在鑄錠(ding)凝固過程中,增加(jia)壓力(li)(li)能(neng)夠改善鑄型(xing)和鑄錠(ding)的(de)接觸環(huan)境,為了深入(ru)研(yan)究壓力(li)(li)強化(hua)(hua)鑄錠(ding)和鑄型(xing)間換熱(re)的(de)效(xiao)果,在能(neng)量守恒的(de)基礎上(shang),運用(yong)導熱(re)微分方程,建立(li)換熱(re)系(xi)數的(de)反(fan)算(suan)模(mo)型(xing),量化(hua)(hua)壓力(li)(li)對換熱(re)系(xi)數的(de)影響規律。該(gai)模(mo)型(xing)包(bao)含傳熱(re)正(zheng)問題模(mo)型(xing)和傳熱(re)反(fan)問題模(mo)型(xing)。
1.傳熱正(zheng)問題模型(xing)
凝(ning)(ning)固(gu)過程(cheng)中的熱(re)量傳(chuan)輸(shu)是(shi)凝(ning)(ning)固(gu)進行的驅動力(li),直接關系著金屬液相凝(ning)(ning)固(gu)的整個(ge)進程(cheng)。凝(ning)(ning)固(gu)過程(cheng)中,熱(re)量通過金屬液相、已凝(ning)(ning)固(gu)的金屬固(gu)相、鑄錠-鑄型(xing)界面(mian)(氣隙等)和鑄型(xing)的熱(re)阻向環境傳(chuan)輸(shu)。因存在(zai)凝(ning)(ning)固(gu)潛熱(re)的釋放(fang),凝(ning)(ning)固(gu)是(shi)一(yi)個(ge)有熱(re)源的非穩態傳(chuan)熱(re)過程(cheng),基于凝(ning)(ning)固(gu)過程(cheng)熱(re)傳(chuan)導(dao)的能量守恒原理,柱坐標下鑄錠和鑄型(xing)的導(dao)熱(re)分方程(cheng)可表示為:


鋼液釋放凝(ning)固潛熱(re)(re)(re)(re),進(jin)而(er)在體(ti)積單(dan)元內產生內熱(re)(re)(re)(re)源(yuan)(yuan)(yuan)q;在運用(yong)數值(zhi)離散的方法(fa)(fa)(fa)求解(jie)導熱(re)(re)(re)(re)微分方程(cheng)時(shi),凝(ning)固潛熱(re)(re)(re)(re)的處(chu)理(li)方法(fa)(fa)(fa)通常有(you)四(si)種,分別為(wei)(wei)等(deng)效比(bi)(bi)熱(re)(re)(re)(re)法(fa)(fa)(fa)、熱(re)(re)(re)(re)焓(han)法(fa)(fa)(fa)、溫(wen)度(du)回升法(fa)(fa)(fa)以(yi)及源(yuan)(yuan)(yuan)項處(chu)理(li)法(fa)(fa)(fa)。孫(sun)天亮對四(si)種凝(ning)固潛熱(re)(re)(re)(re)的處(chu)理(li)法(fa)(fa)(fa)進(jin)行比(bi)(bi)較發現,源(yuan)(yuan)(yuan)項處(chu)理(li)法(fa)(fa)(fa)最為(wei)(wei)精確(que),其(qi)次是等(deng)效比(bi)(bi)熱(re)(re)(re)(re)法(fa)(fa)(fa),誤差(cha)較大的是溫(wen)度(du)回升法(fa)(fa)(fa)和熱(re)(re)(re)(re)焓(han)法(fa)(fa)(fa);在一(yi)般情況下,為(wei)(wei)了簡化計算和降(jiang)低編程(cheng)難度(du),可(ke)采用(yong)等(deng)效比(bi)(bi)熱(re)(re)(re)(re)法(fa)(fa)(fa)處(chu)理(li)凝(ning)固潛熱(re)(re)(re)(re)。因(yin)此,在非(fei)穩態條件下,內熱(re)(re)(re)(re)源(yuan)(yuan)(yuan)與(yu)凝(ning)固潛熱(re)(re)(re)(re)的關系可(ke)表示為(wei)(wei):
此(ci)外(wai),由于鑄(zhu)(zhu)錠(ding)的(de)(de)凝固收縮和(he)(he)(he)鑄(zhu)(zhu)型(xing)(xing)的(de)(de)受熱(re)膨脹(zhang),鑄(zhu)(zhu)錠(ding)和(he)(he)(he)鑄(zhu)(zhu)型(xing)(xing)接觸(chu)隨之發生變化,當鑄(zhu)(zhu)錠(ding)和(he)(he)(he)鑄(zhu)(zhu)型(xing)(xing)間(jian)氣隙形成以后(hou),鑄(zhu)(zhu)錠(ding)向鑄(zhu)(zhu)型(xing)(xing)的(de)(de)傳(chuan)(chuan)熱(re)方(fang)式(shi)不(bu)(bu)只是簡單的(de)(de)傳(chuan)(chuan)導傳(chuan)(chuan)熱(re),同時存(cun)在小區域的(de)(de)對流(liu)和(he)(he)(he)輻射傳(chuan)(chuan)熱(re),進而加大了計(ji)算(suan)(suan)的(de)(de)復雜(za)性,為了降低計(ji)算(suan)(suan)的(de)(de)復雜(za)性和(he)(he)(he)難度,采用等效界(jie)面換熱(re)系數hi來(lai)替代氣隙形成后(hou)鑄(zhu)(zhu)錠(ding)和(he)(he)(he)鑄(zhu)(zhu)型(xing)(xing)間(jian)復雜(za)的(de)(de)傳(chuan)(chuan)導、對流(liu)和(he)(he)(he)輻射傳(chuan)(chuan)熱(re)過程,在不(bu)(bu)考慮間(jian)隙比熱(re)容的(de)(de)情況(kuang)下,等效界(jie)面換熱(re)系數h;計(ji)算(suan)(suan)方(fang)法(fa)如(ru)下:
2. 傳熱反問題(ti)模(mo)型
與(yu)正問(wen)(wen)題(ti)相對應(ying)的(de)(de)反(fan)(fan)問(wen)(wen)題(ti),即在求解傳熱(re)問(wen)(wen)題(ti)時,以(yi)溫度場(chang)為已知(zhi)(zhi)量,對邊(bian)界條(tiao)件(jian)(jian)或初始條(tiao)件(jian)(jian)進行(xing)計算(suan)的(de)(de)過(guo)程。傳熱(re)反(fan)(fan)問(wen)(wen)題(ti)的(de)(de)研究從20世紀60年(nian)代以(yi)來(lai)得到了空前的(de)(de)進步與(yu)應(ying)用。在鑄(zhu)(zhu)造過(guo)程中,鑄(zhu)(zhu)錠(ding)和鑄(zhu)(zhu)型(xing)(xing)間(jian)邊(bian)界條(tiao)件(jian)(jian)的(de)(de)反(fan)(fan)問(wen)(wen)題(ti)也一直備受關注。通傳熱(re)正問(wen)(wen)題(ti)模型(xing)(xing)可知(zhi)(zhi),在鑄(zhu)(zhu)錠(ding)和鑄(zhu)(zhu)型(xing)(xing)物性參數、初始條(tiao)件(jian)(jian)以(yi)及除鑄(zhu)(zhu)錠(ding)和鑄(zhu)(zhu)型(xing)(xing)間(jian)邊(bian)界條(tiao)件(jian)(jian)以(yi)外(wai),其他邊(bian)界條(tiao)件(jian)(jian)可知(zhi)(zhi)的(de)(de)情(qing)況下。溫度場(chang)可表示(shi)成隨(sui)鑄(zhu)(zhu)錠(ding)和鑄(zhu)(zhu)型(xing)(xing)間(jian)界面換(huan)熱(re)系(xi)數變化的(de)(de)函數,即

利用(yong)傳熱(re)(re)反(fan)問題(ti)模型,運(yun)用(yong)數值離散的(de)(de)(de)方法求解界面換熱(re)(re)系(xi)數的(de)(de)(de)過程(cheng),相當于(yu)依照一定(ding)的(de)(de)(de)方法或者規律選定(ding)界面換熱(re)(re)系(xi)數,并以此(ci)作為(wei)已知邊(bian)界條件,利用(yong)傳熱(re)(re)正問題(ti)計算(suan)出相應(ying)的(de)(de)(de)溫度(du)場,如(ru)果溫度(du)場的(de)(de)(de)計算(suan)值與測量(liang)值之間的(de)(de)(de)偏差最小(xiao),那(nei)么選定(ding)的(de)(de)(de)界面換熱(re)(re)系(xi)數最接近(jin)真實值。為(wei)了(le)度(du)量(liang)溫度(du)場計算(suan)值與測量(liang)值之間的(de)(de)(de)偏差,利用(yong)最小(xiao)二乘法構建以下函數關系(xi)
因此(ci),在給定界(jie)(jie)(jie)(jie)面(mian)換(huan)(huan)(huan)(huan)熱系(xi)數(shu)初始值(zhi)的(de)情(qing)況下,利用式(shi)(2-151)可(ke)對(dui)(dui)界(jie)(jie)(jie)(jie)面(mian)換(huan)(huan)(huan)(huan)熱系(xi)數(shu)h進行迭代(dai)求(qiu)解,每次迭代(dai)均利用傳熱正問題模(mo)(mo)型(xing)對(dui)(dui)熱電偶(ou)測量點的(de)溫(wen)度T(h)進行計算;當(dang)迭代(dai)結果滿足(zu)精度要求(qiu)時,即可(ke)獲得接近界(jie)(jie)(jie)(jie)面(mian)換(huan)(huan)(huan)(huan)熱系(xi)數(shu)真實值(zhi)的(de)h.對(dui)(dui)于一維導熱過程,界(jie)(jie)(jie)(jie)面(mian)換(huan)(huan)(huan)(huan)熱系(xi)數(shu)反算模(mo)(mo)型(xing)求(qiu)解過程中可(ke)用如(ru)圖2-77所示的(de)幾何模(mo)(mo)型(xing),除了鑄錠和鑄型(xing)間邊界(jie)(jie)(jie)(jie)條件(jian)(jian)(jian)以外,模(mo)(mo)型(xing)中還包含(han)兩個邊界(jie)(jie)(jie)(jie)條件(jian)(jian)(jian),分別為鑄錠心部邊界(jie)(jie)(jie)(jie)條件(jian)(jian)(jian)(B1)和外表面(mian)邊界(jie)(jie)(jie)(jie)條件(jian)(jian)(jian)(B2).

3. 正/反傳熱問題的(de)數值求解(jie)方法

數值(zhi)離(li)散(san)方法(fa)主要包含有(you)限(xian)(xian)元(yuan)、有(you)限(xian)(xian)體積(ji)(ji)及有(you)限(xian)(xian)差(cha)分(fen)(fen)(fen)(fen)(fen)法(fa)。有(you)限(xian)(xian)元(yuan)法(fa)的(de)(de)(de)基礎(chu)是(shi)(shi)變(bian)(bian)分(fen)(fen)(fen)(fen)(fen)原理和加(jia)權(quan)余(yu)量(liang)(liang)法(fa),其基本求(qiu)解(jie)(jie)思想是(shi)(shi)把計(ji)算域劃(hua)分(fen)(fen)(fen)(fen)(fen)為(wei)(wei)有(you)限(xian)(xian)個(ge)互不重疊的(de)(de)(de)單元(yuan),在每個(ge)單元(yuan)內,選擇一(yi)(yi)些合適的(de)(de)(de)節點(dian)(dian)作(zuo)為(wei)(wei)求(qiu)解(jie)(jie)函數的(de)(de)(de)插(cha)(cha)值(zhi)點(dian)(dian),將(jiang)微分(fen)(fen)(fen)(fen)(fen)方程中(zhong)的(de)(de)(de)變(bian)(bian)量(liang)(liang)改寫(xie)成(cheng)由各變(bian)(bian)量(liang)(liang)或其導數的(de)(de)(de)節點(dian)(dian)值(zhi)與(yu)所選用(yong)的(de)(de)(de)插(cha)(cha)值(zhi)函數組成(cheng)的(de)(de)(de)線性表達式(shi)(shi)(shi)(shi)(shi),借助變(bian)(bian)分(fen)(fen)(fen)(fen)(fen)原理或加(jia)權(quan)余(yu)量(liang)(liang)法(fa),將(jiang)微分(fen)(fen)(fen)(fen)(fen)方程離(li)散(san)求(qiu)解(jie)(jie)。有(you)限(xian)(xian)體積(ji)(ji)法(fa)的(de)(de)(de)基本思路是(shi)(shi)將(jiang)計(ji)算區域劃(hua)分(fen)(fen)(fen)(fen)(fen)為(wei)(wei)一(yi)(yi)系列不重復的(de)(de)(de)控(kong)(kong)(kong)(kong)制(zhi)體積(ji)(ji),并使(shi)每個(ge)網格(ge)(ge)(ge)點(dian)(dian)周圍有(you)一(yi)(yi)個(ge)控(kong)(kong)(kong)(kong)制(zhi)體積(ji)(ji);將(jiang)待(dai)解(jie)(jie)的(de)(de)(de)微分(fen)(fen)(fen)(fen)(fen)方程對每一(yi)(yi)個(ge)控(kong)(kong)(kong)(kong)制(zhi)體積(ji)(ji)積(ji)(ji)分(fen)(fen)(fen)(fen)(fen),便得出一(yi)(yi)組離(li)散(san)方程。其中(zhong)的(de)(de)(de)未知數是(shi)(shi)網格(ge)(ge)(ge)點(dian)(dian)上因變(bian)(bian)量(liang)(liang)的(de)(de)(de)數值(zhi)。有(you)限(xian)(xian)差(cha)分(fen)(fen)(fen)(fen)(fen)法(fa)是(shi)(shi)將(jiang)求(qiu)解(jie)(jie)域劃(hua)分(fen)(fen)(fen)(fen)(fen)為(wei)(wei)差(cha)分(fen)(fen)(fen)(fen)(fen)網格(ge)(ge)(ge),用(yong)有(you)限(xian)(xian)個(ge)網格(ge)(ge)(ge)節點(dian)(dian)代替(ti)連續的(de)(de)(de)求(qiu)解(jie)(jie)域,以泰勒級數展開等方法(fa),把控(kong)(kong)(kong)(kong)制(zhi)方程中(zhong)的(de)(de)(de)導數用(yong)網格(ge)(ge)(ge)節點(dian)(dian)上函數值(zhi)的(de)(de)(de)差(cha)商代替(ti)進行(xing)離(li)散(san),從而(er)建(jian)立(li)以網格(ge)(ge)(ge)節點(dian)(dian)上的(de)(de)(de)值(zhi)為(wei)(wei)未知數的(de)(de)(de)代數方程組。對于有(you)限(xian)(xian)差(cha)分(fen)(fen)(fen)(fen)(fen)格(ge)(ge)(ge)式(shi)(shi)(shi)(shi)(shi),從格(ge)(ge)(ge)式(shi)(shi)(shi)(shi)(shi)的(de)(de)(de)精度來(lai)劃(hua)分(fen)(fen)(fen)(fen)(fen),有(you)一(yi)(yi)階格(ge)(ge)(ge)式(shi)(shi)(shi)(shi)(shi)、二階格(ge)(ge)(ge)式(shi)(shi)(shi)(shi)(shi)和高階格(ge)(ge)(ge)式(shi)(shi)(shi)(shi)(shi)。從差(cha)分(fen)(fen)(fen)(fen)(fen)的(de)(de)(de)空間形式(shi)(shi)(shi)(shi)(shi)來(lai)考慮,可(ke)分(fen)(fen)(fen)(fen)(fen)為(wei)(wei)中(zhong)心格(ge)(ge)(ge)式(shi)(shi)(shi)(shi)(shi)和逆風格(ge)(ge)(ge)式(shi)(shi)(shi)(shi)(shi)。考慮時(shi)間因子的(de)(de)(de)影響,差(cha)分(fen)(fen)(fen)(fen)(fen)格(ge)(ge)(ge)式(shi)(shi)(shi)(shi)(shi)還可(ke)以分(fen)(fen)(fen)(fen)(fen)為(wei)(wei)顯(xian)格(ge)(ge)(ge)式(shi)(shi)(shi)(shi)(shi)、隱格(ge)(ge)(ge)式(shi)(shi)(shi)(shi)(shi)、顯(xian)隱交替(ti)格(ge)(ge)(ge)式(shi)(shi)(shi)(shi)(shi)等。
以隱式(shi)(shi)有(you)限差分(fen)為(wei)例,對通式(shi)(shi)(2-152)進行數(shu)值(zhi)離散,二(er)階導(dao)數(shu)采用二(er)階中心差商形式(shi)(shi),經整理得(de):


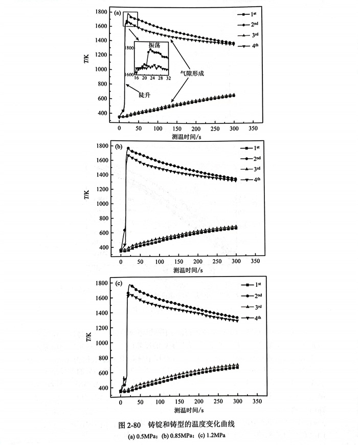
為(wei)(wei)了更好地說明壓(ya)力(li)對界(jie)面換熱(re)系數的影響,以高氮鋼P2000加壓(ya)凝固過(guo)程(cheng)的傳熱(re)現(xian)象為(wei)(wei)例,采(cai)用4根雙(shuang)鉑銠(B型(xing))熱(re)電偶,通(tong)過(guo)埋(mai)設熱(re)電偶測溫實驗測量(liang)凝固過(guo)程(cheng)鑄(zhu)錠和(he)(he)鑄(zhu)型(xing)溫度變化曲線,采(cai)用兩(liang)個位(wei)移(yi)傳感器測量(liang)凝固過(guo)程(cheng)中鑄(zhu)型(xing)和(he)(he)鑄(zhu)錠的位(wei)移(yi)變化情況,獲得凝固過(guo)程(cheng)中鑄(zhu)錠和(he)(he)鑄(zhu)型(xing)界(jie)面氣隙演變規(gui)律,測量(liang)裝置示(shi)意圖(tu)(tu)和(he)(he)實物圖(tu)(tu)如圖(tu)(tu)2-79所示(shi)。

澆(jiao)(jiao)注結(jie)束后,在(zai)0.5MPa、0.85MPa和(he)1.2MPa下(xia)的(de)(de)(de)(de)(de)(de)鋼液(ye)凝固(gu)(gu)過程中(zhong),鑄錠和(he)鑄型(xing)溫(wen)度(du)(du)(du)變(bian)化(hua)(hua)曲(qu)(qu)線(xian)(xian)(xian)的(de)(de)(de)(de)(de)(de)測(ce)(ce)量(liang)結(jie)果如圖2-80所示,溫(wen)度(du)(du)(du)變(bian)化(hua)(hua)曲(qu)(qu)線(xian)(xian)(xian)測(ce)(ce)量(liang)的(de)(de)(de)(de)(de)(de)時間(jian)區間(jian)為(wei)(wei)澆(jiao)(jiao)注結(jie)束后的(de)(de)(de)(de)(de)(de)300s以內,且鑄錠和(he)鑄型(xing)在(zai)不(bu)同(tong)壓力下(xia)的(de)(de)(de)(de)(de)(de)溫(wen)度(du)(du)(du)變(bian)化(hua)(hua)趨勢基本(ben)一致(zhi)。以0.5MPa下(xia)的(de)(de)(de)(de)(de)(de)溫(wen)度(du)(du)(du)變(bian)化(hua)(hua)曲(qu)(qu)線(xian)(xian)(xian)為(wei)(wei)例,如圖2-80(a)所示,在(zai)初(chu)始階段(duan),2nd和(he)4h曲(qu)(qu)線(xian)(xian)(xian)上(shang)溫(wen)度(du)(du)(du)均存(cun)在(zai)陡升和(he)振(zhen)蕩階段(duan),這主(zhu)要(yao)是(shi)(shi)在(zai)測(ce)(ce)溫(wen)初(chu)期,熱(re)電(dian)偶與鋼液(ye)接觸后的(de)(de)(de)(de)(de)(de)自身預(yu)熱(re),以及澆(jiao)(jiao)注引起鋼液(ye)的(de)(de)(de)(de)(de)(de)湍流所致(zhi)[104];隨著鋼液(ye)凝固(gu)(gu)的(de)(de)(de)(de)(de)(de)進(jin)行,由于(yu)(yu)鑄錠不(bu)斷向鑄型(xing)傳熱(re),致(zhi)使鑄錠的(de)(de)(de)(de)(de)(de)溫(wen)度(du)(du)(du)(2nd和(he)4h)逐漸減(jian)小,而鑄型(xing)的(de)(de)(de)(de)(de)(de)溫(wen)度(du)(du)(du)(1st和(he)3rd)隨之增加。此外,測(ce)(ce)溫(wen)位置相近的(de)(de)(de)(de)(de)(de)3rd和(he)4th曲(qu)(qu)線(xian)(xian)(xian)之間(jian)存(cun)在(zai)較大的(de)(de)(de)(de)(de)(de)溫(wen)差(cha),這主(zhu)要(yao)是(shi)(shi)由于(yu)(yu)鑄錠和(he)鑄型(xing)間(jian)氣隙形成(cheng)后產生的(de)(de)(de)(de)(de)(de)巨大熱(re)阻(zu)Rair-cap(=1/hi),其中(zhong)h為(wei)(wei)鑄錠和(he)鑄型(xing)間(jian)的(de)(de)(de)(de)(de)(de)換(huan)熱(re)系數。

不(bu)同壓力下鑄(zhu)(zhu)型溫度的(de)(de)(de)(de)增(zeng)長速率(15t和(he)(he)(he)3rd)和(he)(he)(he)鑄(zhu)(zhu)錠(ding)的(de)(de)(de)(de)冷(leng)卻(que)速率(2d和(he)(he)(he)4h)如圖2-81所示,當(dang)壓力從0.5MPa增(zeng)加(jia)(jia)(jia)至1.2MPa時(shi),鑄(zhu)(zhu)錠(ding)內(nei)2md和(he)(he)(he)4h熱(re)電偶(ou)測溫點冷(leng)卻(que)速率的(de)(de)(de)(de)增(zeng)量(liang)(liang)分別為(wei)0.335K/s和(he)(he)(he)0.605K/s.與此同時(shi),在澆注(zhu)結束后(hou)300s時(shi),鑄(zhu)(zhu)錠(ding)內(nei)2d和(he)(he)(he)4h測溫位置之間的(de)(de)(de)(de)平均溫度梯度從4.0K/mm增(zeng)加(jia)(jia)(jia)到了8.6K/mm.由(you)導(dao)熱(re)的(de)(de)(de)(de)傅里葉定(ding)律(lv)(Qingor=αGr,α為(wei)19Cr14Mn0.9N鑄(zhu)(zhu)錠(ding)的(de)(de)(de)(de)導(dao)熱(re)系數(shu),Qingot為(wei)熱(re)通(tong)(tong)量(liang)(liang))可(ke)知,隨著壓力的(de)(de)(de)(de)增(zeng)加(jia)(jia)(jia),鑄(zhu)(zhu)錠(ding)內(nei)沿度梯度方向上(shang)的(de)(de)(de)(de)熱(re)通(tong)(tong)量(liang)(liang)增(zeng)大。此外(wai),根(gen)據能量(liang)(liang)守恒(heng)定(ding)律(lv)(即Q=Qingot,Q為(wei)鑄(zhu)(zhu)錠(ding)和(he)(he)(he)鑄(zhu)(zhu)型間的(de)(de)(de)(de)熱(re)通(tong)(tong)量(liang)(liang)),鑄(zhu)(zhu)錠(ding)和(he)(he)(he)鑄(zhu)(zhu)型間的(de)(de)(de)(de)熱(re)通(tong)(tong)量(liang)(liang)也隨之增(zeng)加(jia)(jia)(jia)。因此,增(zeng)加(jia)(jia)(jia)壓力能夠(gou)顯(xian)著加(jia)(jia)(jia)快(kuai)鑄(zhu)(zhu)錠(ding)的(de)(de)(de)(de)冷(leng)卻(que)以(yi)及強化(hua)鑄(zhu)(zhu)錠(ding)和(he)(he)(he)鑄(zhu)(zhu)型間的(de)(de)(de)(de)換熱(re)。

在0.5MPa、0.85MPa和(he)(he)(he)1.2MPa壓力(li)下的(de)(de)鋼(gang)液凝(ning)(ning)固過程中,鑄(zhu)(zhu)錠(ding)和(he)(he)(he)鑄(zhu)(zhu)型的(de)(de)溫度測量值(zhi)作為輸(shu)入值(zhi)(圖(tu)2-80),運用驗(yan)證后的(de)(de)反(fan)算(suan)模型,對鑄(zhu)(zhu)錠(ding)和(he)(he)(he)鑄(zhu)(zhu)型間(jian)界面換熱(re)(re)系(xi)數隨時間(jian)的(de)(de)變(bian)化(hua)規(gui)律進行反(fan)算(suan),反(fan)算(suan)過程中時間(jian)步長Δt取值(zhi)為0.75s,空間(jian)步長Δr取值(zhi)為1mm,常數β和(he)(he)(he)8分別為10-10和(he)(he)(he)200.換熱(re)(re)系(xi)數的(de)(de)反(fan)算(suan)結(jie)果(guo)分別為hos、ho85和(he)(he)(he)h2,隨時間(jian)的(de)(de)變(bian)化(hua)規(gui)律如圖(tu)2-82所示,由于Δt和(he)(he)(he)8乘(cheng)積為150s,結(jie)合Beck非(fei)線性估算(suan)法本身(shen)的(de)(de)特點,只(zhi)能反(fan)算(suan)出凝(ning)(ning)固前(qian)期150s內hos、ho.85和(he)(he)(he)h2隨時間(jian)的(de)(de)變(bian)化(hua)規(gui)律。此外(wai),因熱(re)(re)電偶本身(shen)的(de)(de)預熱(re)(re)以(yi)及澆(jiao)注引起鋼(gang)液的(de)(de)湍(tuan)流,導致2nd和(he)(he)(he)4th熱(re)(re)電偶的(de)(de)在前(qian)30s內存在較大(da)的(de)(de)波(bo)動,因此反(fan)算(suan)出的(de)(de)界面換熱(re)(re)系(xi)數在前(qian)期存在一定的(de)(de)波(bo)動,其中h2最大(da),其次是(shi)ho.85,ho5最小。


擬合后的(de)參數(shu)Adj.R-Square分別為0.9558、0.9716和(he)0.9692,說(shuo)明擬合度高,反算結果(guo)和(he)經驗公式相符。通過對比不同(tong)壓(ya)力下反算出(chu)的(de)界面(mian)(mian)換(huan)(huan)熱(re)系數(shu)可(ke)知,隨著壓(ya)力的(de)增加,界面(mian)(mian)換(huan)(huan)熱(re)系數(shu)增大,鑄錠(ding)和(he)鑄型(xing)間界面(mian)(mian)換(huan)(huan)熱(re)條件(jian)得到(dao)明顯改善,充(chong)分說(shuo)明壓(ya)力在19Cr14Mn0.9N含氮鋼的(de)凝固(gu)過程(cheng)中(zhong),起到(dao)了十(shi)分顯著的(de)強化冷卻作用。
眾所周知,在某一時刻下,界面(mian)換熱系(xi)(xi)數(shu)與壓(ya)力(li)呈(cheng)現多項式(shi)關(guan)系(xi)(xi)。為了獲得19Cr14Mn0.9N 含氮鋼界面(mian)換熱系(xi)(xi)數(shu)與壓(ya)力(li)之(zhi)間(jian)的關(guan)系(xi)(xi),可(ke)采用多項式(shi)擬(ni)合(he)的方式(shi)對(dui)界面(mian)換熱系(xi)(xi)數(shu)與壓(ya)力(li)關(guan)系(xi)(xi)進行擬(ni)合(he),擬(ni)合(he)關(guan)系(xi)(xi)式(shi)為

