久久99國產精品久久99果凍傳媒:超聲波在不同介質界面處的反射、折射和透射情況是進行超聲探傷的重要物理基礎。聲波能量經界面時的聲壓聲強變化主要取決于兩側介質的聲阻抗。
1. 超(chao)聲波垂直人射(she)到(dao)兩種介質界面處(chu)的反射(she)透射(she)情況
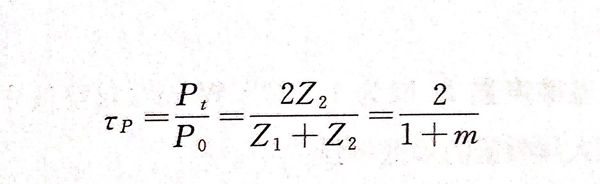
當超聲波垂直入射于兩種不同聲阻抗介質的界面時,其反射波按入射波相反的路徑返回,透射波垂直進入第二種介質。假設超聲波所處介質聲阻抗為Z1,人射聲強為I0,入射聲壓為P0,反射聲強為Ir,反射聲壓為Pr;另一種介質聲阻抗為Z2,透射聲強為It,透射聲壓為Pt.令聲阻抗比m=Z1/Z2,可得:


聲壓視為平面上單位面積所受的力,那么平面兩側的力應當平衡,故聲壓變化有P0+Pr=Pt.結合聲壓反射、透射系數,有

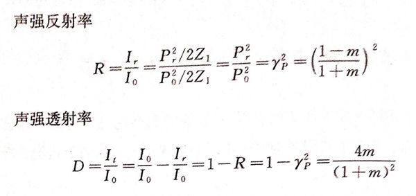
類似地,聲強在界面兩側應滿足能量守恒定律,所以有Io=Ir+It,如果把聲強反射率(R)定義為Ir/I0,聲強透射率(D)定義為It/I0,則有:

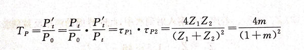
實際檢測中,常用到自發自收探頭,例如對鋼板進行檢測時,認為聲波垂直入射進人鋼板內部,透射波到達底部后,聲壓在鋼板/空氣界面被完全反射,然后垂直返回,被探頭接收。探頭接收到的返回聲壓P't與人射聲壓P0之比稱為聲壓往復透過率,常用符號Tp表示。

所(suo)以

對比聲強透射率D和聲壓往復透過率Tp,可知兩者在數值上相等。
超聲(sheng)波垂直入射于(yu)不同聲(sheng)阻抗(kang)介質的界(jie)面(mian),有以下(xia)四種(zhong)反射和(he)透射情況。
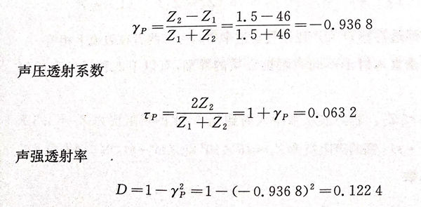
a. Z1<Z2
若聲(sheng)波從水中入(ru)射到鋼中,水的聲(sheng)阻抗為(wei)Z1=1.5×106kg/(㎡·s),鋼的聲(sheng)阻抗為(wei)Z2=46×106kg/(㎡·s),水/鋼界(jie)面上(shang)的

圖2.9表(biao)示(shi)從水(shui)入(ru)射(she)到鋼(gang)時,聲(sheng)壓在兩側的分布。當聲(sheng)波從聲(sheng)阻(zu)抗(kang)小的介質人射(she)到聲(sheng)阻(zu)抗(kang)大的介質時,反射(she)聲(sheng)壓較入(ru)射(she)聲(sheng)壓略低(di),而透射(she)聲(sheng)壓高于入(ru)射(she)聲(sheng)壓,且等于兩者之和。由聲(sheng)強透射(she)率D的大小可知(zhi)入(ru)射(she)聲(sheng)強中只有12.24%的能量進入(ru)鋼(gang)中。

b. Z1>Z2
若聲(sheng)波從鋼(gang)入射到水中,此時界面(mian)的聲(sheng)壓反射系數

圖2.10表示從(cong)鋼入射(she)(she)(she)到(dao)水時,兩側的聲(sheng)(sheng)(sheng)壓(ya)(ya)分(fen)布。當聲(sheng)(sheng)(sheng)波從(cong)聲(sheng)(sheng)(sheng)阻抗較(jiao)大的介質入射(she)(she)(she)到(dao)較(jiao)小(xiao)的介質時,反(fan)射(she)(she)(she)聲(sheng)(sheng)(sheng)壓(ya)(ya)較(jiao)入射(she)(she)(she)聲(sheng)(sheng)(sheng)壓(ya)(ya)略低;而透射(she)(she)(she)聲(sheng)(sheng)(sheng)壓(ya)(ya)因入射(she)(she)(she)聲(sheng)(sheng)(sheng)壓(ya)(ya)與反(fan)射(she)(she)(she)聲(sheng)(sheng)(sheng)壓(ya)(ya)相位相反(fan),其數值也較(jiao)小(xiao)。計算得(de)知入射(she)(she)(she)聲(sheng)(sheng)(sheng)強中同樣有12.24%的能量進(jin)入水中。

c. Z1 > Z2
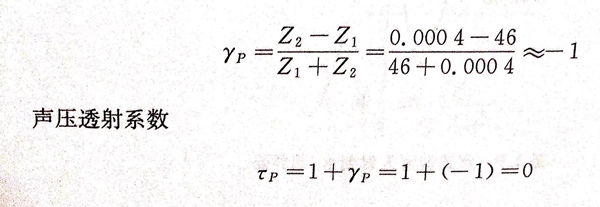
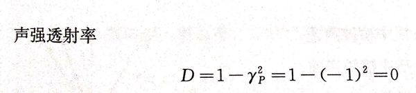
當聲波從聲阻抗高的固體入射到空氣中,例如從鋼中入射到空氣中,就屬于這種情況,此時Z1(鋼)=46×106kg/(㎡·s),Z2(空氣)=0.0004×106kg/(㎡·s),可計算聲壓反射系數


此時,聲波在界(jie)面(mian)處(chu)幾乎(hu)全部被反(fan)射(she),無法透射(she)到空氣中,因此,當超(chao)聲波探頭(tou)與(yu)粗糙待(dai)測(ce)件表面(mian)接觸,如果不加耦合劑,就相(xiang)當于探頭(tou)與(yu)待(dai)測(ce)件表面(mian)間(jian)有一層空氣,導致聲波能量無法透射(she)到待(dai)測(ce)件中,無法進行(xing)探傷。
d. Z1≈Z2
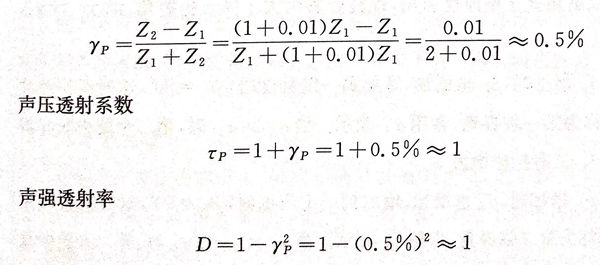
當聲波從兩種(zhong)聲阻(zu)抗相近的介質界面經過時,例如普通碳(tan)鋼焊縫金(jin)(jin)屬與(yu)母材金(jin)(jin)屬之間,聲阻(zu)抗相差僅(jin)1%,此時,界面的聲壓反射系數

此時(shi),在(zai)界(jie)面處反(fan)射(she)(she)聲壓極(ji)小(xiao),而透射(she)(she)聲壓幾乎與入射(she)(she)聲壓相同;聲波(bo)能量幾乎全部透射(she)(she)到第二種介(jie)質中。
2. 超(chao)聲波(bo)斜入射(she)(she)到(dao)兩種介質界面處的反(fan)射(she)(she)折射(she)(she)情(qing)況(kuang)
當(dang)超聲波以(yi)一定(ding)角(jiao)度斜入(ru)射(she)(she)(she)到(dao)兩種(zhong)介質(zhi)界面(mian)時,會發生反(fan)射(she)(she)(she)和折(zhe)射(she)(she)(she)現(xian)象(xiang),且遵(zun)循反(fan)射(she)(she)(she)和折(zhe)射(she)(she)(she)定(ding)律。一定(ding)條件下,還會發生波型轉(zhuan)換(huan)現(xian)象(xiang)。
a. 超聲縱波斜入射
當超聲縱(zong)波(bo)斜入射(she)到(dao)兩種介質界面時(shi),反射(she)波(bo)和(he)折射(she)波(bo)的傳(chuan)播方(fang)向符合反射(she)定(ding)律、折射(she)定(ding)律,如圖2.11所示,即


由式(2.4)可知,在同一介質中聲波縱波波速不變,因此縱波反射角與縱波入射角相等,即αL=γL,同時,同一介質中縱波聲速大于橫波聲速,因此縱波反射角大于橫波反射角,縱波折射角大于橫波折射角,即γL>γs,βL>βs.
當αL增加時,βL也增加,增加到一定程度時,βL=90°,這時所得縱波入射角稱為第一臨界角,常用aI表示。當αL>αI時,第二介質中既有折射縱波L,又有折射橫波S.
當αL增加時,βs也增加,增加到一定程度時,βs=90°,這時所得縱波入射角稱為第二臨界角,常用aII表示。當αI<αL<aII時,第二介質中沒有折射縱波L,只有折射橫波S,這種情況也是橫波探頭的制作原理。
b. 超聲橫波斜入射(she)
當橫波(bo)以一(yi)定(ding)角(jiao)度入射到兩(liang)種固體(ti)界面時,也會出現(xian)波(bo)形的轉換,如圖(tu)2.12所示。

同樣地(di),橫波(bo)斜入射也(ye)符合反射、折射定律:

橫波斜入射時,隨著αs增加,yL=90°時,所對應的橫波人射角αs為第三臨界角,常用αIII表示,橫波入射角大于第三臨界角時,產生橫波全反射現象。

