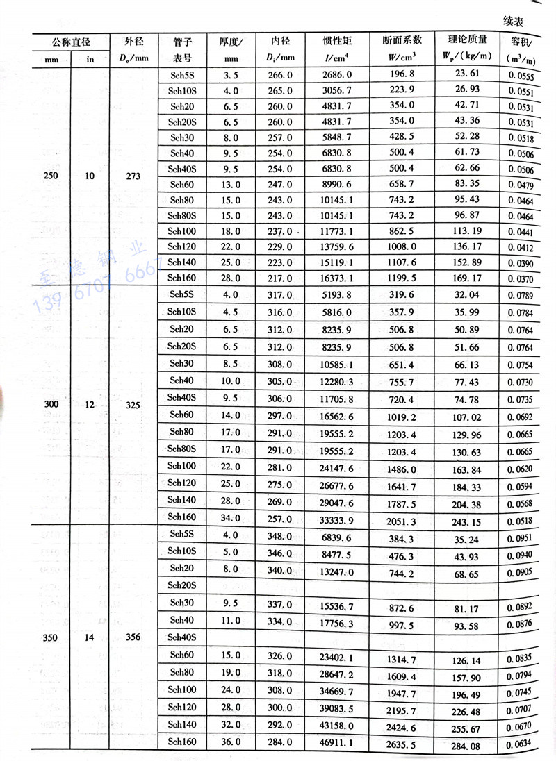
中國石化行業標準碳素鋼、低合金鋼、合金鋼、奧氏體不銹鋼無縫鋼管尺寸及特性數據見表4.1.14。
表4.1.14 中國石化行(xing)業標準碳素(su)鋼(gang)、低(di)合金鋼(gang)、合金鋼(gang)、奧氏體不銹鋼(gang)無縫(feng)鋼(gang)管尺寸及特性數(shu)據(ju)








發布(bu)日期(qi):2024-05-06 14:42:09 人氣:366
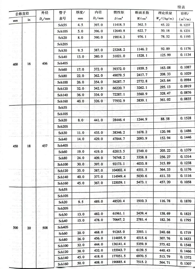
中國石化行業標準碳素鋼、低合金鋼、合金鋼、奧氏體不銹鋼無縫鋼管尺寸及特性數據見表4.1.14。
表4.1.14 中國石化行(xing)業標準碳素(su)鋼(gang)、低(di)合金鋼(gang)、合金鋼(gang)、奧氏體不銹鋼(gang)無縫(feng)鋼(gang)管尺寸及特性數(shu)據(ju)







