氣(qi)相滲(shen)氮過(guo)程可分為三個(ge)環節,如圖(tu)2-1所示,即氣(qi)體(ti)向熔體(ti)表面(mian)的轉(zhuan)移(yi)、吸附解離(li)和向熔體(ti)中傳質:
(1) 氮氣由氣相向(xiang)熔體表面轉移。
(2) 在氮氣(qi)-熔體界(jie)面上的化學反應(吸附和解(jie)離(li))
(3) 氮在液相側的傳質。
通(tong)常認為,氮氣從氣相向熔體表面(mian)的(de)傳質(zhi)過(guo)(guo)程比界面(mian)反應(ying)和(he)液相側的(de)傳質(zhi)過(guo)(guo)程要快(kuai)得(de)多。環節(jie)(1)的(de)發生速度很快(kuai),不(bu)會成(cheng)為滲氮過(guo)(guo)程的(de)限(xian)制(zhi)性環節(jie)。熔體的(de)氣相滲氮速率(lv)主要受(shou)限(xian)于環節(jie)(2)和(he)(3).

一、氮溶(rong)解動力學模型
根據氮溶解速率限制(zhi)性環節(jie)的不(bu)同,分別建立(li)以下兩類氮溶解動力學模型(xing)。
若氣相滲(shen)氮傾(qing)向于由界面反應環節控(kong)制,則氣相滲(shen)氮速率可以表示(shi)為


綜上所述(shu),氣相滲氮(dan)的(de)(de)(de)力(li)學模(mo)型主要分為以(yi)上兩種。其中(zhong),對(dui)于氮(dan)氣-熔(rong)體界面上的(de)(de)(de)化(hua)學反應(ying)控制模(mo)型的(de)(de)(de)研究居多。此外(wai),基于動力(li)學模(mo)型,國內外(wai)學者(zhe)對(dui)合金成分、溫(wen)度、氮(dan)氣壓力(li)和(he)表面活性(xing)元素等(deng)四類主要影響因素進行了更詳細的(de)(de)(de)研究。
二、合金元素成分(fen)對氮溶解動力學的影響
相(xiang)比于(yu)氮(dan)溶(rong)解熱力學,氮(dan)溶(rong)解動(dong)(dong)(dong)力學的(de)研究尚不(bu)完善。目前,文獻中(zhong)對于(yu)氣相(xiang)滲(shen)氮(dan)動(dong)(dong)(dong)力學的(de)研究大多僅基(ji)于(yu)純鐵液或簡單(dan)的(de)鐵基(ji)二元(yuan)合金(jin),尚未對多元(yuan)合金(jin)體系(xi)的(de)氮(dan)溶(rong)解動(dong)(dong)(dong)力學進(jin)行深入(ru)研究。在相(xiang)同的(de)冶煉條件下,不(bu)同合金(jin)體系(xi)的(de)氣相(xiang)滲(shen)氮(dan)反(fan)應速率常數不(bu)同,主要有如下三種可(ke)能(neng)的(de)原因:
①. 不同(tong)合金元(yuan)素具有不同(tong)的(de)(de)原子結(jie)構,導致在氣-液界(jie)面(mian)(mian)處(chu)的(de)(de)表面(mian)(mian)空位數不同(tong),空位活性是衡量氮在鐵或合金元(yuan)素產生的(de)(de)每個吸附位處(chu)解離(li)速(su)度的(de)(de)量度,因此改(gai)變熔融合金成分將對氮溶解過程(cheng)中氮分子的(de)(de)解離(li)速(su)度產生影響,表現為氣相滲(shen)氮反應速(su)率常(chang)數的(de)(de)差異;
②. 合金(jin)元素(su)的表面活性不(bu)同(tong),因(yin)此占(zhan)據氣(qi)-液(ye)界(jie)面的摩爾分數(shu)不(bu)同(tong),表面空位數(shu)也(ye)不(bu)同(tong),從(cong)而影響熔(rong)體的氣(qi)相滲氮反(fan)應速率常數(shu);
③. 不(bu)同(tong)合金(jin)元(yuan)素對(dui)氧和硫的(de)(de)吸(xi)附系(xi)數(shu)也有所(suo)不(bu)同(tong),因此(ci)氣-液界面處的(de)(de)表面空位數(shu)不(bu)相(xiang)同(tong),從而影(ying)響(xiang)熔體的(de)(de)氣相(xiang)滲氮反應速(su)率常數(shu)。
Ono等通過同位素交換技(ji)術(shu)研究了Ti、Zr和(he)V等氮(dan)具有(you)更強(qiang)親(qin)和(he)力的(de)合金元(yuan)素對氣(qi)(qi)相滲氮(dan)速(su)率的(de)影(ying)響。結果表明(ming),相比于(yu)Fe元(yuan)素,Ti、Zr和(he)V等元(yuan)素能夠明(ming)顯提升滲氮(dan)速(su)率,其(qi)原(yuan)因可通過增加(jia)氣(qi)(qi)-液界面處表面空位的(de)活性來解釋。相反,針對A1、Si等元(yuan)素影(ying)響的(de)研究表明(ming),這(zhe)些元(yuan)素由于(yu)降低氣(qi)(qi)-液界面處表面空位的(de)活性而降低了氣(qi)(qi)相滲氮(dan)速(su)率。

根據 Ono-Nakazato等(deng)351的(de)研究,在1973K下二(er)元(yuan)合金(jin)(jin)中(zhong)的(de)合金(jin)(jin)元(yuan)素(su)在熔體表(biao)面(mian)與熔體中(zhong)摩(mo)爾(er)分數之間的(de)關系如圖2-23所示。從中(zhong)選擇Mn、Cu和Mo等(deng)表(biao)面(mian)相(xiang)與本(ben)體相(xiang)中(zhong)摩(mo)爾(er)分數差異較大(da)的(de)合金(jin)(jin)元(yuan)素(su)進行氣相(xiang)滲氮(dan)動力學(xue)研究,并(bing)利用同位素(su)交換技術在1973K下進行了實驗,通過研究氣相(xiang)滲氮(dan)反(fan)應(ying)速率常(chang)數與表(biao)面(mian)相(xiang)中(zhong)摩(mo)爾(er)分數的(de)關系討論了影響機理。



1973K下,[%O]=0.0020時各種(zhong)合(he)金(jin)(jin)元素(su)(su)(su)相對(dui)(dui)于鐵的(de)(de)(de)空位活(huo)度(du)(du)系數如圖(tu)2-24所(suo)示。同時將(jiang)各種(zhong)合(he)金(jin)(jin)元素(su)(su)(su)的(de)(de)(de)y.值(zhi)與滲(shen)氮(dan)熱力(li)學中合(he)金(jin)(jin)元素(su)(su)(su)對(dui)(dui)氮(dan)的(de)(de)(de)活(huo)度(du)(du)相互作(zuo)用(yong)系數進行了對(dui)(dui)比(bi)。可以看出,合(he)金(jin)(jin)元素(su)(su)(su)Mn、Mo的(de)(de)(de)y.值(zhi)均為正值(zhi),且數值(zhi)大(da)于1,表(biao)明Mn、Mo相對(dui)(dui)于Fe具(ju)(ju)有(you)更強的(de)(de)(de)提(ti)供空位的(de)(de)(de)能力(li);而(er)Cu、Al和Si等(deng)合(he)金(jin)(jin)元素(su)(su)(su)則(ze)相反(fan),其含(han)量的(de)(de)(de)增加會降(jiang)低熔(rong)體表(biao)面空位的(de)(de)(de)活(huo)性(xing)。合(he)金(jin)(jin)元素(su)(su)(su)的(de)(de)(de)r.值(zhi)與其對(dui)(dui)氮(dan)的(de)(de)(de)活(huo)度(du)(du)相互作(zuo)用(yong)系數之間存(cun)在線性(xing)關系,例如,Mn、Mo等(deng)與氮(dan)具(ju)(ju)有(you)較(jiao)(jiao)強親和力(li)的(de)(de)(de)元素(su)(su)(su)的(de)(de)(de)y.值(zhi)較(jiao)(jiao)大(da),對(dui)(dui)氮(dan)的(de)(de)(de)活(huo)度(du)(du)相互作(zuo)用(yong)系數則(ze)較(jiao)(jiao)小,為負值(zhi);Cu、Al和Si等(deng)的(de)(de)(de)y.值(zhi)較(jiao)(jiao)小,對(dui)(dui)氮(dan)的(de)(de)(de)活(huo)度(du)(du)相互用(yong)系數較(jiao)(jiao)大(da),為正值(zhi)。

相對于Fe,具(ju)有較大y.值的(de)合金(jin)元素(su)(su)(su)能夠增(zeng)加(jia)熔體表(biao)(biao)面空位的(de)活性,促進氮氣(qi)分子在表(biao)(biao)面空位處的(de)吸(xi)附和離解過程,從而增(zeng)大氣(qi)相滲(shen)(shen)氮反(fan)應(ying)速率常(chang)數(shu)(shu)。圖2-25總(zong)結了(le)熔融(rong)合金(jin)中各合金(jin)元素(su)(su)(su)的(de)摩爾分數(shu)(shu)對氣(qi)相滲(shen)(shen)氮反(fan)應(ying)速率常(chang)數(shu)(shu)的(de)影響,圖中縱坐標k/k純鐵液的(de)數(shu)(shu)值表(biao)(biao)征了(le)元素(su)(su)(su)相對于Fe元素(su)(su)(su)對氣(qi)相滲(shen)(shen)氮反(fan)應(ying)速率常(chang)數(shu)(shu)的(de)影響。
相(xiang)對(dui)(dui)于鐵的(de)空位活度系數k/k純(chun)鐵液值大于1時,元素對(dui)(dui)氮(dan)的(de)親和力(li)比(bi)鐵強,具(ju)有增大氣相(xiang)滲氮(dan)反應(ying)速率常(chang)(chang)數的(de)作用(yong)(yong),如Ti、Zr、V、Mn、Cr和Mo等(deng);其他k/k純(chun)鐵液值小于1的(de)元素,如B、Si、Al和Cu等(deng),則對(dui)(dui)氮(dan)的(de)排(pai)斥力(li)較(jiao)強,相(xiang)比(bi)于Fe具(ju)有降低氣相(xiang)滲氮(dan)反應(ying)速率常(chang)(chang)數的(de)作用(yong)(yong)。

三、溫度(du)對氮(dan)溶解動力學的影(ying)響
關于溫度(du)對氮(dan)溶解動(dong)力學的(de)影響,研究(jiu)(jiu)人員的(de)研究(jiu)(jiu)結果相(xiang)對一(yi)致,即隨著冶煉溫度(du)的(de)升高,氣相(xiang)滲(shen)氮(dan)反應(ying)速率常數增(zeng)大,滲(shen)氮(dan)速率增(zeng)快。在反應(ying)速率理論的(de)發(fa)展過程(cheng)中,先后形成了碰撞理論、過渡態理論和單分子(zi)反應(ying)理論等。根據廣泛認可的(de)碰撞理論,氣相(xiang)滲(shen)氮(dan)反應(ying)速率常數可以表示為(wei)

提高冶煉溫(wen)(wen)度(du),氣(qi)(qi)(qi)相中氮氣(qi)(qi)(qi)分(fen)(fen)子(zi)和(he)熔體中各組(zu)分(fen)(fen)的(de)熱運(yun)動(dong)更(geng)加劇烈,大(da)(da)(da)(da)大(da)(da)(da)(da)增(zeng)(zeng)加了(le)氮分(fen)(fen)子(zi)的(de)碰撞(zhuang)頻率;同時,高溫(wen)(wen)下氮氣(qi)(qi)(qi)分(fen)(fen)子(zi)更(geng)易(yi)獲得(de)能量(liang),使得(de)部分(fen)(fen)原本能量(liang)較(jiao)低(di)的(de)氮氣(qi)(qi)(qi)分(fen)(fen)子(zi)變(bian)為活化(hua)(hua)氮氣(qi)(qi)(qi)分(fen)(fen)子(zi),活化(hua)(hua)氮氣(qi)(qi)(qi)分(fen)(fen)子(zi)數(shu)(shu)量(liang)的(de)增(zeng)(zeng)多(duo)也增(zeng)(zeng)大(da)(da)(da)(da)了(le)有(you)效碰撞(zhuang)分(fen)(fen)數(shu)(shu)。碰撞(zhuang)頻率和(he)有(you)效碰撞(zhuang)分(fen)(fen)數(shu)(shu)均隨(sui)溫(wen)(wen)度(du)的(de)升高而(er)增(zeng)(zeng)大(da)(da)(da)(da),從(cong)而(er)增(zeng)(zeng)大(da)(da)(da)(da)了(le)氣(qi)(qi)(qi)相滲氮反應速率常(chang)數(shu)(shu)。
東北大學特殊鋼冶金研究所在1個大氣壓力下、1520~1580℃范圍內對奧(ao)氏體不銹鋼進行了氣相滲氮動力學研究,實驗用鋼的化學成分如表2-6所示。通過分析實驗數據可以發現,實驗條件下鋼液滲氮速率受界面反應控制。根據前述界面反應控制對應的氣相滲氮動力學模型,得到奧氏體不銹鋼在101kPa,1520℃、1550℃和1580℃溫度下的氣相滲氮公式分別如式(2-57)~式(2-59)所示。在氮氣壓力為101kPa時,不同溫度和滲氮時間下氮含量的實測值與模型計算值的對比如圖2-26所示。根據相應的氣相滲氮反應速率常數k與熔煉溫度的關系(圖2-27),可以看出k的值隨溫度的升高而增大,即高溫下氣相滲氮反應更快。


國外學者Han等(deng)、Ono等(deng)和Kobayashi等(deng)也(ye)開展了關于溫(wen)(wen)度對滲(shen)氮(dan)(dan)(dan)過程(cheng)動力(li)學的(de)(de)(de)實驗與(yu)理(li)論研究(jiu),得(de)到的(de)(de)(de)純鐵液中溫(wen)(wen)度對氣相(xiang)滲(shen)氮(dan)(dan)(dan)反(fan)應速率(lv)常數的(de)(de)(de)關系如圖2-28所示。研究(jiu)表(biao)明,氣相(xiang)滲(shen)氮(dan)(dan)(dan)過程(cheng)的(de)(de)(de)限(xian)制環節(jie)為(wei)氮(dan)(dan)(dan)在界面反(fan)應時(shi)的(de)(de)(de)解離;根據解離步驟滲(shen)氮(dan)(dan)(dan)模型,氣相(xiang)滲(shen)氮(dan)(dan)(dan)反(fan)應速率(lv)常數隨(sui)冶煉溫(wen)(wen)度的(de)(de)(de)變化規律與(yu)上述研究(jiu)趨勢(shi)一(yi)致,即(ji)冶煉溫(wen)(wen)度T對氣相(xiang)滲(shen)氮(dan)(dan)(dan)反(fan)應速率(lv)常數k的(de)(de)(de)影響規律符合阿倫尼烏斯公(gong)式,在一(yi)定(ding)范圍內1gk與(yu)1/T成反(fan)比。

四、氮氣壓力對(dui)氮溶解動力學的影響
目前,關于氣(qi)相(xiang)中氮(dan)氣(qi)壓力(li)對氣(qi)相(xiang)滲(shen)氮(dan)動力(li)學影響(xiang)的(de)研究都是基(ji)于氣(qi)相(xiang)滲(shen)氮(dan)動力(li)學模型(xing)進行(xing)。針(zhen)對氮(dan)氣(qi)壓力(li)對氣(qi)相(xiang)滲(shen)氮(dan)速(su)(su)率(lv)(lv)或(huo)氣(qi)相(xiang)滲(shen)氮(dan)反應(ying)速(su)(su)率(lv)(lv)常數(shu)的(de)影響(xiang)及其函(han)數(shu)關系,根據(ju)氣(qi)相(xiang)滲(shen)氮(dan)動力(li)學模型(xing)選擇的(de)不(bu)同(tong),研究人員存在(zai)不(bu)同(tong)的(de)見解。
1. 當氣相滲氮(dan)過程由界面反(fan)應環節控(kong)制時
由(you)阿(a)倫尼烏斯公式與碰(peng)(peng)(peng)撞(zhuang)理論(lun)可(ke)知(zhi),反應(ying)速率(lv)常數(shu)(shu)不(bu)受氮(dan)氣(qi)(qi)壓(ya)(ya)力的(de)影(ying)響。而氣(qi)(qi)相滲氮(dan)反應(ying)速率(lv)與氮(dan)氣(qi)(qi)壓(ya)(ya)力有密切聯(lian)系。從微觀(guan)的(de)角度看,增(zeng)(zeng)大(da)氮(dan)氣(qi)(qi)壓(ya)(ya)力增(zeng)(zeng)多(duo)了單位體積氣(qi)(qi)相內的(de)氮(dan)氣(qi)(qi)分子數(shu)(shu),在碰(peng)(peng)(peng)撞(zhuang)頻率(lv)和有效碰(peng)(peng)(peng)撞(zhuang)分數(shu)(shu)為定(ding)值的(de)情況下,氮(dan)氣(qi)(qi)壓(ya)(ya)力越高則有效碰(peng)(peng)(peng)撞(zhuang)次數(shu)(shu)越多(duo),反應(ying)速率(lv)也越大(da)。因此,合金(jin)熔體的(de)氣(qi)(qi)相滲氮(dan)反應(ying)速率(lv)隨氮(dan)氣(qi)(qi)壓(ya)(ya)力的(de)升高而增(zeng)(zeng)大(da)。
東北大(da)(da)學特殊鋼冶金研(yan)究(jiu)所在(zai)1550℃,33kPa、67kPa和(he)101kPa三個不(bu)同氮(dan)(dan)(dan)(dan)氣(qi)(qi)壓(ya)(ya)力(li)下對奧氏體(ti)不(bu)銹鋼進行(xing)了(le)氣(qi)(qi)相(xiang)滲(shen)氮(dan)(dan)(dan)(dan)動力(li)學的研(yan)究(jiu)。通過分(fen)析(xi)實(shi)驗(yan)數據(ju)(ju)可以發現,實(shi)驗(yan)條件下鋼液氣(qi)(qi)相(xiang)滲(shen)氮(dan)(dan)(dan)(dan)過程受界面反應(ying)(ying)環節控(kong)制。根據(ju)(ju)由界面反應(ying)(ying)環節控(kong)制的氣(qi)(qi)相(xiang)滲(shen)氮(dan)(dan)(dan)(dan)動力(li)學模型,計算(suan)得到奧氏體(ti)不(bu)銹鋼在(zai)1550℃和(he)不(bu)同氮(dan)(dan)(dan)(dan)氣(qi)(qi)壓(ya)(ya)力(li)下的氣(qi)(qi)相(xiang)滲(shen)氮(dan)(dan)(dan)(dan)公式(shi)分(fen)別如(ru)式(shi)(2-60)~式(shi)(2-62)所示。在(zai)溫(wen)度為1550℃時(shi)(shi),不(bu)同氮(dan)(dan)(dan)(dan)氣(qi)(qi)壓(ya)(ya)力(li)和(he)時(shi)(shi)間(jian)下氮(dan)(dan)(dan)(dan)含量(liang)的實(shi)測值與(yu)模型計算(suan)值的對比如(ru)圖2-29所示。氣(qi)(qi)相(xiang)滲(shen)氮(dan)(dan)(dan)(dan)反應(ying)(ying)速(su)率常數k與(yu)氮(dan)(dan)(dan)(dan)氣(qi)(qi)壓(ya)(ya)力(li)的關系如(ru)圖2-30所示,可以看(kan)出k的大(da)(da)小與(yu)氮(dan)(dan)(dan)(dan)氣(qi)(qi)壓(ya)(ya)力(li)無關。



2. 當氣相滲氮過程由液相側傳質環節控制時
與氣相(xiang)(xiang)滲(shen)(shen)氮(dan)(dan)(dan)(dan)過程由界面反應環(huan)節控制不(bu)同(tong)(tong),Inouye和Choh[44]認(ren)為氣相(xiang)(xiang)滲(shen)(shen)氮(dan)(dan)(dan)(dan)過程由液(ye)相(xiang)(xiang)側傳(chuan)質(zhi)環(huan)節控制。如(ru)圖(tu)(tu)2-32所示(shi),研究發現(xian)滲(shen)(shen)氮(dan)(dan)(dan)(dan)時(shi)液(ye)相(xiang)(xiang)表(biao)觀(guan)傳(chuan)質(zhi)系數(shu)隨(sui)著氮(dan)(dan)(dan)(dan)氣壓(ya)(ya)力的(de)(de)(de)(de)增加而增大。進一步(bu)比(bi)較不(bu)同(tong)(tong)表(biao)面活性(xing)元(yuan)素(氧、硫)含量(liang)的(de)(de)(de)(de)熔體中(zhong)氣相(xiang)(xiang)滲(shen)(shen)氮(dan)(dan)(dan)(dan)速(su)率與氮(dan)(dan)(dan)(dan)氣壓(ya)(ya)力的(de)(de)(de)(de)關系,發現(xian)當表(biao)面活性(xing)元(yuan)素含量(liang)非常低時(shi),純鐵液(ye)的(de)(de)(de)(de)氣相(xiang)(xiang)滲(shen)(shen)氮(dan)(dan)(dan)(dan)速(su)率與氮(dan)(dan)(dan)(dan)氣壓(ya)(ya)力的(de)(de)(de)(de)平方根成(cheng)正比(bi)[圖(tu)(tu)2-33(a)];隨(sui)著表(biao)面活性(xing)元(yuan)素濃(nong)度的(de)(de)(de)(de)增加,如(ru)當硫含量(liang)高于0.046%時(shi),氣相(xiang)(xiang)滲(shen)(shen)氮(dan)(dan)(dan)(dan)速(su)率與氮(dan)(dan)(dan)(dan)氣壓(ya)(ya)力成(cheng)正比(bi)[圖(tu)(tu)2-33(b)].這表(biao)明氮(dan)(dan)(dan)(dan)氣壓(ya)(ya)力對氣相(xiang)(xiang)滲(shen)(shen)氮(dan)(dan)(dan)(dan)速(su)率的(de)(de)(de)(de)影響,與熔體中(zhong)的(de)(de)(de)(de)表(biao)面活性(xing)元(yuan)素的(de)(de)(de)(de)含量(liang)和氣相(xiang)(xiang)滲(shen)(shen)氮(dan)(dan)(dan)(dan)過程的(de)(de)(de)(de)控制環(huan)節等條件密切相(xiang)(xiang)關。

五、表(biao)面活性元素(su)對氮溶解動力學的影響(xiang)
氧(yang)、硫(liu)作為金(jin)屬(shu)熔(rong)體中(zhong)最常(chang)見的(de)表(biao)面(mian)活性元素,在熔(rong)體表(biao)面(mian)的(de)富集會占據(ju)氣相(xiang)(xiang)-熔(rong)體界面(mian)上的(de)空位(wei),從(cong)而(er)阻礙氮(dan)在界面(mian)處的(de)溶解反應,對氣相(xiang)(xiang)滲氮(dan)過程(cheng)(cheng)產生(sheng)強的(de)抑(yi)制(zhi)作用(yong)。在高(gao)氮(dan)鋼冶煉過程(cheng)(cheng)中(zhong),若在氣相(xiang)(xiang)氮(dan)合金(jin)化工藝前率先對鋼液進行脫(tuo)(tuo)氧(yang)和脫(tuo)(tuo)硫(liu),則可以降低(di)表(biao)面(mian)活性元素的(de)不利影響(xiang),使鋼液增氮(dan)更高(gao)效。
針對(dui)氧、硫元(yuan)素對(dui)氣(qi)相(xiang)滲氮(dan)速率的影響,依據不(bu)同的氣(qi)相(xiang)滲氮(dan)動力學模(mo)型,研究人員存(cun)在不(bu)同的見解,可以(yi)分別從分子能(neng)級-反應活(huo)化能(neng)、金(jin)屬(shu)熔(rong)體表面空位(wei)和液相(xiang)側傳質(zhi)等角(jiao)度進行分析。
1. 氣相(xiang)滲氮過(guo)程(cheng)為界面(mian)反應控制,從能級角(jiao)度(du)考慮
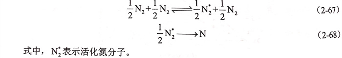
氮(dan)(dan)在金屬(shu)液(ye)中的溶(rong)解(jie)/吸收(shou)可分(fen)為反(fan)(fan)應(ying)(2-67)和反(fan)(fan)應(ying)(2-68)兩(liang)個(ge)(ge)過(guo)程(cheng)。其中,反(fan)(fan)應(ying)(2-67)表(biao)示氮(dan)(dan)分(fen)子(zi)之間發生(sheng)碰撞(zhuang)形(xing)成部分(fen)活化氮(dan)(dan)分(fen)子(zi),是一個(ge)(ge)可逆的過(guo)程(cheng);反(fan)(fan)應(ying)(2-68)表(biao)示活化氮(dan)(dan)分(fen)子(zi)在熔體(ti)表(biao)面解(jie)離(li)為氮(dan)(dan)原子(zi)并溶(rong)解(jie)的過(guo)程(cheng)。

當冶煉(lian)溫度(du)一(yi)定(ding)(ding)時(shi),氣相(xiang)側氮(dan)分(fen)(fen)子(zi)(zi)(zi)(zi)的(de)(de)(de)(de)(de)(de)(de)碰(peng)撞頻(pin)率是恒定(ding)(ding)的(de)(de)(de)(de)(de)(de)(de),與(yu)純(chun)鐵液中(zhong)的(de)(de)(de)(de)(de)(de)(de)氧、硫濃(nong)度(du)無(wu)(wu)關,但是氧、硫的(de)(de)(de)(de)(de)(de)(de)存在(zai)會顯著(zhu)降(jiang)低(di)氮(dan)的(de)(de)(de)(de)(de)(de)(de)吸(xi)收率,這與(yu)氧、硫的(de)(de)(de)(de)(de)(de)(de)表(biao)面活(huo)性(xing)(xing)(xing)改變了反應界面處氮(dan)分(fen)(fen)子(zi)(zi)(zi)(zi)的(de)(de)(de)(de)(de)(de)(de)活(huo)化狀態(tai)有關。通常,氮(dan)分(fen)(fen)子(zi)(zi)(zi)(zi)在(zai)氣相(xiang)側發生碰(peng)撞并不斷改變能量(liang)狀態(tai),但在(zai)由大量(liang)分(fen)(fen)子(zi)(zi)(zi)(zi)組成的(de)(de)(de)(de)(de)(de)(de)系統中(zhong),以(yi)(yi)(yi)一(yi)定(ding)(ding)能級(ji)(ji)(ji)存在(zai)的(de)(de)(de)(de)(de)(de)(de)分(fen)(fen)子(zi)(zi)(zi)(zi)數(shu)被認為(wei)(wei)是恒定(ding)(ding)的(de)(de)(de)(de)(de)(de)(de)。這遵循(xun)Maxwell分(fen)(fen)布(bu)定(ding)(ding)律,即(ji)隨(sui)著(zhu)能級(ji)(ji)(ji)的(de)(de)(de)(de)(de)(de)(de)增(zeng)加(jia)(jia),分(fen)(fen)子(zi)(zi)(zi)(zi)數(shu)量(liang)減少。基(ji)于Maxwell分(fen)(fen)布(bu)定(ding)(ding)律中(zhong)氮(dan)分(fen)(fen)子(zi)(zi)(zi)(zi)的(de)(de)(de)(de)(de)(de)(de)能量(liang)狀態(tai)的(de)(de)(de)(de)(de)(de)(de)觀點(dian),可以(yi)(yi)(yi)認為(wei)(wei),在(zai)熔(rong)融合金表(biao)面活(huo)性(xing)(xing)(xing)元(yuan)素(su)(su)(su)含量(liang)濃(nong)度(du)較低(di)時(shi),存在(zai)于最(zui)低(di)能級(ji)(ji)(ji)(energy level)以(yi)(yi)(yi)上的(de)(de)(de)(de)(de)(de)(de)所有分(fen)(fen)子(zi)(zi)(zi)(zi)均可以(yi)(yi)(yi)成為(wei)(wei)活(huo)化分(fen)(fen)子(zi)(zi)(zi)(zi);然而隨(sui)著(zhu)表(biao)面活(huo)性(xing)(xing)(xing)元(yuan)素(su)(su)(su)濃(nong)度(du)的(de)(de)(de)(de)(de)(de)(de)增(zeng)加(jia)(jia),氮(dan)氣活(huo)化分(fen)(fen)子(zi)(zi)(zi)(zi)存在(zai)的(de)(de)(de)(de)(de)(de)(de)最(zui)低(di)能級(ji)(ji)(ji)變高,原本在(zai)表(biao)面活(huo)性(xing)(xing)(xing)元(yuan)素(su)(su)(su)濃(nong)度(du)低(di)的(de)(de)(de)(de)(de)(de)(de)情況下(xia)存在(zai)的(de)(de)(de)(de)(de)(de)(de)活(huo)化分(fen)(fen)子(zi)(zi)(zi)(zi),由于表(biao)面活(huo)性(xing)(xing)(xing)元(yuan)素(su)(su)(su)含量(liang)的(de)(de)(de)(de)(de)(de)(de)增(zeng)加(jia)(jia)、最(zui)低(di)能級(ji)(ji)(ji)上升,無(wu)(wu)法成為(wei)(wei)活(huo)化分(fen)(fen)子(zi)(zi)(zi)(zi)。因此,氮(dan)分(fen)(fen)子(zi)(zi)(zi)(zi)之間的(de)(de)(de)(de)(de)(de)(de)有效(xiao)碰(peng)撞和活(huo)化分(fen)(fen)子(zi)(zi)(zi)(zi)數(shu)降(jiang)低(di),導(dao)致氣相(xiang)滲氮(dan)速率下(xia)降(jiang)。
2. 氣相滲氮過(guo)程由界面反(fan)應控制,從空位吸附角度(du)考慮(lv)
根據吸附理論,氮在熔體中的溶解可(ke)以描述為(wei)以下三個過程:

研(yan)究表(biao)明,在氧(yang)含(han)量超過0.015%的(de)Fe-O體系中,氣(qi)(qi)(qi)相滲(shen)(shen)氮(dan)(dan)過程(cheng)符合(he)界面反(fan)應(ying)控(kong)制(zhi)的(de)氣(qi)(qi)(qi)相滲(shen)(shen)氮(dan)(dan)動力學模型[41],Fe-S體系亦是如此(ci),氧(yang)和硫的(de)表(biao)面活性對(dui)氮(dan)(dan)分(fen)(fen)子解離(li)過程(cheng)產生(sheng)了不利(li)影響。將(jiang)氮(dan)(dan)分(fen)(fen)子的(de)解離(li)過程(cheng)[式(2-70)]視為氣(qi)(qi)(qi)相滲(shen)(shen)氮(dan)(dan)過程(cheng)的(de)控(kong)制(zhi)步驟,可以假(jia)定吸附步驟[式(2-69)]發生(sheng)較快且處于平衡狀態。此(ci)時,氣(qi)(qi)(qi)相滲(shen)(shen)氮(dan)(dan)反(fan)應(ying)速率及反(fan)應(ying)速率常數可以分(fen)(fen)別由式(2-72)與式(2-73)來表(biao)示(shi):
在理想(xiang)情(qing)況下,空(kong)位(wei)的(de)活(huo)度a.可以確定為(wei)1-01,其中0,為(wei)添加(jia)元(yuan)素i占據金屬熔體表面(mian)吸(xi)附(fu)(fu)位(wei)的(de)分數。如果元(yuan)素i符合(he)Langmuir 理想(xiang)吸(xi)附(fu)(fu)模型,則口+i-.此時,i吸(xi)附(fu)(fu)到表面(mian)上的(de)覆蓋率和i的(de)活(huo)性之間的(de)關系可以由(you)式(2-74)表示:

據此(ci),通過式(shi)(2-75),可以通過添加元素i的(de)吸附(fu)系數(shu)K;來(lai)確定(ding)氣(qi)相滲(shen)氮(dan)反應(ying)速率常數(shu),并進一步解釋元素i在熔體表(biao)面的(de)吸附(fu)對氣(qi)相滲(shen)氮(dan)反應(ying)速率常數(shu)的(de)影響。
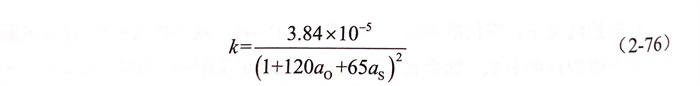
圖(tu)2-34給出了Fe-O-S體系氣(qi)相(xiang)滲氮(dan)(dan)動力學的(de)(de)(de)(de)研究結果(guo),此處添(tian)加(jia)元素(su)i即指氧和硫元素(su)。根(gen)據式(2-75),通(tong)過多元回歸(gui)分析確定(ding)氧(Ko)和硫(Ks)的(de)(de)(de)(de)吸(xi)附系數分別為120與(yu)(yu)65.圖(tu)2-34表(biao)明(ming),氣(qi)相(xiang)滲氮(dan)(dan)反(fan)應速(su)(su)率常(chang)數k的(de)(de)(de)(de)平(ping)方(fang)根(gen)與(yu)(yu)1/(1+120ao+65as)之(zhi)間呈線(xian)性關(guan)系。圖(tu)中直線(xian)的(de)(de)(de)(de)斜率代(dai)表(biao)氮(dan)(dan)在鐵液裸表(biao)面(mian)(mian)(沒有氧和硫等表(biao)面(mian)(mian)活(huo)性元素(su)覆蓋)上的(de)(de)(de)(de)氣(qi)相(xiang)滲氮(dan)(dan)反(fan)應速(su)(su)率常(chang)數k的(de)(de)(de)(de)平(ping)方(fang)根(gen),其值為0.0062,即k=3.84x10-5[mol/(c㎡·s·atm)]。

基于上述分析結(jie)果,在1873K溫度下氧和硫含量對氣(qi)相滲氮反應速(su)率(lv)常數k的(de)影響可以歸(gui)納如(ru)下:

僅考慮氧(yang)(yang)(yang)(yang)含(han)(han)量(liang)與(yu)同時(shi)考慮氧(yang)(yang)(yang)(yang)、硫(liu)含(han)(han)量(liang)對(dui)滲(shen)氮(dan)(dan)(dan)(dan)反(fan)應速(su)(su)率常(chang)數的(de)(de)(de)影(ying)響,如(ru)圖2-35所示(shi)(shi)。隨(sui)著熔(rong)(rong)(rong)體(ti)中氧(yang)(yang)(yang)(yang)和硫(liu)含(han)(han)量(liang)的(de)(de)(de)增加,氮(dan)(dan)(dan)(dan)的(de)(de)(de)氣(qi)(qi)(qi)相(xiang)滲(shen)氮(dan)(dan)(dan)(dan)反(fan)應速(su)(su)率常(chang)數顯(xian)著降低,且與(yu)上述(shu)函數關(guan)系(xi)吻合良好(hao),這表(biao)明利用(yong)式(2-76)表(biao)示(shi)(shi)表(biao)面活性元素(su)氧(yang)(yang)(yang)(yang)、硫(liu)對(dui)氣(qi)(qi)(qi)相(xiang)滲(shen)氮(dan)(dan)(dan)(dan)反(fan)應速(su)(su)率常(chang)數的(de)(de)(de)影(ying)響是合理的(de)(de)(de)。根據(ju)(ju)前述(shu)可知,氮(dan)(dan)(dan)(dan)的(de)(de)(de)溶解(jie)(jie)(jie)機理如(ru)下:首先,氮(dan)(dan)(dan)(dan)分(fen)子(zi)(zi)在熔(rong)(rong)(rong)體(ti)表(biao)面占(zhan)(zhan)據(ju)(ju)空位[式(2-69),吸附(fu)步(bu)(bu)驟(zou)(zou)],然(ran)后氮(dan)(dan)(dan)(dan)氣(qi)(qi)(qi)分(fen)子(zi)(zi)與(yu)相(xiang)鄰的(de)(de)(de)空位反(fan)應而(er)發(fa)生解(jie)(jie)(jie)離(li)(li)(li)[式(2-70),解(jie)(jie)(jie)離(li)(li)(li)步(bu)(bu)驟(zou)(zou)],最終(zhong)解(jie)(jie)(jie)離(li)(li)(li)的(de)(de)(de)氮(dan)(dan)(dan)(dan)原子(zi)(zi)溶解(jie)(jie)(jie)進(jin)入(ru)熔(rong)(rong)(rong)體(ti)中。氧(yang)(yang)(yang)(yang)原子(zi)(zi)和硫(liu)原子(zi)(zi)占(zhan)(zhan)據(ju)(ju)解(jie)(jie)(jie)離(li)(li)(li)步(bu)(bu)驟(zou)(zou)所需(xu)的(de)(de)(de)熔(rong)(rong)(rong)體(ti)表(biao)面空位時(shi),氮(dan)(dan)(dan)(dan)分(fen)子(zi)(zi)的(de)(de)(de)解(jie)(jie)(jie)離(li)(li)(li)步(bu)(bu)驟(zou)(zou)受到限制,熔(rong)(rong)(rong)體(ti)的(de)(de)(de)氣(qi)(qi)(qi)相(xiang)滲(shen)氮(dan)(dan)(dan)(dan)過程將由解(jie)(jie)(jie)離(li)(li)(li)步(bu)(bu)驟(zou)(zou)決定。此外,由于熔(rong)(rong)(rong)體(ti)中的(de)(de)(de)氧(yang)(yang)(yang)(yang)作(zuo)為表(biao)面活性元素(su)的(de)(de)(de)作(zuo)用(yong)比硫(liu)更強,當氧(yang)(yang)(yang)(yang)和硫(liu)濃度相(xiang)近時(shi),氧(yang)(yang)(yang)(yang)相(xiang)比于硫(liu)更容易成為影(ying)響氣(qi)(qi)(qi)相(xiang)滲(shen)氮(dan)(dan)(dan)(dan)反(fan)應速(su)(su)率的(de)(de)(de)主(zhu)要因素(su)。

3. 氣(qi)相(xiang)(xiang)滲氮過程為液(ye)相(xiang)(xiang)側傳(chuan)質控制,從傳(chuan)質速率(lv)的角度考慮
氣相滲氮速率可以表示如下:

式(shi)中(zhong),Cs為(wei)與(yu)氣(qi)(qi)相平(ping)衡的(de)鐵(tie)(tie)液(ye)中(zhong)的(de)氮平(ping)衡濃(nong)(nong)度;C為(wei)t時刻(ke)鐵(tie)(tie)液(ye)中(zhong)的(de)氮濃(nong)(nong)度;Co為(wei)t=0時鐵(tie)(tie)液(ye)中(zhong)的(de)初始氮濃(nong)(nong)度;k為(wei)液(ye)相表觀傳質系數;V為(wei)熔體(ti)的(de)體(ti)積;F為(wei)氣(qi)(qi)相-熔體(ti)界面表面積;t為(wei)滲氮時間。
a. 硫含量(liang)對(dui)氣相滲氮速率的(de)影(ying)響:
在1600℃下,Fe-S系(xi)鐵(tie)液(ye)氣相(xiang)滲(shen)氮(dan)(dan)的(de)增(zeng)(zeng)氮(dan)(dan)過程如圖(tu)2-36所(suo)示(shi)。隨(sui)著鐵(tie)液(ye)中硫(liu)(liu)含(han)量(liang)(liang)的(de)增(zeng)(zeng)加,氣相(xiang)滲(shen)氮(dan)(dan)速率顯著降低。通(tong)過圖(tu)2-37可(ke)(ke)見硫(liu)(liu)含(han)量(liang)(liang)對鐵(tie)液(ye)氣相(xiang)滲(shen)氮(dan)(dan)速率的(de)影響,根據式(2-79)的(de)分析結果,氮(dan)(dan)的(de)液(ye)相(xiang)表(biao)觀(guan)(guan)(guan)傳質(zhi)系(xi)數(shu)(shu)K隨(sui)硫(liu)(liu)含(han)量(liang)(liang)的(de)增(zeng)(zeng)加而(er)變小。氮(dan)(dan)的(de)液(ye)相(xiang)表(biao)觀(guan)(guan)(guan)傳質(zhi)系(xi)數(shu)(shu)與硫(liu)(liu)含(han)量(liang)(liang)的(de)函數(shu)(shu)關系(xi)如圖(tu)2-38所(suo)示(shi),當硫(liu)(liu)含(han)量(liang)(liang)高于0.03%時,氮(dan)(dan)的(de)液(ye)相(xiang)表(biao)觀(guan)(guan)(guan)傳質(zhi)系(xi)數(shu)(shu) kN與成(cheng)反比。因此,當硫(liu)(liu)含(han)量(liang)(liang)在0.03%以上時,Fe-S系(xi)鐵(tie)液(ye)中氮(dan)(dan)的(de)液(ye)相(xiang)表(biao)觀(guan)(guan)(guan)傳質(zhi)速率可(ke)(ke)用(yong)式(2-79)表(biao)示(shi):


b. 氧(yang)含量(liang)對(dui)氣(qi)相滲氮(dan)速率的影響:
與硫相(xiang)(xiang)(xiang)似(si),氧(yang)(yang)(yang)同(tong)(tong)樣對(dui)鐵液(ye)(ye)(ye)(ye)(ye)中的(de)(de)(de)(de)氣相(xiang)(xiang)(xiang)滲(shen)氮(dan)(dan)(dan)(dan)(dan)速率(lv)(lv)(lv)有顯(xian)著(zhu)影響,并且其阻(zu)礙效(xiao)果(guo)比(bi)(bi)硫更強(qiang)。如(ru)(ru)圖(tu)2-39和圖(tu)2-40所(suo)(suo)示,隨著(zhu)鐵液(ye)(ye)(ye)(ye)(ye)中氧(yang)(yang)(yang)含(han)量的(de)(de)(de)(de)增(zeng)加,氮(dan)(dan)(dan)(dan)(dan)的(de)(de)(de)(de)氣相(xiang)(xiang)(xiang)滲(shen)氮(dan)(dan)(dan)(dan)(dan)速率(lv)(lv)(lv)和氮(dan)(dan)(dan)(dan)(dan)的(de)(de)(de)(de)液(ye)(ye)(ye)(ye)(ye)相(xiang)(xiang)(xiang)表(biao)觀傳(chuan)質系(xi)(xi)數(shu)明(ming)顯(xian)降(jiang)低。如(ru)(ru)圖(tu)2-41所(suo)(suo)示,當(dang)Fe-O系(xi)(xi)鐵液(ye)(ye)(ye)(ye)(ye)中氧(yang)(yang)(yang)含(han)量高于(yu)0.02%時,氮(dan)(dan)(dan)(dan)(dan)的(de)(de)(de)(de)液(ye)(ye)(ye)(ye)(ye)相(xiang)(xiang)(xiang)表(biao)觀傳(chuan)質系(xi)(xi)數(shu)值與成反比(bi)(bi),可(ke)見氧(yang)(yang)(yang)對(dui)氮(dan)(dan)(dan)(dan)(dan)的(de)(de)(de)(de)氣相(xiang)(xiang)(xiang)滲(shen)氮(dan)(dan)(dan)(dan)(dan)速率(lv)(lv)(lv)的(de)(de)(de)(de)影響機(ji)理(li)與Fe-S 系(xi)(xi)鐵液(ye)(ye)(ye)(ye)(ye)相(xiang)(xiang)(xiang)同(tong)(tong)。因此,Fe-O系(xi)(xi)鐵液(ye)(ye)(ye)(ye)(ye)中氮(dan)(dan)(dan)(dan)(dan)的(de)(de)(de)(de)液(ye)(ye)(ye)(ye)(ye)相(xiang)(xiang)(xiang)表(biao)觀傳(chuan)質速率(lv)(lv)(lv)由式(shi)(2-80)表(biao)示:


綜上所述,在對以液(ye)(ye)相(xiang)(xiang)側傳質為(wei)控制環節的氣相(xiang)(xiang)滲氮動(dong)力學研究(jiu)中,研究(jiu)人員通過測量不同氧含(han)量和(he)(he)硫含(han)量下鐵液(ye)(ye)中液(ye)(ye)相(xiang)(xiang)表觀(guan)傳質系(xi)(xi)數(shu),分別研究(jiu)了氧和(he)(he)硫對液(ye)(ye)相(xiang)(xiang)表觀(guan)傳質系(xi)(xi)數(shu)的影響,隨著(zhu)氧含(han)量與硫含(han)量的增大,液(ye)(ye)相(xiang)(xiang)表觀(guan)傳質系(xi)(xi)數(shu)減小,氣相(xiang)(xiang)滲氮速率(lv)降低,并且氧的抑制作用更強。關于(yu)氧與硫的共同作用,尚(shang)需進一步研究(jiu)。

