1. 用(yong)PN標記的整體鋼制久久99國產精品久久99果凍傳媒:管法蘭的(de)久久99國產精品久久99果凍傳媒:密封面型式及(ji)適用的公稱(cheng)(cheng)壓力和公稱(cheng)(cheng)尺寸范圍(wei)見表 6-1。

2. 用PN標記的整體鋼制管法(fa)蘭的結構型式包括平面型、突面型、凹凸面型、榫槽面型、O形圈面型及環連接面型等6種,如圖6-1~圖6-6所示。


3. 用PN標(biao)記(ji)的整體鋼制管法(fa)蘭(lan)密封(feng)尺寸(cun)(cun)見(jian)圖(tu)6-2~圖(tu)6-5及表6-2。用PN標(biao)記(ji)的法(fa)蘭(lan)環連(lian)接面尺寸(cun)(cun)見(jian)圖(tu)6-6及表6-3.


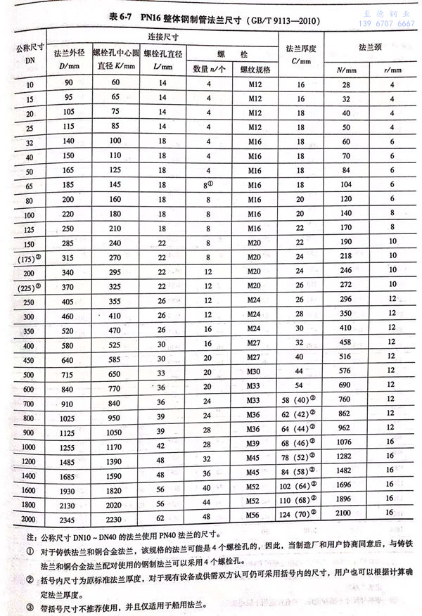
4. 用PN 標記的整體鋼制管法(fa)蘭的結構尺寸見(jian)圖 6-1 ~ 圖 6-6 及表 6-4 ~表 6-15。




注:公(gong)稱尺寸(cun)DN10~DN40的法(fa)(fa)蘭(lan)(lan)使(shi)用(yong)PN40法(fa)(fa)蘭(lan)(lan)的尺寸(cun);公(gong)稱尺寸(cun)DN50~DN150的法(fa)(fa)蘭(lan)(lan)使(shi)用(yong)PN16法(fa)(fa)蘭(lan)(lan)的尺寸(cun)。
①. 對(dui)于鑄鐵(tie)法(fa)(fa)蘭(lan)(lan)(lan)(lan)和(he)(he)銅合(he)金(jin)法(fa)(fa)蘭(lan)(lan)(lan)(lan),該規格的(de)法(fa)(fa)蘭(lan)(lan)(lan)(lan)可能是4個螺栓孔(kong)的(de),因(yin)此(ci),當制(zhi)(zhi)造廠和(he)(he)用(yong)戶協商同(tong)意后,與鑄鐵(tie)法(fa)(fa)蘭(lan)(lan)(lan)(lan)和(he)(he)銅合(he)金(jin)法(fa)(fa)蘭(lan)(lan)(lan)(lan)配對(dui)使用(yong)的(de)鋼制(zhi)(zhi)法(fa)(fa)蘭(lan)(lan)(lan)(lan)可以采(cai)用(yong)4個螺栓孔(kong)。
②. 括(kuo)號內(nei)尺(chi)寸為(wei)原標準(zhun)法(fa)蘭(lan)厚度(du)(du),對于現有設備或(huo)供(gong)需(xu)雙方認可仍可采用(yong)括(kuo)號內(nei)的尺(chi)寸,用(yong)戶(hu)也可以根據計算(suan)確(que)定法(fa)蘭(lan)厚度(du)(du)。
③. 帶(dai)括號尺(chi)寸(cun)不推薦使用(yong)(yong),并且僅(jin)適(shi)用(yong)(yong)于船用(yong)(yong)法蘭。

注:公稱尺寸DN10~DN40的法蘭使用PN40法蘭的尺寸。
①. 對(dui)于鑄鐵(tie)法蘭(lan)和銅合金(jin)法蘭(lan),該規格的(de)法蘭(lan)可(ke)能是4個螺(luo)栓孔的(de),因此,當制造廠和用戶(hu)協商同(tong)意后,與鑄鐵(tie)法蘭(lan)和銅合金(jin)法蘭(lan)配(pei)對(dui)使用的(de)鋼制法蘭(lan)可(ke)以采用4個螺(luo)栓孔。
②. 括號(hao)內(nei)尺寸(cun)(cun)為原(yuan)標準法蘭(lan)厚(hou)度(du),對于現有設備或供需(xu)雙方認可仍可采(cai)用(yong)括號(hao)內(nei)的尺寸(cun)(cun),用(yong)戶也(ye)可以根據計算確(que)定(ding)法蘭(lan)厚(hou)度(du)。
③. 帶括號尺寸不推薦(jian)使用(yong),并(bing)且僅適用(yong)于船用(yong)法蘭。

注:公稱尺(chi)寸(cun)DN10~DN150的法蘭(lan)使用PN40法蘭(lan)的尺(chi)寸(cun)。
①. 括號內尺(chi)寸為(wei)原標準法(fa)蘭厚(hou)度,對于現有設備或供(gong)需(xu)雙方認可(ke)仍可(ke)采用括號內的尺(chi)寸,用戶也可(ke)以根據計(ji)算(suan)確定(ding)法(fa)蘭厚(hou)度。
②. 帶括號尺寸不(bu)推薦使用(yong)(yong),并且僅適用(yong)(yong)于船用(yong)(yong)法蘭。





