管(guan)件(jian)的型式與尺(chi)寸分為(wei)以米制(zhi)單位(wei)表示的管(guan)件(jian)和以英制(zhi)單位(wei)表示的管(guan)件(jian)兩(liang)個(ge)系列。
在米制單位表示的(de)管件尺(chi)寸中,管件端(duan)部外(wai)徑(jing)(即與管子(zi)外(wai)徑(jing)相(xiang)配的(de)坡(po)口處外(wai)徑(jing))分為Ⅰ及Ⅱ兩個(ge)系列(lie),Ⅰ系列(lie)為國際通用系列(lie)。
由于米制(zhi)單(dan)(dan)(dan)(dan)位(wei)和(he)英制(zhi)單(dan)(dan)(dan)(dan)位(wei)的(de)(de)管件(jian)不能做到(dao)精(jing)確(que)的(de)(de)等同(tong),因(yin)此使用(yong)者必須分別采用(yong)兩(liang)種(zhong)單(dan)(dan)(dan)(dan)位(wei)制(zhi)。對于尺寸(cun)(cun)為米制(zhi)單(dan)(dan)(dan)(dan)位(wei)的(de)(de)管件(jian),其公(gong)(gong)稱尺寸(cun)(cun)用(yong)DN表示(shi);對于尺寸(cun)(cun)為英制(zhi)單(dan)(dan)(dan)(dan)位(wei)的(de)(de)管件(jian),其公(gong)(gong)稱尺寸(cun)(cun)用(yong)NPS表示(shi)。兩(liang)者之間的(de)(de)關(guan)系(xi)見表8-2。

一、米制尺寸(cun)
1. 長半(ban)徑彎頭型式見(jian)圖 8-1,尺寸見(jian)表(biao) 8-3 。


2. 長半徑異徑彎(wan)頭型(xing)式(shi)見(jian)圖 8-2,尺(chi)寸見(jian)表 8-4 。


3. 長(chang)半徑(jing)180°彎頭型式見(jian)圖 8-3,尺寸(cun)見(jian)表(biao) 8-5 。

4. 短(duan)半徑(jing)彎頭型(xing)式見圖 8-4,尺(chi)寸見表 8-6 。

5. 短(duan)半徑(jing)180°彎頭型(xing)式(shi)見圖 8-5,尺寸見表 8-7 。


6. 等徑三通和四通型式見圖(tu) 8-6,尺(chi)寸(cun)見表(biao) 8-8 。


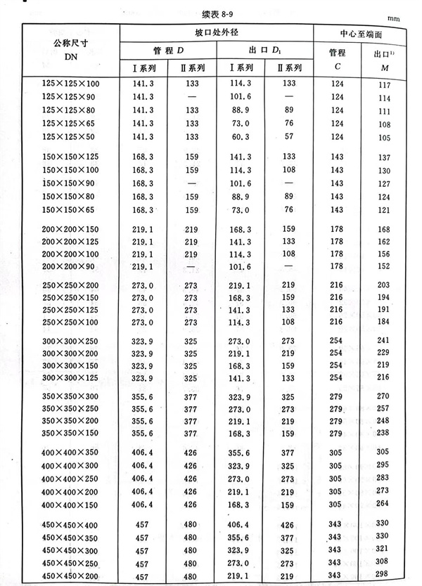
7. 異(yi)徑(jing)三通和(he)四通型(xing)式(shi)見圖 8-7,尺(chi)寸見表 8-9 。





8. 翻邊短節型式(shi)見圖(tu) 8-8,尺寸見表(biao) 8-10 。


注:1.公差見(jian)表8-23。
2.使(shi)用條件(jian)和連接結構通(tong)常決定(ding)對短(duan)節的(de)長度(du)要求,因此,在訂貨時采購方必(bi)須規定(ding)是長型或短(duan)型短(duan)節。
a. 當(dang)短型(xing)翻(fan)邊短節用(yong)于PN50和PN110的較大(da)法蘭(lan)以及(ji)大(da)于等于PN150的大(da)部分(fen)規(gui)格的法蘭(lan)時;或當(dang)長型(xing)翻(fan)邊短節用(yong)于PN260和PN420的較大(da)法蘭(lan)時,為了避免法蘭(lan)可能(neng)影響(xiang)焊接(jie),可能(neng)需要增加接(jie)管的長度。長度增加量由(you)制造商(shang)與采購方雙(shuang)方協(xie)商(shang)。
b. 當采用榫槽面和(he)凹凸密封面時,必須增(zeng)加(jia)搭(da)接邊(bian)的厚度(du)(du)。增(zeng)加(jia)厚度(du)(du)應附加(jia)(不包括)在基本長度(du)(du)F上。
c. 這些尺(chi)寸應與GB/T 9118.1~9118.2或ASMEB16.5中(zhong)的(de)松套法蘭(lan)的(de)圓(yuan)角半(ban)徑相符(fu)合。
d. 該尺寸與ASME B16.5中表(biao)示(shi)的(de)標準機加工(gong)面相符合。搭接(jie)邊的(de)背(bei)面應進行機加工(gong),使其與安(an)裝表(biao)面一致。當(dang)采(cai)用環連接(jie)密(mi)封面時,使用ASMEB16.5中給出的(de)尺寸K。
9. 管帽(mao)型式見圖 8-9,尺(chi)寸見表 8-11 。

10. 異徑接頭型(xing)式見(jian)圖 8-10,尺寸見(jian)表 8-12 。



二、英制尺寸
1. 長半徑(jing)彎頭(tou)型式(shi)見(jian)圖 8-11,尺寸(cun)見(jian)表 8-13 。

2. 長半徑(jing)異徑(jing)彎頭型式(shi)見圖(tu) 8-12,尺(chi)寸(cun)見表 8-14 。


3. 長半徑180°彎頭型式(shi)見(jian)圖 8-13,尺寸見(jian)表(biao) 8-15 。


4. 短半徑彎頭型式(shi)見圖(tu) 8-14,尺寸見表 8-16 。

5. 短半徑180°彎(wan)頭(tou)型(xing)式(shi)見圖 8-15,尺寸見表(biao) 8-17 。

6. 等徑三通和四通型(xing)式見圖 8-16,尺(chi)寸見表 8-18 。


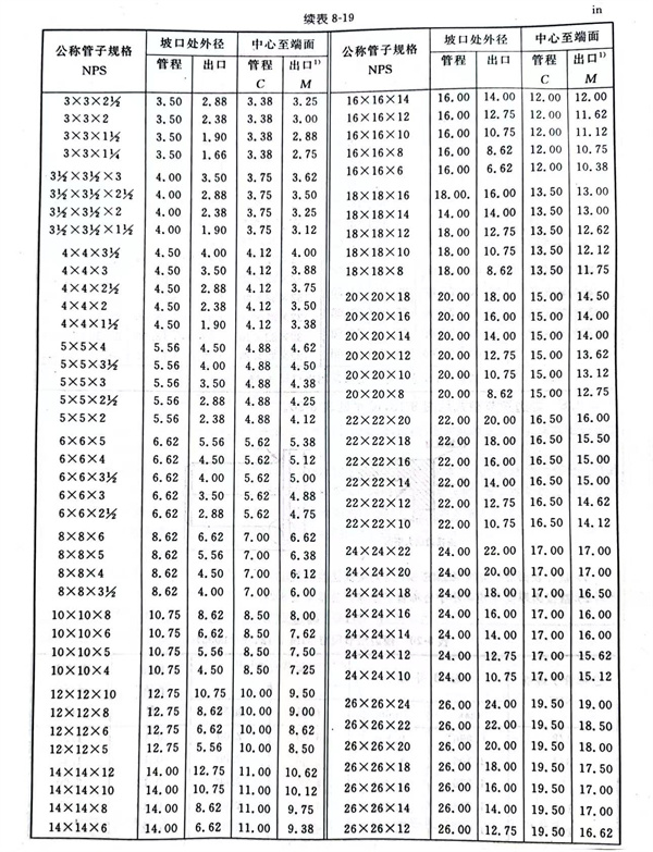
7. 異徑三通和四通型式(shi)見圖 8-17,尺寸見表(biao) 8-19 。



8. 翻邊短(duan)節型式見圖 8-18,尺寸見表 8-20 。


注:1.公差見圖8-21。
2.使(shi)用條(tiao)件和接頭結構通常決(jue)定對短節(jie)的長度(du)要求,因此,在采購(gou)(gou)時采購(gou)(gou)方(fang)必須(xu)規定是長型(xing)或短型(xing)短節(jie)。
1)當短(duan)型翻(fan)邊(bian)短(duan)節用于300磅(bang)級和600磅(bang)級的(de)較大法蘭(lan)以及大于等于900磅(bang)級的(de)大部分規格(ge)的(de)法蘭(lan)時,當長(chang)型翻(fan)邊(bian)短(duan)節用于1500磅(bang)級和2500磅(bang)級的(de)較大法蘭(lan)時,為了避(bi)免法蘭(lan)可(ke)能影響(xiang)焊(han)接(jie)(jie),可(ke)能需要增加接(jie)(jie)管的(de)長(chang)度(du)。長(chang)度(du)的(de)增加量由制造廠與采(cai)購方(fang)雙方(fang)協商。
2)當采用(yong)如榫槽面,凹凸(tu)密封面時,必(bi)須增加搭接邊(bian)的厚度(du)。增加厚度(du)應在基(ji)本長(chang)度(du)F之外(不包括在基(ji)本長(chang)度(du)內)。
3)這(zhe)些尺寸應與ASME B16.5《管(guan)法(fa)(fa)蘭(lan)和法(fa)(fa)蘭(lan)管(guan)件》中松套(tao)法(fa)(fa)蘭(lan)的圓角半徑相符(fu)。
4)該尺寸與ASME B16.5中(zhong)表示的(de)(de)標準機加工(gong)面一(yi)致(zhi)。搭接邊(bian)的(de)(de)背面應進(jin)行機加工(gong),使(shi)與其(qi)安(an)裝表面一(yi)致(zhi)。當采用(yong)環連(lian)接面時使(shi)用(yong)ASMEB16.5中(zhong)給出的(de)(de)尺寸K。
9. 管帽(mao)型式見(jian)圖 8-19,尺寸見(jian)表 8-21 。


10. 異(yi)徑接頭型(xing)式見圖 8-20,尺寸見表 8-22 。



