發(fa)布(bu)日期(qi):2024-05-06 21:12:45 人氣:371
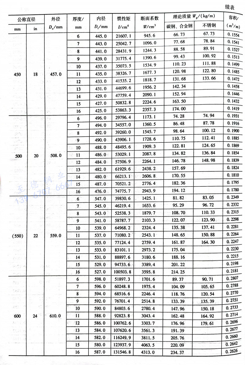
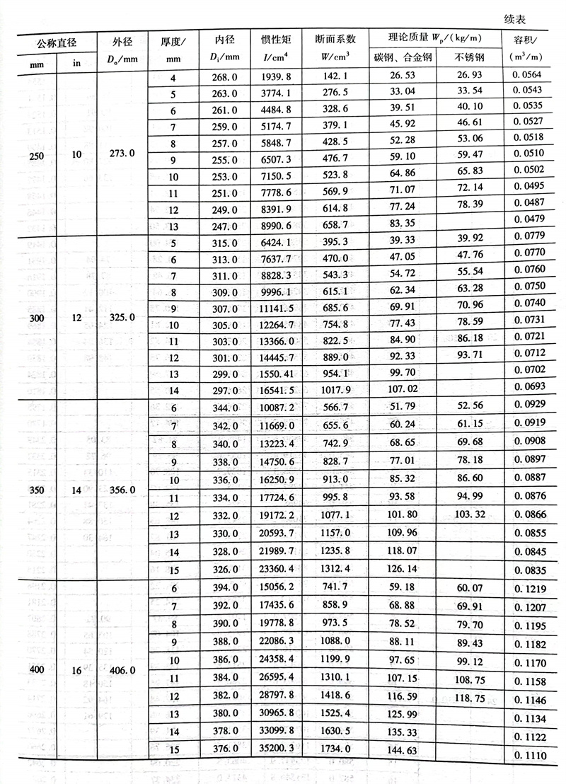
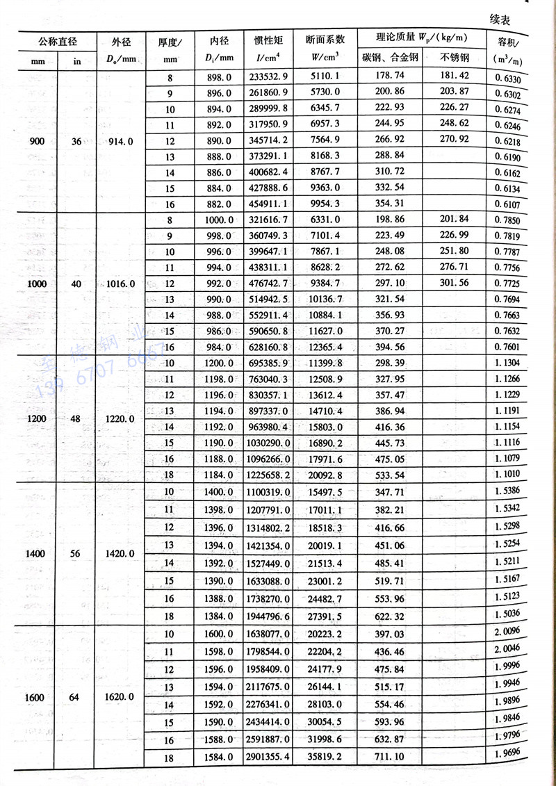
中國石(shi)化行業(ye)標準焊接(jie)鋼(gang)管尺寸及特性數(shu)據見表(biao) 4.1.15