漏(lou)磁場(chang)有(you)兩種拾(shi)取方法(fa),既可以測(ce)量漏(lou)磁感(gan)應強度(du)的絕(jue)對(dui)值,也可以測(ce)量漏(lou)磁感(gan)應強度(du)的梯度(du)值。
磁(ci)(ci)場傳感(gan)(gan)(gan)器的(de)作用(yong)是(shi)將磁(ci)(ci)場轉(zhuan)換(huan)為電(dian)信(xin)號(hao)。按(an)原理可分為體效應元(yuan)件(jian)、面效應元(yuan)件(jian)、P-N節(jie)注入和(he)(he)表面復合效應元(yuan)件(jian)、量(liang)子效應元(yuan)件(jian)、磁(ci)(ci)致伸縮(suo)效應元(yuan)件(jian)和(he)(he)光纖磁(ci)(ci)傳感(gan)(gan)(gan)器等。磁(ci)(ci)場傳感(gan)(gan)(gan)器都是(shi)建立在各種(zhong)效應和(he)(he)物理現象的(de)基礎之上的(de),表3-1給(gei)出了不同種(zhong)類(lei)磁(ci)(ci)場傳感(gan)(gan)(gan)器的(de)測量(liang)范(fan)圍,它們的(de)敏感(gan)(gan)(gan)范(fan)圍差異(yi)較大。在具(ju)體應用(yong)過(guo)程中(zhong),需要(yao)根據(ju)測量(liang)對象的(de)特點來選擇適合的(de)傳感(gan)(gan)(gan)器。
在不(bu)銹鋼(gang)管漏磁檢測中,常使用的有下列幾種磁敏傳感器。

1. 各向異性磁阻(zu)傳感器(qi)
各(ge)向(xiang)(xiang)(xiang)(xiang)異(yi)性(xing)(xing)磁(ci)(ci)(ci)(ci)阻(zu)(zu)(zu)傳感(gan)器(qi) AMR(Anisotropic Magneto-Resistive sensors)由沉積(ji)在硅片上的(de)坡莫(mo)合金(jin)(Ni80Fe20)薄(bo)膜形(xing)成(cheng)(cheng)電(dian)(dian)(dian)阻(zu)(zu)(zu),沉積(ji)時(shi)外加磁(ci)(ci)(ci)(ci)場,形(xing)成(cheng)(cheng)易磁(ci)(ci)(ci)(ci)化(hua)軸方(fang)向(xiang)(xiang)(xiang)(xiang)。易磁(ci)(ci)(ci)(ci)化(hua)軸方(fang)向(xiang)(xiang)(xiang)(xiang)是指各(ge)向(xiang)(xiang)(xiang)(xiang)異(yi)性(xing)(xing)的(de)磁(ci)(ci)(ci)(ci)體能(neng)獲得(de)最佳(jia)磁(ci)(ci)(ci)(ci)性(xing)(xing)能(neng)的(de)方(fang)向(xiang)(xiang)(xiang)(xiang),也就是無外界磁(ci)(ci)(ci)(ci)干擾(rao)時(shi)磁(ci)(ci)(ci)(ci)疇整(zheng)齊(qi)排列的(de)方(fang)向(xiang)(xiang)(xiang)(xiang)。鐵磁(ci)(ci)(ci)(ci)材料的(de)電(dian)(dian)(dian)阻(zu)(zu)(zu)與(yu)電(dian)(dian)(dian)流(liu)和磁(ci)(ci)(ci)(ci)化(hua)方(fang)向(xiang)(xiang)(xiang)(xiang)的(de)夾角(jiao)有關(guan),電(dian)(dian)(dian)流(liu)與(yu)磁(ci)(ci)(ci)(ci)化(hua)方(fang)向(xiang)(xiang)(xiang)(xiang)平(ping)行時(shi)電(dian)(dian)(dian)阻(zu)(zu)(zu)R最大,電(dian)(dian)(dian)流(liu)與(yu)磁(ci)(ci)(ci)(ci)化(hua)方(fang)向(xiang)(xiang)(xiang)(xiang)垂直時(shi)電(dian)(dian)(dian)阻(zu)(zu)(zu)Rmin最小,電(dian)(dian)(dian)流(liu)與(yu)磁(ci)(ci)(ci)(ci)化(hua)方(fang)向(xiang)(xiang)(xiang)(xiang)成(cheng)(cheng)0角(jiao)時(shi),電(dian)(dian)(dian)阻(zu)(zu)(zu)可(ke)表示(shi)為
R=Rmin+(Rmax-Rmin)cos2θ (3-2)
在(zai)磁阻(zu)傳感器中,為了消除(chu)溫(wen)度等外界因素對輸出的(de)影響,一般由(you)4個相(xiang)同的(de)磁阻(zu)元件構成惠斯通電橋。理論分析與實踐表明,采用45°偏置磁場,當沿與易磁化軸垂直的(de)方向(xiang)施加外磁場,且外磁場強度不(bu)太大時,電橋輸出與外加磁場強度呈線(xian)性關系。
2. 磁通門
磁(ci)(ci)(ci)通門傳感器又稱為磁(ci)(ci)(ci)飽和(he)式(shi)磁(ci)(ci)(ci)敏傳感器,它(ta)是利(li)用(yong)某些(xie)高(gao)磁(ci)(ci)(ci)導率的軟磁(ci)(ci)(ci)性材料(如坡莫合金)做磁(ci)(ci)(ci)心,以其(qi)在交(jiao)直流磁(ci)(ci)(ci)場作用(yong)下的磁(ci)(ci)(ci)飽和(he)特性以及(ji)法(fa)拉第電磁(ci)(ci)(ci)感應原理(li)研制(zhi)的磁(ci)(ci)(ci)場測量裝置。
這種(zhong)磁(ci)(ci)(ci)(ci)敏(min)傳感器的(de)(de)(de)最大特點是(shi)適合(he)(he)測量(liang)零(ling)磁(ci)(ci)(ci)(ci)場附(fu)近的(de)(de)(de)弱(ruo)磁(ci)(ci)(ci)(ci)場。傳感器體(ti)積小(xiao),重量(liang)輕,功耗低,不受磁(ci)(ci)(ci)(ci)場梯度影響,測量(liang)的(de)(de)(de)靈敏(min)度可(ke)達0.01nT,并且可(ke)以和(he)(he)磁(ci)(ci)(ci)(ci)秤混合(he)(he)使用。該裝(zhuang)置已普遍應(ying)用于(yu)航空(kong)、地(di)面、測井等方面的(de)(de)(de)磁(ci)(ci)(ci)(ci)法(fa)勘(kan)探工(gong)作中。在軍事(shi)上,也可(ke)用于(yu)尋找地(di)下武器(炮彈(dan)、地(di)雷等)和(he)(he)反潛。還可(ke)用于(yu)預(yu)報天然(ran)地(di)震及空(kong)間磁(ci)(ci)(ci)(ci)測等。
3. 巨(ju)磁阻元件
物質在一(yi)定磁(ci)(ci)場(chang)作用下電(dian)阻(zu)發(fa)生改(gai)變(bian)(bian)(bian)的(de)(de)(de)(de)(de)(de)現象,稱(cheng)為(wei)磁(ci)(ci)阻(zu)效(xiao)應(ying)。磁(ci)(ci)性(xing)金屬和合金材料(liao)一(yi)般(ban)都有這種(zhong)現象。一(yi)般(ban)情況(kuang)下,物質的(de)(de)(de)(de)(de)(de)電(dian)阻(zu)率在磁(ci)(ci)場(chang)中僅發(fa)生微小(xiao)的(de)(de)(de)(de)(de)(de)變(bian)(bian)(bian)化,但在某種(zhong)條件(jian)下,電(dian)阻(zu)變(bian)(bian)(bian)化的(de)(de)(de)(de)(de)(de)幅度相當大,比(bi)通常情況(kuang)下高十(shi)余倍(bei),稱(cheng)為(wei)巨磁(ci)(ci)阻(zu)效(xiao)應(ying)(GMR)。這種(zhong)效(xiao)應(ying)來自(zi)于載流(liu)電(dian)子(zi)的(de)(de)(de)(de)(de)(de)不(bu)同自(zi)旋(xuan)狀(zhuang)態與磁(ci)(ci)場(chang)的(de)(de)(de)(de)(de)(de)作用不(bu)同,因而導致電(dian)阻(zu)值的(de)(de)(de)(de)(de)(de)變(bian)(bian)(bian)化。GMR是一(yi)個量子(zi)力學效(xiao)應(ying),它(ta)是在層(ceng)狀(zhuang)的(de)(de)(de)(de)(de)(de)磁(ci)(ci)性(xing)薄膜結構(gou)中觀察到的(de)(de)(de)(de)(de)(de),這種(zhong)結構(gou)由(you)鐵(tie)磁(ci)(ci)材料(liao)和非磁(ci)(ci)材料(liao)薄層(ceng)交替疊合而成。當鐵(tie)磁(ci)(ci)層(ceng)的(de)(de)(de)(de)(de)(de)磁(ci)(ci)矩相互平行(xing)時(shi),載流(liu)子(zi)與自(zi)旋(xuan)有關的(de)(de)(de)(de)(de)(de)散(san)射最(zui)小(xiao),材料(liao)有最(zui)小(xiao)的(de)(de)(de)(de)(de)(de)電(dian)阻(zu)。當鐵(tie)磁(ci)(ci)層(ceng)的(de)(de)(de)(de)(de)(de)磁(ci)(ci)矩為(wei)反(fan)向平行(xing)時(shi),與自(zi)旋(xuan)有關的(de)(de)(de)(de)(de)(de)散(san)射最(zui)強,材料(liao)的(de)(de)(de)(de)(de)(de)電(dian)阻(zu)最(zui)大。
構成(cheng)GMR磁頭和(he)傳(chuan)感(gan)器(qi)的(de)(de)(de)(de)(de)核心元件是自(zi)(zi)旋閥(spin valve)元件。它(ta)的(de)(de)(de)(de)(de)基本結構是由釘扎磁性層(如Co)、Cu間(jian)隔層和(he)自(zi)(zi)由磁性層(如NiFe等易磁化層)組成(cheng)的(de)(de)(de)(de)(de)多層膜。由于釘扎磁性層的(de)(de)(de)(de)(de)磁矩與自(zi)(zi)由磁性層的(de)(de)(de)(de)(de)磁矩之間(jian)的(de)(de)(de)(de)(de)夾角發生變(bian)化會(hui)導致SV-GMR元件的(de)(de)(de)(de)(de)電阻值(zhi)改變(bian),進而使(shi)輸出(chu)電流發生變(bian)化。運用SV-GMR元件的(de)(de)(de)(de)(de)磁傳(chuan)感(gan)器(qi),其檢(jian)測(ce)靈敏度比(bi)使(shi)用MR元件的(de)(de)(de)(de)(de)高幾(ji)個數量級,更容(rong)易集成(cheng)化,封(feng)裝尺(chi)寸更小,可靠性更高。它(ta)不僅可以取代以前(qian)的(de)(de)(de)(de)(de)MR傳(chuan)感(gan)器(qi),還可以制成(cheng)傳(chuan)感(gan)器(qi)陣列(lie),實現智能化,用來表(biao)述(shu)通行車(che)輛(liang)、飛機(ji)機(ji)翼、建(jian)筑防(fang)護裝置或管(guan)道系(xi)統中隱蔽缺陷(xian)的(de)(de)(de)(de)(de)特征,跟(gen)蹤地磁場的(de)(de)(de)(de)(de)異(yi)常(chang)現象(xiang)等。當前(qian),GMR傳(chuan)感(gan)器(qi)已在(zai)液壓氣缸位置傳(chuan)感(gan)、真假紙幣識(shi)別、軸承(cheng)編(bian)碼、電流檢(jian)測(ce)與控制、旋轉位置檢(jian)測(ce)、車(che)輛(liang)通行情(qing)況檢(jian)測(ce)等領(ling)域得到應用。
4. 霍(huo)爾元件
霍(huo)(huo)爾(er)元(yuan)件在漏(lou)磁檢測(ce)中應用較為廣泛。霍(huo)(huo)爾(er)元(yuan)件是由半(ban)導(dao)體(ti)材料制(zhi)成的(de)一種晶體(ti)。當給(gei)晶體(ti)材料通以電(dian)流并置于(yu)磁場之(zhi)中時(shi),在晶體(ti)的(de)兩面就(jiu)會產生電(dian)壓(ya),電(dian)壓(ya)的(de)大小(xiao)與磁場強度成正比關系。
固體導電材(cai)料(liao)幾乎可以使電子暢通(tong)無阻地流(liu)過(guo),就像傳統的臺球模型演示的那樣,晶(jing)(jing)體點陣(zhen)上的離子不會使傳導電子發生折射。當電流(liu)由(you)晶(jing)(jing)體的一(yi)端輸入時(shi),電子或者相互之間發生折射,或者向著晶(jing)(jing)體的另一(yi)端折射。
根據固體物理(li)理(li)論可知,晶(jing)體上的(de)電壓(ya)Vh為: Vh=RhIBz/b (3-3)
式中,1為所使用(yong)的電(dian)流(liu);Bz為磁(ci)(ci)場(chang)強度(du)在(zai)垂直于電(dian)流(liu)方(fang)(fang)向上的分量;b為晶體(ti)在(zai)磁(ci)(ci)場(chang)方(fang)(fang)向上的厚度(du);Rh為霍爾(er)系數。
一般(ban)情況下,如果晶體與(yu)磁(ci)場B之間成(cheng)一定(ding)夾角,則 B2=Beosθ。
由金屬制(zhi)(zhi)成的(de)霍爾(er)元(yuan)件(jian)并不(bu)是最好(hao)的(de),因為(wei)金屬的(de)霍爾(er)系數(shu)都很低。根據(ju)霍爾(er)元(yuan)件(jian)工作(zuo)(zuo)原理,霍爾(er)系數(shu)越大(da),霍爾(er)電壓(ya)也(ye)就越高(gao)。因此(ci),在制(zhi)(zhi)作(zuo)(zuo)霍爾(er)元(yuan)件(jian)時,一(yi)般選(xuan)用元(yuan)素(su)周(zhou)期(qi)表中第II和第IV族元(yuan)素(su)混合(he)制(zhi)(zhi)作(zuo)(zuo),而(er)且其對(dui)溫度的(de)變化也(ye)最不(bu)敏感。此(ci)區域(yu)的(de)元(yuan)素(su),載流子一(yi)般為(wei)空位而(er)不(bu)是電子。
5. 感(gan)應(ying)線圈
感應(ying)(ying)線圈是鋼(gang)管漏磁(ci)(ci)檢(jian)測中應(ying)(ying)用最為廣泛(fan)的磁(ci)(ci)敏傳感器,主(zhu)要有水(shui)平和(he)垂直(zhi)線圈兩(liang)種布置方式,如圖3-2所示(shi)。根據(ju)提(ti)離(li)效應(ying)(ying)和(he)法(fa)拉第(di)電(dian)磁(ci)(ci)感應(ying)(ying)定律,為了使檢(jian)測信號與缺陷特(te)征之(zhi)間具有良好的對(dui)應(ying)(ying)關系,感應(ying)(ying)線圈提(ti)離(li)距離(li)以及(ji)掃(sao)查速度(du)應(ying)(ying)盡量保持恒定。


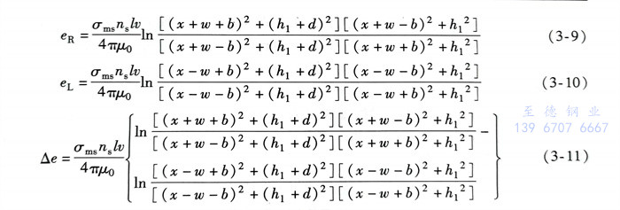
水平(ping)線圈以速度(du)v穿(chuan)越(yue)缺陷(xian)上部漏磁場時所產(chan)生(sheng)的(de)感應(ying)電(dian)(dian)動(dong)(dong)勢(shi)應(ying)為(wei)線圈前沿(yan)和尾(wei)(wei)部感應(ying)電(dian)(dian)動(dong)(dong)勢(shi)之差。設線圈長(chang)度(du)為(wei)l、寬度(du)為(wei)2w、提(ti)離(li)值為(wei)h1、匝數為(wei),線圈前沿(yan)產(chan)生(sheng)電(dian)(dian)動(dong)(dong)勢(shi)為(wei)SueR,線圈尾(wei)(wei)部產(chan)生(sheng)電(dian)(dian)動(dong)(dong)勢(shi)為(wei)eL,線圈產(chan)生(sheng)感應(ying)電(dian)(dian)動(dong)(dong)勢(shi)為(wei)Δe,根據(ju)法拉第電(dian)(dian)磁感應(ying)定律可得
此(ci)外,從圖3-3中可(ke)以看(kan)出(chu),水平(ping)線(xian)圈輸(shu)出(chu)感應(ying)電(dian)動(dong)(dong)(dong)勢(shi)(shi)本質(zhi)為處于(yu)同(tong)一(yi)提離高度(du)的前后導(dao)線(xian)在(zai)同(tong)一(yi)時刻的電(dian)動(dong)(dong)(dong)勢(shi)(shi)差動(dong)(dong)(dong)輸(shu)出(chu)。因此(ci),感應(ying)線(xian)圈電(dian)動(dong)(dong)(dong)勢(shi)(shi)輸(shu)出(chu)與線(xian)圈寬度(du)有關,并(bing)存(cun)在(zai)最(zui)佳寬度(du)使得線(xian)圈輸(shu)出(chu)最(zui)大感應(ying)電(dian)動(dong)(dong)(dong)勢(shi)(shi)。此(ci)時,線(xian)圈運動(dong)(dong)(dong)至缺陷(xian)中間位置(zhi),并(bing)且前沿產(chan)生(sheng)正(zheng)向極值電(dian)動(dong)(dong)(dong)勢(shi)(shi)而尾(wei)部產(chan)生(sheng)反(fan)向極值電(dian)動(dong)(dong)(dong)勢(shi)(shi),經過差動(dong)(dong)(dong)后可(ke)獲(huo)取最(zui)高感應(ying)電(dian)動(dong)(dong)(dong)勢(shi)(shi)輸(shu)出(chu)。根據式(shi)(3-11),當x=0時,可(ke)獲(huo)得感應(ying)線(xian)圈位于(yu)缺陷(xian)中間位置(zhi)時電(dian)動(dong)(dong)(dong)勢(shi)(shi)Δeo與線(xian)圈寬度(du)參(can)數w的關系式(shi)Δeo(w),即


同樣,設置缺陷(xian)寬(kuan)(kuan)(kuan)度2b為(wei)0.5mm,深(shen)度d為(wei)0.75mm以及感(gan)應(ying)線(xian)(xian)圈(quan)提離高度h1為(wei)0.25mm,根(gen)據式(3-13)可(ke)獲得最(zui)佳線(xian)(xian)圈(quan)寬(kuan)(kuan)(kuan)度參數wo為(wei)0.3253mm。根(gen)據線(xian)(xian)圈(quan)最(zui)佳寬(kuan)(kuan)(kuan)度參數重新(xin)計(ji)算感(gan)應(ying)線(xian)(xian)圈(quan)前沿、尾部以及整體輸(shu)出(chu)感(gan)應(ying)電動(dong)勢曲線(xian)(xian),如(ru)圖3-4所示。從圖中可(ke)以看(kan)出(chu),當線(xian)(xian)圈(quan)移動(dong)到缺陷(xian)正上方時(shi),線(xian)(xian)圈(quan)前沿感(gan)應(ying)電動(dong)勢輸(shu)出(chu)極(ji)(ji)小(xiao)值而尾部輸(shu)出(chu)極(ji)(ji)大值,經差動(dong)后水平線(xian)(xian)圈(quan)輸(shu)出(chu)電動(dong)勢達到最(zui)大值。檢測(ce)(ce)線(xian)(xian)圈(quan)的(de)最(zui)優寬(kuan)(kuan)(kuan)度參數與缺陷(xian)尺寸和(he)傳感(gan)器提離值有關(guan)。在實際生產過程中,可(ke)根(gen)據鋼管軋制過程中產生的(de)自然缺陷(xian)特征對檢測(ce)(ce)線(xian)(xian)圈(quan)寬(kuan)(kuan)(kuan)度進(jin)行(xing)優化設計(ji),以達到最(zui)佳的(de)檢測(ce)(ce)效果(guo)。

下面進一步討論垂(chui)直線圈漏磁(ci)信號(hao)輸出特性。
如圖3-5所(suo)示(shi),垂(chui)直(zhi)線(xian)(xian)圈以速度(du)(du)(du),穿越(yue)缺陷上部(bu)漏磁(ci)場時所(suo)產生(sheng)的電(dian)(dian)動(dong)勢輸出(chu)應為(wei)(wei)線(xian)(xian)圈頂部(bu)和底部(bu)感(gan)應電(dian)(dian)動(dong)勢之(zhi)差。設線(xian)(xian)圈長度(du)(du)(du)為(wei)(wei)l、匝數為(wei)(wei)、寬度(du)(du)(du)為(wei)(wei)2w、中心提離(li)值為(wei)(wei),線(xian)(xian)圈頂部(bu)產生(sheng)電(dian)(dian)動(dong)勢為(wei)(wei)er,線(xian)(xian)圈底部(bu)產生(sheng)電(dian)(dian)動(dong)勢為(wei)(wei)eB,線(xian)(xian)圈產生(sheng)整體感(gan)應電(dian)(dian)動(dong)勢為(wei)(wei)Δe,根據法(fa)拉第電(dian)(dian)磁(ci)感(gan)應定(ding)律可(ke)得

從圖3-5中可以(yi)看出(chu)(chu)(chu),eт、eB和e三者(zhe)波形相(xiang)似,垂直(zhi)線(xian)(xian)圈輸(shu)出(chu)(chu)(chu)感(gan)(gan)應電動(dong)勢(shi)本質(zhi)為(wei)上下(xia)(xia)兩根導線(xian)(xian)在(zai)同一時(shi)刻的(de)電動(dong)勢(shi)差動(dong)輸(shu)出(chu)(chu)(chu)。在(zai)缺陷(xian)中心位(wei)置(zhi),垂直(zhi)線(xian)(xian)圈感(gan)(gan)應電動(dong)勢(shi)輸(shu)出(chu)(chu)(chu)為(wei)零,而(er)在(zai)缺陷(xian)兩端附近(jin)感(gan)(gan)應電動(dong)勢(shi)具有最大(da)輸(shu)出(chu)(chu)(chu)值。垂直(zhi)線(xian)(xian)圈頂部和底部距(ju)離越大(da),整體(ti)感(gan)(gan)應電動(dong)勢(shi)輸(shu)出(chu)(chu)(chu)越大(da)。因(yin)此,在(zai)條件允許(xu)的(de)情況下(xia)(xia),垂直(zhi)線(xian)(xian)圈應盡(jin)量貼近(jin)鋼管表面并可通過增大(da)線(xian)(xian)圈的(de)寬(kuan)度(du)來(lai)提高電動(dong)勢(shi)輸(shu)出(chu)(chu)(chu)。但在(zai)設計線(xian)(xian)圈寬(kuan)度(du)時(shi)必(bi)須考(kao)慮背(bei)景噪(zao)(zao)聲(sheng)的(de)影響(xiang),垂直(zhi)線(xian)(xian)圈寬(kuan)度(du)越大(da),線(xian)(xian)圈包含的(de)背(bei)景噪(zao)(zao)聲(sheng)越多,從而(er)會降低缺陷(xian)漏磁信號(hao)的(de)信噪(zao)(zao)比(bi)。

