1. ASME B31.3壁厚設計計算與對比分析(xi)


從上面的(de)(de)推導過(guo)程可知,對于理想的(de)(de)薄(bo)壁圓(yuan)筒管狀設備,如果要使(shi)其(qi)強(qiang)度(du)承受給定內壓(ya)而不(bu)致破壞,所取的(de)(de)計算厚(hou)(hou)度(du)應(ying)與內壓(ya)和(he)管子直徑的(de)(de)乘積成正(zheng)比(bi),與材(cai)料的(de)(de)許用(yong)應(ying)力成反比(bi)。經過(guo)多(duo)年發展和(he)對公(gong)式的(de)(de)不(bu)斷修正(zheng),形成了目前(qian)廣泛認可的(de)(de)ASME B31.3經典壁厚(hou)(hou)計算公(gong)式(3.3.4)或式(3.3.5)。
2. ASME B31.3管道壁厚計(ji)算方法(fa)
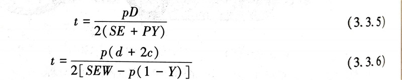
(1)管道的(de)直(zhi)管部分所要求的(de)厚度應(ying)按公(gong)式(3.3.4)確定:
tm=t+c (3.3.4)
考慮到鋼(gang)廠(chang)的負偏差,應(ying)選用管道最小(xiao)壁厚T≥tm
(2)直管的壓力設計(ji)公式中的代號意義(yi)如下(xia):
c--機械裕量(liang)(螺紋(wen)(wen)(wen)或(huo)溝槽(cao)深(shen)度)與腐蝕和(he)磨(mo)蝕裕量(liang)的(de)總和(he)。對于帶螺紋(wen)(wen)(wen)的(de)組件,應采用公稱螺紋(wen)(wen)(wen)深(shen)度(ASME B1.20.1的(de)尺(chi)寸h或(huo)相當的(de)尺(chi)寸);對于沒有規(gui)定公差的(de)機加工表(biao)面或(huo)槽(cao),應在規(gui)定的(de)切削(xue)深(shen)度加上0.5mm(0.02in)的(de)公差;
d--管(guan)道內(nei)徑。對(dui)于壓力設計(ji)計(ji)算時,管(guan)道內(nei)徑應是采(cai)購技術條件下(xia)的最大(da)值;
D--管道(dao)的外徑,如標準或技術(shu)條件(jian)表列或實(shi)測;
E--ASME B31.3表(biao)A-1A或A1-1B所列(lie)質(zhi)量系數;
p--設計內壓(ya)(表壓(ya));
S--材料的許用應力,見ASME B31.3表A-1;
T--管壁厚(hou)(實測或按采購技術條件中的最(zui)小壁厚(hou));
tm--包括機加工、腐蝕和磨蝕裕量在內的(de)所需最小厚(hou)度;
t--壓力設計(ji)厚度(du);
W--焊縫結構強(qiang)度降低系數。
W 是考(kao)慮蠕變溫度(du)下(xia)新加(jia)的(de)一個(ge)小(xiao)于(yu)或(huo)等于(yu)1的(de)系數。實際上式(shi)(3.3.5)和式(shi)(3.3.6)最初來源(yuan)于(yu)較(jiao)精(jing)確(que)且較(jiao)復雜的(de)拉美(Lamé)公式(shi)(在1883年(nian)提出)的(de)經驗(yan)近似式(shi)。
焊(han)縫(feng)接頭強度降低系(xi)數(shu)W是(shi)引起(qi)焊(han)縫(feng)接頭失效(xiao)的(de)名義應(ying)力(li)與相同持久(jiu)時間母材(cai)失效(xiao)的(de)名義應(ying)力(li)的(de)比(bi),在(zai)缺少更多(duo)可用(yong)數(shu)據(ju)的(de)情況下(如蠕變(bian)試驗(yan)),對于所有(you)材(cai)料,在(zai)溫(wen)度不大于510℃(950℉)時,應(ying)取為1.0,在(zai)溫(wen)度815℃(1500°℉)時,應(ying)取為0.5。中間溫(wen)度的(de)強度降低系(xi)數(shu)應(ying)使(shi)用(yong)線(xian)性內插(cha)法取得。對于溫(wen)度高(gao)于815℃(1500°℉)的(de)情況,由設計(ji)者負責確定強度降低系(xi)數(shu)。
使用焊(han)(han)縫接頭的蠕變(bian)試(shi)驗來確定(ding)強(qiang)度降低系數時,宜使用全厚度橫截面焊(han)(han)縫試(shi)樣(yang)試(shi)驗,其(qi)持(chi)久時間不(bu)低于1000h。除非設計者考(kao)慮(lv)由于橫穿(chuan)焊(han)(han)縫應(ying)力重新分配的影(ying)響,應(ying)使用全厚度焊(han)(han)縫試(shi)樣(yang)。
Y--當t/D/6時從(cong)ASME B31.3表(biao)查得(de)系(xi)數,見表(biao)3.3.18。對于中(zhong)間溫度(du),Y值(zhi)可用內插法求得(de)。

(3)承受內(nei)壓(ya)的直管。
①. 當t<D/6時,直管的(de)內壓(ya)設(she)計厚(hou)(hou)度,應不(bu)小于式(3.3.5)或式(3.3.6)計算出的(de)厚(hou)(hou)度:

②. 當t≥D/6時或(huo)p/SE>0.385時,直(zhi)管的(de)內壓(ya)設計厚度要對諸(zhu)如(ru)失(shi)效機(ji)理、疲勞影響和(he)熱應力等因素予以(yi)特(te)殊考慮(lv)。
(4)承受(shou)外(wai)壓(ya)的直管。
確定(ding)承受外壓的(de)直管的(de)壁厚和剛性加強(qiang)要(yao)求時(shi),應(ying)(ying)遵照BPV規(gui)(gui)(gui)范VII卷(juan)第1冊UG-28至UG-30規(gui)(gui)(gui)定(ding)的(de)程序,使(shi)用UG-29規(gui)(gui)(gui)定(ding)的(de)兩剛性加強(qiang)圈斷面(mian)中心線(xian)間長(chang)度(du)作為設計長(chang)度(du)Lo。作為例(li)外的(de)是(shi)當P.2的(de)S值(zhi)(zhi)應(ying)(ying)是(shi)在設計溫度(du)下管道材料下列(lie)數值(zhi)(zhi)中較小值(zhi)(zhi):
①. 1.5倍ASME B31.3附錄(lu)表A-1的許(xu)用應力(li);
②. 0.9倍列于(yu)第II卷D篇表Y-1相應材料屈服強(qiang)度。
(第VII卷中的(de)符號(hao)D。相當于ASME B31.3中的(de)D)

