柔(rou)(rou)性石墨(mo)(mo)金(jin)屬(shu)(shu)波(bo)齒復(fu)合墊片是(shi)由柔(rou)(rou)性石墨(mo)(mo)做(zuo)成(cheng)的(de)金(jin)屬(shu)(shu)波(bo)齒復(fu)合墊片是(shi)在(zai)機(ji)械加工(gong)成(cheng)波(bo)齒狀的(de)金(jin)屬(shu)(shu)板兩面覆蓋上柔(rou)(rou)性石墨(mo)(mo)的(de)一種復(fu)合墊片。這(zhe)種墊片既有金(jin)屬(shu)(shu)的(de)強(qiang)度,又有波(bo)紋(wen)彈性的(de)特點(dian),最(zui)高使用溫度可達到650℃左右;適用公稱(cheng)壓力用PN標記的(de)久久99國產精品久久99果凍傳媒:法蘭用(yong)墊(dian)片(pian)尺寸的最(zui)高壓力(li)可(ke)達(da)250bar;適用(yong)公(gong)稱壓力(li)用(yong)Class標記的法蘭(lan)用(yong)墊(dian)片(pian)尺寸的最(zui)高壓力(li)可(ke)達(da)到(dao)1500磅級(PN260bar).此種墊(dian)片(pian)通常(chang)用(yong)于(yu)突面(mian)(mian)(mian)、凹凸面(mian)(mian)(mian)及榫槽面(mian)(mian)(mian)帶(dai)頸對焊鋼制管法蘭(lan)、壓力(li)容器法蘭(lan)、久久99國產精品久久99果凍傳媒:閥門及換熱器(qi)等(deng)管道和設備的密封(feng)。
一、型(xing)式(shi)及代號
1. 型式
柔性石(shi)墨金屬波(bo)齒復合(he)墊(dian)片,按結構的不同可分為基本型、帶定位環型及(ji)帶定位耳型3種型式(shi)。
a. 基本(ben)型
基本(ben)型柔性石墨金屬(shu)波齒復合(he)墊(dian)片適用于榫槽面和凹凸面法蘭,其結(jie)構型式如圖13-23所示。

b. 帶定位(wei)環型
帶定位環型(xing)(xing)柔性石墨金屬(shu)波齒復合墊片適用于全(quan)平面和突(tu)面密封(feng)面法(fa)蘭,其結構型(xing)(xing)式如圖13-24所示(shi)。

c. 帶定位耳型
帶(dai)定位耳型(xing)柔性石墨金屬波(bo)齒復合墊片適(shi)用于全平(ping)面(mian)(mian)和突面(mian)(mian)密封(feng)面(mian)(mian)法蘭,其結構型(xing)式如圖13-25所示(shi)。

2. 代號
a. 墊片的型式(shi)代號見表(biao) 13-36。

b. 金屬骨(gu)架的常用材料代號見表 13-37。

二(er)、尺寸(cun)及公差(cha)
1. 公稱壓力(li)用(yong) PN 標記的(de)法蘭用(yong)墊(dian)片尺寸(cun)
a. 榫槽面法(fa)蘭(lan)用(yong)基本(ben)型墊片尺寸見圖(tu) 13-23 和 表 13-38。

b. 凹凸面法蘭用基本型墊片尺(chi)寸見圖 13-23 和 表 13-39。

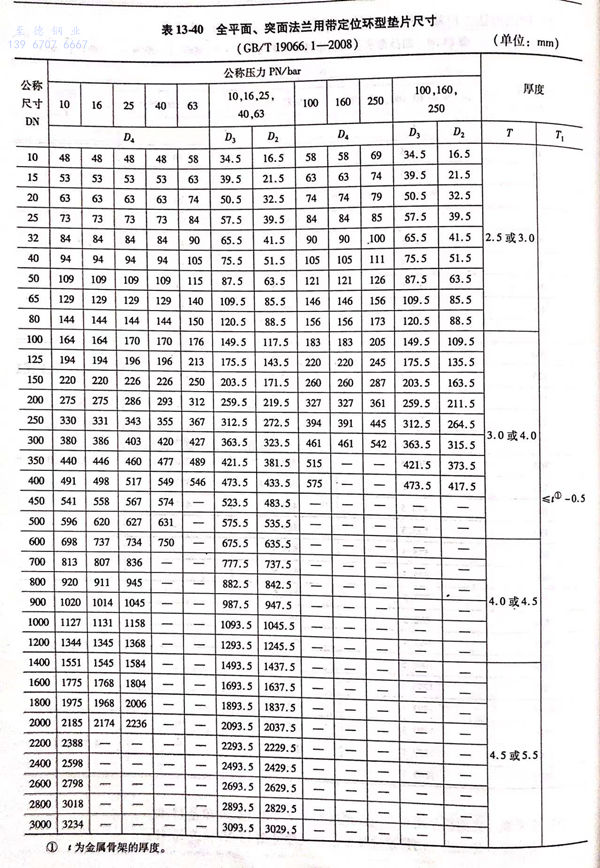
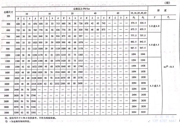
c. 全平面、突面法(fa)蘭(lan)用帶定位環型墊片尺(chi)寸見圖 13-24 和 表 13-40。

d. 全平(ping)面、突(tu)面法蘭用帶定位耳環型(xing)墊片(pian)尺寸(cun)見圖 13-25 和 表 13-41。


2. 公稱壓(ya)力用 Class 標記(ji)的法蘭用墊片(pian)尺寸
a. 榫(sun)槽面法蘭用(yong)基本型墊片(pian)尺寸見(jian)圖 13-23 和(he) 表(biao) 13-42。

b. 凹凸(tu)面法蘭用基本型墊片尺(chi)寸見圖(tu) 13-23 和 表 13-43。

c. 全(quan)平面、突面法蘭用帶定(ding)位(wei)環型(xing)墊片(pian)尺寸見(jian)圖(tu) 13-24 和 表 13-44。

d. 全(quan)平面、突(tu)面法(fa)蘭用帶定位(wei)耳(er)環型墊(dian)片尺寸見圖(tu) 13-25 和 表 13-45。

3. 公稱(cheng)壓力用Class 標記的大直(zhi)徑(jing)鋼制管(guan)法蘭(lan)用墊(dian)片(pian)尺(chi)寸
a. 公稱(cheng)壓力用Class 標(biao)記的A系列(lie)大直徑突面(mian)法蘭(lan)用帶定(ding)位環(huan)型(xing)的墊片尺寸(cun)見圖13-24和表13-46。

b. 公稱壓力用Class 標記的B系列大(da)直徑突(tu)面法蘭用帶定位環型墊(dian)片(pian)尺寸見圖(tu)13-24和表13-47。

c. 公稱壓力用Class 標(biao)記的A系列(lie)大(da)直徑突面(mian)法(fa)蘭用帶定位(wei)耳型墊片的尺寸見圖(tu)13-26和表13-48.


d. 公稱壓力用Class標記的B系(xi)列大直徑突面法用帶定位耳型的墊片(pian)尺寸見圖13-26和表13-49。

4. 金屬骨架(jia)尺寸的極限(xian)偏(pian)差
金屬(shu)波齒復(fu)合墊片(pian)金屬(shu)骨(gu)架(jia)(jia)尺寸的(de)極(ji)(ji)限偏差(cha)見(jian)表13-50.復(fu)合后的(de)墊片(pian)外(wai)徑和密封元件寬度(du)的(de)極(ji)(ji)限偏差(cha)與金屬(shu)骨(gu)架(jia)(jia)的(de)相同(tong)。
5. 墊片(pian)厚度公差
墊(dian)片厚度的極(ji)限偏差見表13-51;波齒深度以及波齒圓(yuan)弧半(ban)徑的尺寸及其極(ji)限偏差由制(zhi)造(zao)廠(商(shang))進行確定。
6. 尺寸(cun)極(ji)限偏差(cha)
大直徑法蘭(lan)用柔性石(shi)墨金(jin)屬波齒復合(he)墊(dian)片(pian)尺(chi)寸極限偏差見表(biao)13-52.

三、技術要求
1. 金屬(shu)骨架(jia)
a. 金屬骨架材(cai)料(liao)及硬(ying)度要(yao)求見表13-53.材(cai)料(liao)的(de)機械(xie)性能和化學(xue)成分應符合相應標準的(de)規定(ding)。
b. 金屬骨架一(yi)般使用整張金屬板制作,若受材(cai)料寬(kuan)度限制需拼(pin)(pin)接(jie)時,其拼(pin)(pin)接(jie)接(jie)頭的(de)數量(liang)應有所限制。拼(pin)(pin)接(jie)接(jie)頭的(de)數量(liang)見表13-54.對(dui)接(jie)切口應采(cai)用氬弧焊或電(dian)焊對(dui)接(jie)焊縫(feng)必(bi)須打磨(mo)與(yu)母材(cai)齊平(ping),焊縫(feng)處不應出(chu)現(xian)夾渣、氣(qi)孔等影(ying)響焊接(jie)接(jie)頭質(zhi)量(liang)的(de)缺陷(xian)。
c. 金(jin)屬(shu)骨(gu)架的結(jie)構見圖13-27,其結(jie)構尺寸和參數(shu)由制造廠(商)設(she)計確定,并確保金(jin)屬(shu)骨(gu)架兩(liang)側(ce)面波(bo)峰與波(bo)谷應錯開(kai)1/2齒(chi)距,波(bo)齒(chi)距一(yi)致(zhi),波(bo)齒(chi)圓弧半徑相等,所有齒(chi)尖應在一(yi)個平面內(nei),骨(gu)架無明顯翹曲變(bian)形。成形后的金(jin)屬(shu)骨(gu)架任意兩(liang)點厚度偏差在制作骨(gu)架的板(ban)材厚度偏差范圍(wei)之內(nei)。
d. 定(ding)(ding)位環(包(bao)括定(ding)(ding)位耳環)厚度T1通常為(wei)T1≤t-0.5,定(ding)(ding)位環可直接與(yu)波齒(chi)部分一(yi)(yi)起加(jia)工(gong)成(cheng)一(yi)(yi)整體。定(ding)(ding)位環采用碳鋼材(cai)料時,其表面應(ying)進行(xing)防銹處理。
e. 當(dang)墊(dian)片單(dan)邊(bian)寬度較窄時(shi),宜采用較小的波(bo)齒距,并使單(dan)邊(bian)不(bu)得(de)少于(yu)3個(ge)齒尖,以保證密封(feng)性(xing)能。
2. 墊片的復合
a. 墊片用粘合(he)劑應按有關標準規定(ding),柔性石墨應符合(he)JB/T 7758.2《柔性石墨板(ban)技(ji)術條件》的(de)規定(ding)。
b. 墊片復合后的截面圖見圖13-28.墊片的公(gong)稱厚(hou)度(du)T一般(ban)為2.5、3.0、4.0和4.5mm四(si)種,特殊厚(hou)度(du)的墊片可根據用(yong)戶要求(qiu)制作(zuo)。

c. 柔性石墨與金屬骨架(jia)復合(he)后應(ying)不脫膠,附著牢固,粘合(he)無多余(yu)飛邊。墊片厚度均勻一致,表面光滑平整(zheng),不允許有影響密封性能的徑向貫通(tong)劃傷(shang)、壓痕及凹凸(tu)不平等缺(que)陷。
d. 大規格墊片(DN≥300mm)石墨允許搭(da)接(jie),搭(da)接(jie)部分(fen)的寬度為(wei)1~3mm,應(ying)采(cai)用(yong)斜口搭(da)接(jie),上下層搭(da)接(jie)部分(fen)不能重疊,搭(da)接(jie)處應(ying)光滑過渡。
3. 性能
柔(rou)性石墨(mo)金屬波齒復合墊片(pian)各項力(li)學性能及密封性能指標見表13-55.

四、標記及標志
1. 標記
a. 標記方(fang)法

b. 標記示例
墊片型式:帶定(ding)位環型;金(jin)屬骨(gu)架材料:06Cr19Ni10;公稱尺(chi)寸:DN150;公稱壓(ya)力(li):PN40;墊片標(biao)準:GB/T 19066.1;其標(biao)記為:
波齒墊 B4-DN150-PN40 GB/T 19066.1
2. 標(biao)志
按GB/T 19066.3-2003《柔性石墨金(jin)屬波齒復合(he)(he)墊片技術條件》規定:經檢驗合(he)(he)格(ge)(ge)的(de)產品,制造(zao)廠應填寫產品合(he)(he)格(ge)(ge)證(zheng)作為標志,并隨產品一起裝箱發送。合(he)(he)格(ge)(ge)證(zheng)包(bao)括以下(xia)各項內容:
a. 產品標記。
b. 產品規格(ge)及符合標準的(de)編號。
c. 產品批號(hao)。
d. 生產日期(qi)。
e. 檢驗日期及檢驗者(zhe)姓名(ming)、代(dai)號。
f. 制(zhi)造廠名稱。
g. 商標。

