金(jin)屬在(zai)大氣中(zhong)會自發進行(xing)氧化(hua)(hua)(hua),隨著(zhu)溫(wen)度增高(gao)(gao),大氣中(zhong)水分蒸(zheng)發,濕腐蝕(shi)變(bian)成干腐蝕(shi),腐蝕(shi)更嚴重(zhong),在(zai)工業(ye)中(zhong)成為(wei)重(zhong)要問題。如高(gao)(gao)溫(wen)石油化(hua)(hua)(hua)工管道等都存在(zai)高(gao)(gao)溫(wen)氧化(hua)(hua)(hua)問題。在(zai)高(gao)(gao)溫(wen)下(xia)金(jin)屬表面產生一層(ceng)氧化(hua)(hua)(hua)膜(mo)。Pilling和Bedworth曾指出,抗氧化(hua)(hua)(hua)性和氧化(hua)(hua)(hua)物與金(jin)屬的體積(ji)比有關。如用R表示單位(wei)體積(ji),則:

當(dang)R<1時,氧化(hua)物不(bu)能覆蓋金屬(shu)表面,因而沒有保(bao)護性;當(dang)R>1時,氧化(hua)物中將(jiang)產生較大的(de)(de)應力,膜易(yi)破裂脫落,保(bao)護性不(bu)好。理想的(de)(de)比(bi)值應接近1。此外,保(bao)護性高的(de)(de)膜還應具(ju)有高熔點(dian),低蒸氣壓,膨脹系數與(yu)金屬(shu)接近,良(liang)好的(de)(de)抗破裂高溫塑性,低電導率,對金屬(shu)離子和氧的(de)(de)擴散系數低等。
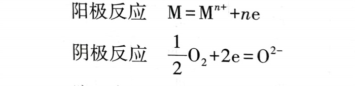
金(jin)屬(shu)的高(gao)溫氣體(ti)腐蝕也是一個電(dian)化(hua)學過程。如圖8.1.13所示。陽極反應(ying)是金(jin)屬(shu)離子(zi)化(hua),在膜(mo)-金(jin)屬(shu)界面發(fa)生;陰極反應(ying)是氧的離子(zi)化(hua),在膜(mo)-氣體(ti)界面發(fa)生。電(dian)子(zi)和離子(zi)(金(jin)屬(shu)離子(zi)和氧離子(zi))在膜(mo)中兩極之間流動,它(ta)和水溶液中的腐蝕電(dian)池相似。


防止高溫(wen)氧化最有效(xiao)的(de)方法是在基體金(jin)屬中加入(ru)有效(xiao)的(de)合金(jin)成(cheng)分,使膜中生成(cheng)保(bao)護性(xing)很強的(de)二元(yuan)或(huo)三元(yuan)化合物,使離子(zi)擴散更為困難,氧化速度因而下降(jiang)。

