)制。兩種(zhong)單位(wei)制使(shi)用的混合(he)數(shu)值(zhi),將導致與該標(biao)準的不一(yi)致。
無論(lun)是米制(zhi)單位尺寸的(de)管(guan)件(jian)或是英制(zhi)單位尺寸的(de)管(guan)件(jian),其規(gui)格的(de)標(biao)志都為(wei)NPS。管(guan)件(jian)壓(ya)力等級與(yu)相(xiang)應規(gui)格和材料的(de)管(guan)子(zi)的(de)連接壁厚有關。
5. 使用條件
適合(he)于特(te)定(ding)流體使用(yong)條(tiao)件的管件型式和材料的選擇(ze)標準,不屬于本標準的范圍。
6. 焊接
安裝焊接要求不屬于(yu)本標準的范(fan)圍。
7. 質量體系
按ASME B16.9標(biao)準制(zhi)造的(de)(de)(de)產品(pin)(pin)應(ying)按質量體系(xi)(xi)程(cheng)序(xu)生(sheng)產,該(gai)(gai)程(cheng)序(xu)應(ying)遵(zun)循 ISO 9000系(xi)(xi)列的(de)(de)(de)某一適合的(de)(de)(de)標(biao)準的(de)(de)(de)原則制(zhi)定(ding)。制(zhi)造廠(chang)有責任確定(ding)是否需要由(you)一個獨立的(de)(de)(de)組織機構對(dui)產品(pin)(pin)制(zhi)造廠(chang)的(de)(de)(de)質量體系(xi)(xi)進行(xing)注冊/或認證。采購方在(zai)(zai)制(zhi)造廠(chang)的(de)(de)(de)場所應(ying)能得到(dao)演示程(cheng)序(xu)符合性的(de)(de)(de)詳細文件。應(ying)采購方的(de)(de)(de)請求,采購方可(ke)以得到(dao)產品(pin)(pin)制(zhi)造廠(chang)提(ti)供的(de)(de)(de)其所使用的(de)(de)(de)該(gai)(gai)質量體系(xi)(xi)程(cheng)序(xu)的(de)(de)(de)書面概括說明(ming)。所謂產品(pin)(pin)制(zhi)造廠(chang)是指按本(ben)標(biao)準標(biao)志或識別要求顯示在(zai)(zai)產品(pin)(pin)上的(de)(de)(de)完整廠(chang)名和商標(biao)。
8. 修約
為了確(que)定(ding)符合于(yu)本標準的目(mu)的,確(que)定(ding)有效(xiao)數(shu)字值(zhi)(zhi)(zhi)(最(zui)大極限(xian)(xian)值(zhi)(zhi)(zhi)或最(zui)小極限(xian)(xian)值(zhi)(zhi)(zhi))的修約,規定(ding)應按ASTME29予以“圓整”。十進制(zhi)的小數(shu)值(zhi)(zhi)(zhi)和公差并(bing)不包含特(te)殊(shu)的測量(liang)方法。
9. 壓力等級標志(zhi)
磅級(ji)(ji)(后面緊跟尺寸(cun)數字)是壓力-溫度等級(ji)(ji)的標(biao)(biao)志(zhi)。對(dui)于(yu)本標(biao)(biao)準(zhun)中所引(yin)用的ASME B16.5法蘭的標(biao)(biao)準(zhun),其標(biao)(biao)志(zhi)為磅級(ji)(ji)150、300、900、1500及2500。
二、 壓力等級
1. 等級的基準(zhun)
按(an)本(ben)標(biao)準所規(gui)(gui)(gui)定的(de)(de)(de)管件(jian)(jian)的(de)(de)(de)允許壓力(li)等級,可以根(gen)據ASME B31《壓力(li)管道規(gui)(gui)(gui)范》中所規(gui)(gui)(gui)定的(de)(de)(de)規(gui)(gui)(gui)程(cheng),按(an)等同材(cai)(cai)(cai)料(liao)(liao)(按(an)相(xiang)應材(cai)(cai)(cai)料(liao)(liao)規(gui)(gui)(gui)范的(de)(de)(de)化學成分和(he)機械性能比較所得出的(de)(de)(de))的(de)(de)(de)直無(wu)縫管來計算(suan)。為了計算(suan),應使用(yong)與管件(jian)(jian)相(xiang)當的(de)(de)(de)管子(zi)規(gui)(gui)(gui)格、壁(bi)厚(hou)及材(cai)(cai)(cai)料(liao)(liao)的(de)(de)(de)應用(yong)數據。管件(jian)(jian)上的(de)(de)(de)管子(zi)規(gui)(gui)(gui)格、壁(bi)厚(hou)(或壁(bi)厚(hou)系(xi)列號)和(he)材(cai)(cai)(cai)料(liao)(liao)標(biao)志與壓力(li)等級標(biao)志有關(guan)。
2. 管件(jian)的設計
管(guan)件(jian)的(de)(de)(de)設計(ji)應(ying)按美國全(quan)國范圍內公認的(de)(de)(de)壓力容器或(huo)管(guan)道規范中所包含(han)的(de)(de)(de)數學(xue)分(fen)(fen)析(xi)方法(fa)(fa)(例如(ru),對彎(wan)頭(tou)按ASME B16.49)來確定,或(huo)按制(zhi)造(zao)(zao)廠的(de)(de)(de)意(yi)見(jian),根據本標準(zhun)的(de)(de)(de)第9章采用(yong)驗(yan)證試驗(yan)方法(fa)(fa)進(jin)行。為(wei)了滿足設計(ji)或(huo)制(zhi)造(zao)(zao)要(yao)(yao)求,可(ke)以預料(liao),成型管(guan)件(jian)某些部(bu)分(fen)(fen)的(de)(de)(de)壁厚(hou)可(ke)能(neng)需要(yao)(yao)比打算使用(yong)該管(guan)件(jian)的(de)(de)(de)管(guan)子壁厚(hou)要(yao)(yao)厚(hou)。如(ru)果(guo)使用(yong),數學(xue)分(fen)(fen)析(xi)可(ke)以考慮(lv)這些較厚(hou)部(bu)分(fen)(fen)。在制(zhi)造(zao)(zao)的(de)(de)(de)現場應(ying)能(neng)得到(dao)數學(xue)分(fen)(fen)析(xi)和(he)/或(huo)合格的(de)(de)(de)驗(yan)證試驗(yan)結(jie)果(guo)的(de)(de)(de)記錄以供采購方檢查。
三(san)、規格
公(gong)(gong)稱(cheng)管件規格(ge)的代號是NPS后(hou)跟無因次的數字。NPS與國(guo)際標準(zhun)中所(suo)使用的標準(zhun)公(gong)(gong)稱(cheng)通徑(jing)DN有關,它們之(zhi)間的關系見表20-40。

四、材(cai)料
本標準(zhun)所(suo)包括的(de)鍛制管(guan)件應遵(zun)循 ASTM A234、A403、A420、A815、B361、B363和B366或ASME 鍋爐(lu)和壓力容器(qi)規(gui)范第(di)II卷中所(suo)列出的(de)相應標準(zhun)。術(shu)語“鍛制”是指(zhi)管(guan)件是由管(guan)子、管(guan)材、板材或鍛件制造的(de)。由鍛坯制造的(de)管(guan)件只(zhi)能根(gen)據制造廠和采購(gou)方的(de)協議供貨。這種管(guan)件不需要(yao)符(fu)合20.4.7條表(biao)面(mian)輪廓的(de)要(yao)求。
五、尺寸
1. 標準尺寸
本標準(zhun)為(wei)管件的(de)焊接端(duan)提供了固(gu)定位(wei)(wei)置,不(bu)論是相對于管件的(de)中心(xin)線還是總尺寸,其位(wei)(wei)置都不(bu)變。
管件尺寸分米制(zhi)和英制(zhi)兩(liang)個系(xi)列。
a. 米制尺(chi)寸(cun)的(de)長半徑彎頭型式見圖(tu)20-33,尺(chi)寸(cun)見表20-41;英制尺(chi)寸(cun)的(de)長半徑彎頭型式見圖(tu)20-33,尺(chi)寸(cun)見表20-42。
b. 米(mi)制(zhi)尺(chi)寸的(de)(de)長半徑異(yi)徑彎(wan)頭(tou)型式見圖20-34,尺(chi)寸見表(biao)20-43;英(ying)制(zhi)尺(chi)寸的(de)(de)長半徑異(yi)徑彎(wan)頭(tou)型式見圖20-34,尺(chi)寸見表(biao)20-44。




c. 米制尺(chi)寸(cun)(cun)的長半徑180°彎頭(tou)型(xing)式見圖20-35,尺(chi)寸(cun)(cun)見表(biao)20-45;英制尺(chi)寸(cun)(cun)的長半徑180°彎頭(tou)型(xing)式見圖20-35,尺(chi)寸(cun)(cun)見表(biao)20-46。

d. 米(mi)制尺寸(cun)的短半(ban)徑彎頭(tou)(tou)型式(shi)(shi)見(jian)(jian)(jian)圖20-36,尺寸(cun)見(jian)(jian)(jian)表(biao)20-47;英制尺寸(cun)的短半(ban)徑彎頭(tou)(tou)型式(shi)(shi)見(jian)(jian)(jian)圖20-36,尺寸(cun)見(jian)(jian)(jian)表(biao)20-48。

e. 米制(zhi)尺寸(cun)的(de)(de)短半(ban)徑(jing)(jing)180°彎頭型(xing)式見圖(tu)20-37,尺寸(cun)見表(biao)20-49;英制(zhi)尺寸(cun)的(de)(de)短半(ban)徑(jing)(jing)180°彎頭型(xing)式見圖(tu)20-37,尺寸(cun)見表(biao)20-50。

f. 米制(zhi)尺(chi)寸(cun)等徑三(san)通(tong)和(he)四(si)通(tong)型(xing)式見圖20-38,尺(chi)寸(cun)見表20-51;英制(zhi)尺(chi)寸(cun)等徑三(san)通(tong)和(he)四(si)通(tong)型(xing)式見圖20-38,尺(chi)寸(cun)見表20-52。
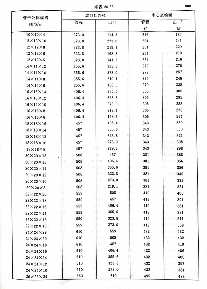
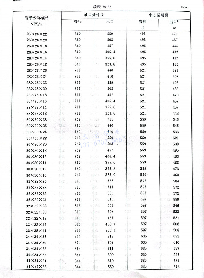
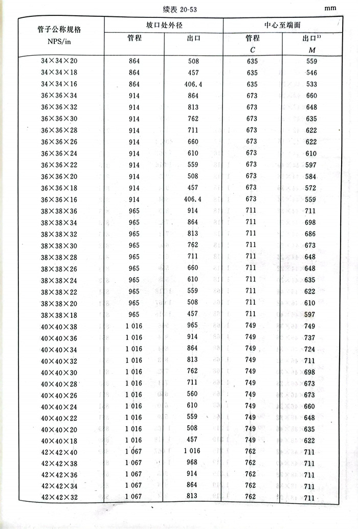
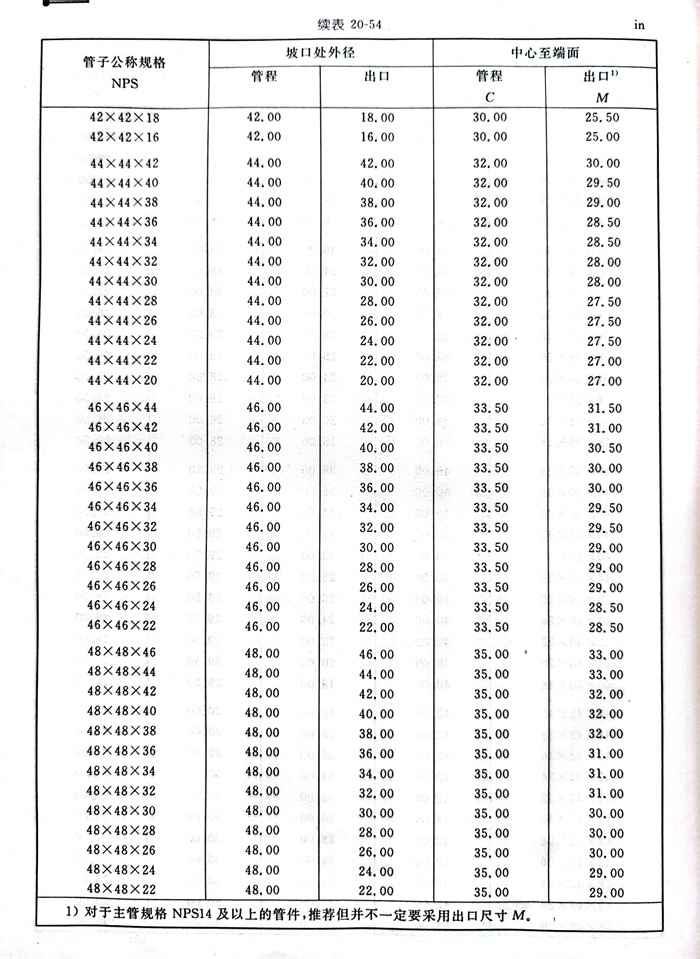
g. 米制(zhi)尺(chi)(chi)(chi)寸(cun)(cun)異(yi)(yi)徑(jing)(jing)出(chu)(chu)口(kou)三(san)通(tong)和異(yi)(yi)徑(jing)(jing)出(chu)(chu)口(kou)四(si)通(tong)型(xing)(xing)式見圖20-39,尺(chi)(chi)(chi)寸(cun)(cun)見表20-53;英制(zhi)尺(chi)(chi)(chi)寸(cun)(cun)異(yi)(yi)徑(jing)(jing)出(chu)(chu)口(kou)三(san)通(tong)和異(yi)(yi)徑(jing)(jing)出(chu)(chu)口(kou)四(si)通(tong)型(xing)(xing)式見圖20-39,尺(chi)(chi)(chi)寸(cun)(cun)見表20-54。













h. 米制(zhi)搭接(jie)短節型(xing)式見圖(tu)20-40,尺(chi)寸見表(biao)20-55;英制(zhi)搭接(jie)短節型(xing)式見圖(tu)20-40,尺(chi)寸見表(biao)20-56。

①. 當(dang)短(duan)形短(duan)節用(yong)300磅級(ji)和(he)600磅級(ji)的較大(da)法蘭(lan)(lan)及大(da)于等(deng)于900磅級(ji)的大(da)部分(fen)規格(ge)法蘭(lan)(lan)時(shi);當(dang)長(chang)形短(duan)節用(yong)1500磅級(ji)和(he)2500磅級(ji)的較大(da)法蘭(lan)(lan)時(shi),為了避免法蘭(lan)(lan)可(ke)能覆蓋焊(han)縫,可(ke)能需(xu)要增(zeng)加(jia)搭接(jie)長(chang)度。長(chang)度的增(zeng)加(jia)量(liang)由制造(zao)廠(chang)與采購方(fang)雙(shuang)方(fang)協商。
②. 當(dang)采用榫槽面(mian),凹凸面(mian)特(te)殊端面(mian)時,必須(xu)增(zeng)加搭接邊的厚度,增(zeng)加厚度應在基(ji)本長度F之外(不(bu)包括在基(ji)本長度內)。
③. 這些尺(chi)寸應與(yu)ASME B16.5《管道(dao)法蘭和法蘭管配件》中搭接法蘭的規定半徑(jing)相符。
④. 該尺寸與ASMEB16.5中表示的標準機加工面(mian)一致(zhi)。折邊的背面(mian)應進行(xing)機加工,使與其安(an)裝(zhuang)表面(mian)一致(zhi)。當采(cai)用環連接密封面(mian)時(shi),使用ASME B16.5中給出的尺寸K。

①. 當短(duan)形短(duan)節用(yong)300磅(bang)級(ji)(ji)和(he)600磅(bang)級(ji)(ji)的(de)(de)(de)較大(da)法(fa)蘭(lan)及大(da)于(yu)等于(yu)900磅(bang)級(ji)(ji)的(de)(de)(de)大(da)部分(fen)規(gui)格法(fa)蘭(lan)時;當長(chang)形短(duan)節用(yong)1500磅(bang)級(ji)(ji)和(he)2500磅(bang)級(ji)(ji)的(de)(de)(de)較大(da)法(fa)蘭(lan)時,為了避免法(fa)蘭(lan)可(ke)(ke)能覆(fu)蓋(gai)焊縫,可(ke)(ke)能需(xu)要增(zeng)加搭接管(guan)的(de)(de)(de)長(chang)度。長(chang)度的(de)(de)(de)增(zeng)加量由制造廠與(yu)采購方雙方協商(shang)。
②. 當采(cai)用如榫槽面(mian),凹凸面(mian)特殊(shu)端面(mian)時,必(bi)須(xu)增加(jia)搭接(jie)邊的厚度(du)(du),增加(jia)厚度(du)(du)應在基本(ben)長(chang)(chang)度(du)(du)F之外(不包括在基本(ben)長(chang)(chang)度(du)(du)內)。
③. 這些尺(chi)寸應與ASME B16.5《管(guan)道法蘭和法蘭管(guan)配件》中塔接法蘭的規定半徑相符。
④. 該尺(chi)寸與ASME B16.5中表示的標準機加工(gong)(gong)面一(yi)(yi)致。折邊的背面應進(jin)行機加工(gong)(gong),使與其安裝表面一(yi)(yi)致。當采用(yong)環(huan)連接密(mi)封(feng)面時,使用(yong)ASMEB16.5中給(gei)出的尺(chi)寸K。
i. 米制管蓋型式(shi)見(jian)(jian)圖(tu)20-41,尺(chi)寸見(jian)(jian)表20-57;英制管蓋型式(shi)見(jian)(jian)圖(tu)20-41,尺(chi)寸見(jian)(jian)表20-58。
j. 米制(zhi)異徑(jing)接頭型式(shi)見(jian)圖(tu)20-42,尺(chi)寸見(jian)表20-59;英制(zhi)異徑(jing)接頭見(jian)圖(tu)20-42,尺(chi)寸見(jian)表20-60。






2. 特殊尺(chi)寸
a. 疲勞載荷
對于涉及疲勞載(zai)荷(he)的應用情況,采購方應提供所要求的最小(xiao)尺寸(cun)。
b. 鉆孔直(zhi)徑(jing)
不(bu)在端部的鉆孔(kong)直徑不(bu)作(zuo)規定。如果(guo)需要(yao)特殊(shu)的流程要(yao)求,采(cai)購方應規定鉆孔(kong)尺寸。
C. 短節(jie)
使用條件和接頭(tou)結構通常支(zhi)配短(duan)節長度要求。因此,在訂購時,采購方(fang)必須規定(ding)是(shi)(shi)長形(xing)(xing)還是(shi)(shi)短(duan)形(xing)(xing)管件。
六、公(gong)差
管(guan)件公差(cha)有米制尺寸公差(cha)及(ji)英制尺寸公差(cha)兩(liang)種。米制管(guan)件公差(cha)見圖20-43及(ji)表20-61;英制管(guan)件公差(cha)見圖20-43及(ji)表20-62。


①. 端部(bu)內(nei)徑和公稱壁(bi)厚由采(cai)購方規定。
②. 除非采購方規定各種壁厚公差否則就采用公稱壁厚的87.5%,見圖20-45的腳注1)(a)。
③. 不圓度為正偏差和負偏差絕對值之和。
④. 當需要增加壁厚以滿足20.4.2.2條的設計要求時,該公差可能不適用于成型管件的固定區域。
⑤. 除非采購方另有規定,否則這些公差適用于公稱內徑等于公稱外徑減去兩倍公稱壁厚的場合。
⑥. 筒部外徑的極限尺寸見表20-55。

①. 端部內徑和公稱壁厚由采購方規定。
②. 除非采購方規定各種壁厚公差否則就采用公稱壁厚的87.5%。見圖20-45的腳注1)(a)。
③. 不圓度為正偏差和負偏差絕對值之和。
④. 當需要增加壁厚以滿足20.4.2.2條的設計要求時,該公差可能不適用于成型管件的固定區域。
⑤. 除非采購方另有規定,這些公差適用于公稱內徑(等于公稱外徑減去兩倍公稱壁厚)的場合。
⑥. 筒部外徑的極限尺寸見表20-56。
七、表(biao)面輪廓(kuo)線
當(dang)管(guan)件上(shang)(shang)相鄰的(de)開孔不在(zai)平行平面(mian)上(shang)(shang),應用一(yi)段(duan)圓(yuan)弧(hu)或(huo)半(ban)徑將外表(biao)(biao)面(mian)連接上(shang)(shang)。圓(yuan)弧(hu)或(huo)半(ban)徑可以終止在(zai)切點(dian)處。除作為(wei)鍛坯(pi)提供的(de)管(guan)件外(見(jian)20.4.4條),管(guan)件外表(biao)(biao)面(mian)的(de)設計(ji)輪廓應無尖(jian)銳的(de)橫斷圓(yuan)弧(hu)及/或(huo)折疊圓(yuan)弧(hu)。
八、端部制備(bei)
除(chu)非(fei)另有規(gui)定(ding),管件焊(han)接端部的制(zhi)備(包括(kuo)焊(han)接端部坡(po)口(kou)形(xing)狀及尺寸以(yi)及焊(han)接端部過渡部分(fen)的最大包絡線)按(an)以(yi)下規(gui)定(ding):
a. 焊(han)接端部坡口(kou)形(xing)狀及尺(chi)寸見圖20-44,焊(han)接坡口(kou)和鈍邊見表20-63。
b. 焊(han)接端(duan)部(bu)過渡部(bu)分的最大包絡(luo)線見圖20-45。
除圖20-45(焊接端部過(guo)渡段的最(zui)大包(bao)(bao)絡線(xian))腳注5)所包(bao)(bao)括情況或除非特殊(shu)訂(ding)貨外,在圖20-45所示(shi)的最(zui)大包(bao)(bao)絡線(xian)的范圍(wei)內,由(you)焊接坡口到(dao)管件的外表(biao)面(mian)、以及(ji)由(you)鈍邊到(dao)管件的內表(biao)面(mian)的過(guo)渡,由(you)制(zhi)造廠自定。


九、設計驗(yan)(yan)證試驗(yan)(yan)
1. 要求的試驗
當制(zhi)造廠選擇驗證試驗以考核管件設計(ji)質量時(shi),應按(an)本(ben)標準的(de)規(gui)定進(jin)行驗證試驗。除(chu)非制(zhi)造廠和采購(gou)方(fang)之間另有協(xie)議,驗證試驗應是依據管件及其他連接(jie)管道的(de)計(ji)算爆破壓力(li)進(jin)行的(de)一種試驗。
搭接(jie)短(duan)(duan)節免做驗證試驗。因(yin)為搭接(jie)短(duan)(duan)節在法蘭(lan)組件中使用(yong),它有(you)著不同的壓力等級(ji),并取決于(yu)操作要求。
2. 試驗(yan)組裝件
a.樣(yang)(yang)品件 作(zuo)為產品樣(yang)(yang)品并(bing)已經(jing)(jing)被選(xuan)來作(zuo)試(shi)驗的管(guan)(guan)件,應驗明材料、等(deng)級和批量,包括熱處理。管(guan)(guan)件應經(jing)(jing)過尺(chi)寸(cun)檢(jian)驗,并(bing)符合本標準的要求。
b. 其他零件(jian)應將計(ji)算爆破壓力至少(shao)與按(an)(an)20.4.9.3條規定計(ji)算得出的驗(yan)證試驗(yan)壓力同樣大小(xiao)的直(zhi)無縫管(guan)(guan)或焊接管(guan)(guan)的管(guan)(guan)段焊接到待試驗(yan)的管(guan)(guan)件(jian)各(ge)端。任何內圓(yuan)不(bu)圓(yuan)度大于(yu)1.5 mm(0.06 in.)的管(guan)(guan)子都(dou)應采(cai)用斜度不(bu)大于(yu)1:3的鏜削加工,減少(shao)其不(bu)圓(yuan)度。這些管(guan)(guan)段的截止長(chang)度按(an)(an)以下(xia)規定:
對于NPS 14(DN 350)及以下的(de)管件,管子(zi)的(de)最小長度應與管子(zi)的(de)外徑相等(deng)。
對于大于NPS 14(DN 350)的(de)管(guan)件(jian),管(guan)子的(de)最小長度應(ying)為管(guan)子外(wai)徑(jing)的(de)一半。
3. 試(shi)驗方法
水壓試(shi)驗用(yong)的試(shi)驗流體應為水或其他(ta)液體。應對試(shi)驗組裝件施加水壓。當(dang)試(shi)驗組裝件能經受住按下式(shi)計(ji)算得到的驗證(zheng)試(shi)驗壓力(li)的105%而不發生(sheng)破裂時,即滿(man)足驗證(zheng)試(shi)驗要求。
P=2 St/D
式(shi)中(zhong):D-管(guan)子(zi)的公(gong)稱外徑(jing);
P-管子的(de)最小計算驗證試驗壓(ya)力;
S-試(shi)驗(yan)管件(jian)的實測(ce)(ce)抗(kang)拉強度(du)(du),該抗(kang)拉強度(du)(du)從(cong)試(shi)驗(yan)管件(jian)的有(you)代表性的樣(yang)品(pin)上測(ce)(ce)出。試(shi)驗(yan)管件(jian)的實測(ce)(ce)抗(kang)拉強度(du)(du)應(ying)滿(man)足20.4.4條中所規定的適用材(cai)料的抗(kang)拉強度(du)(du)要求。
t一管(guan)件(jian)標志識別的公稱管(guan)壁厚度。
注(zhu):可使用(yong)任何一種和(he)尺寸上(shang)相符合的(de)單位制。
4. 試(shi)驗結(jie)果的可(ke)用性
不需要對規格、壁厚及材料的所(suo)有組合管(guan)件(jian)(jian)進行逐一(yi)試(shi)驗(yan)。在一(yi)個(ge)代表性管(guan)件(jian)(jian)上(shang)得出的合格驗(yan)證試(shi)驗(yan)可代表以下所(suo)述(shu)范圍內的其他相同形式的管(guan)件(jian)(jian)。
a. 規格范圍
一個(ge)試(shi)驗(yan)(yan)管(guan)件(jian)可(ke)用來評定或考核規格(ge)為試(shi)驗(yan)(yan)管(guan)件(jian)規格(ge)的0.5倍(bei)到2倍(bei)的類似比例的管(guan)件(jian)。非異(yi)徑管(guan)件(jian)試(shi)驗(yan)(yan)可(ke)用以對相(xiang)同模型的等(deng)徑管(guan)件(jian)進(jin)行(xing)評定或考核。
b. 厚度范圍
一個(ge)試驗管件(jian)可以用來對t/D比值為試驗管件(jian)的0.5倍到3倍的類(lei)似比例(li)的管件(jian)進行(xing)評定(ding)或(huo)考(kao)核(he)。
c. 材料等級
由各(ge)種(zhong)級別(bie)鋼(gang)材制造的(de)(de)幾(ji)何尺(chi)寸相同的(de)(de)管(guan)件,其承壓(ya)能(neng)力直接與各(ge)種(zhong)級別(bie)材料的(de)(de)抗拉強度成(cheng)正比,見20.4.2.1條。因此,只(zhi)需試驗(yan)單一材料級別(bie)的(de)(de)樣(yang)品管(guan)件以驗(yan)證該管(guan)件的(de)(de)設計(ji)。
十、產品試驗
本標準不要(yao)求(qiu)對鍛鋼管(guan)件進行水(shui)壓(ya)試驗(yan)。所有管(guan)件都(dou)應(ying)能承受與該管(guan)件的NPS、壁厚及標志在管(guan)件上的材料級別相當的無縫鋼管(guan)適用規(gui)范所要(yao)求(qiu)的水(shui)壓(ya)試驗(yan)壓(ya)力,而無泄(xie)漏(lou)或(huo)有損使(shi)用性能的缺陷。
十一、標志
1. 標準標志
每個管件(jian)都應(ying)作(zuo)永久(jiu)性標(biao)志(zhi)以表(biao)明(ming)以下內容:
a. 制(zhi)造廠的名(ming)稱(cheng)或商標;
b. 材料標(biao)識,ASTM或ASME級(ji)別(bie)符號;
c. 壁厚序(xu)列號或以mm為單位的公稱(cheng)壁厚;
d. 規(gui)格一一應使用(yong)與端部連(lian)接(jie)有關的管(guan)子(zi)公稱規(gui)格(NPS)識別號(hao);
e. 符合性一(yi)一(yi)對于標準管件(jian)和特殊管件(jian)標志見20.4.11.4條。
制造(zao)廠可采用包括DN規格符號等其他標(biao)志(zhi)來補充強制性標(biao)志(zhi),但(dan)是應避免與要求的標(biao)志(zhi)混淆(xiao)。
注:壁厚系列號是(shi)在訂購(gou)管(guan)(guan)子和管(guan)(guan)件時(shi)使用的(de)一種方便的(de)代(dai)號,是(shi)一個(ge)無尺寸單位的(de)數字(zi)。它(ta)通常與一組(zu)標準管(guan)(guan)壁厚有聯系。對于管(guan)(guan)子的(de)壁厚系列號的(de)整個(ge)細節見 ASME B36.10M及ASME B36.19M。
2. 例外(wai)情況
當(dang)管(guan)件(jian)的規格不允許進行完整(zheng)標志時,可(ke)逆上(shang)述內容順序省略識別標識。
3. 鋼印深度(du)
在使用鋼(gang)印(yin)處,應注意鋼(gang)印(yin)不要過深或太尖而(er)產生(sheng)裂紋或使管件的(de)壁厚(hou)減少到小于允許的(de)最小壁厚(hou)。
4. 符合性
a. 標準管件(jian)
按符合(he)本標準制(zhi)造(zao)的管件,包括所(suo)有尺寸在內,在材料級別(bie)號標志中加(jia)“WP”前綴進行識別(bie)。
b. 特殊管件
按(an)(an)符合本標準制(zhi)造(zao)(zao)的管件,除了尺寸要(yao)求是按(an)(an)采購方和制(zhi)造(zao)(zao)廠之(zhi)間的協(xie)議外(wai),用補充(chong)后綴(zhui)至(zhi)如下材料級(ji)別號標志中來進(jin)行識別:
對于符合 ASTM A234、A403、A420及A815的(de)管件,采用“S9”標志;
對于符合(he)ASTM B361、B363及B366的(de)管件(jian),采用“SPLD”標志。

