壓(ya)力(li)(li)對鑄錠(ding)的(de)凝(ning)固(gu)相(xiang)(xiang)變(bian)和(he)(he)組(zu)織有(you)十分重要的(de)影響,如(ru)壓(ya)力(li)(li)能(neng)提高晶粒形核速率,減小臨界形核半徑,增大(da)冷(leng)卻(que)速率,細化枝晶組(zu)織,減輕或消除凝(ning)固(gu)缺陷(疏(shu)松(song)、縮孔、氣孔和(he)(he)偏(pian)析(xi))以及改(gai)變(bian)析(xi)出相(xiang)(xiang)形貌和(he)(he)類型等(deng)。由于鋼鐵(tie)材料固(gu)/液相(xiang)(xiang)線溫度較(jiao)高,加壓(ya)難度相(xiang)(xiang)對較(jiao)大(da),不過,較(jiao)低壓(ya)力(li)(li)依(yi)然(ran)具有(you)改(gai)善(shan)鑄型和(he)(he)鑄錠(ding)間換熱條(tiao)件、打(da)破液相(xiang)(xiang)中氮氣泡等(deng)壓(ya)力(li)(li)平衡(heng)的(de)能(neng)力(li)(li),進(jin)而達到改(gai)善(shan)鋼鐵(tie)凝(ning)固(gu)組(zu)織,減輕或消除凝(ning)固(gu)缺陷等(deng)目的(de)。
一、枝晶組織(zhi)
枝晶組(zu)織的(de)(de)出(chu)現和生(sheng)長與液(ye)相中(zhong)的(de)(de)成(cheng)分(fen)(fen)(fen)過(guo)冷密不可分(fen)(fen)(fen),當凝(ning)固(gu)(gu)界(jie)(jie)面出(chu)現擾動(dong)導(dao)致(zhi)液(ye)相出(chu)現局部(bu)成(cheng)分(fen)(fen)(fen)過(guo)冷時,液(ye)相中(zhong)就具備了(le)促使(shi)(shi)界(jie)(jie)面發生(sheng)波動(dong)的(de)(de)驅動(dong)力,進一(yi)步增大了(le)凝(ning)固(gu)(gu)界(jie)(jie)面的(de)(de)不穩定性,從而使(shi)(shi)凝(ning)固(gu)(gu)界(jie)(jie)面從平(ping)面狀(zhuang)向樹枝狀(zhuang)轉變,形成(cheng)枝晶組(zu)織,液(ye)相中(zhong)成(cheng)分(fen)(fen)(fen)過(guo)冷的(de)(de)判(pan)據為
式中(zhong),GrL為(wei)(wei)(wei)(wei)液相(xiang)(xiang)溫度梯(ti)度;v為(wei)(wei)(wei)(wei)凝(ning)(ning)固(gu)(gu)(gu)速率;m為(wei)(wei)(wei)(wei)液相(xiang)(xiang)線斜率;CL為(wei)(wei)(wei)(wei)凝(ning)(ning)固(gu)(gu)(gu)界面處液相(xiang)(xiang)中(zhong)溶(rong)質(zhi)(zhi)(zhi)的(de)(de)(de)(de)質(zhi)(zhi)(zhi)量分(fen)數(shu);DL為(wei)(wei)(wei)(wei)液相(xiang)(xiang)中(zhong)溶(rong)質(zhi)(zhi)(zhi)的(de)(de)(de)(de)擴散(san)系數(shu);ko為(wei)(wei)(wei)(wei)溶(rong)質(zhi)(zhi)(zhi)分(fen)配(pei)系數(shu)。在不考慮壓(ya)(ya)(ya)(ya)力(li)強化冷卻(即(ji)GrL保持恒定)情況(kuang)下,壓(ya)(ya)(ya)(ya)力(li)可通(tong)過改變液相(xiang)(xiang)線斜率、擴散(san)系數(shu)和(he)溶(rong)質(zhi)(zhi)(zhi)分(fen)配(pei)系數(shu)等凝(ning)(ning)固(gu)(gu)(gu)參數(shu),改變枝(zhi)(zhi)晶(jing)(jing)(jing)形(xing)貌甚(shen)至凝(ning)(ning)固(gu)(gu)(gu)組(zu)(zu)織(zhi)(zhi)的(de)(de)(de)(de)組(zu)(zu)成。Zhang等對比了(le)(le)高錳(meng)鋼(Fe-13Mn-1.2C)在常壓(ya)(ya)(ya)(ya)和(he)6GPa下的(de)(de)(de)(de)凝(ning)(ning)固(gu)(gu)(gu)組(zu)(zu)織(zhi)(zhi)。發現高錳(meng)鋼高壓(ya)(ya)(ya)(ya)下的(de)(de)(de)(de)凝(ning)(ning)固(gu)(gu)(gu)組(zu)(zu)織(zhi)(zhi)包含細小等軸晶(jing)(jing)(jing)和(he)柱狀晶(jing)(jing)(jing),與(yu)常壓(ya)(ya)(ya)(ya)下的(de)(de)(de)(de)凝(ning)(ning)固(gu)(gu)(gu)組(zu)(zu)織(zhi)(zhi)截然不同(tong)(圖(tu)2-107).晶(jing)(jing)(jing)粒尺(chi)寸統計結果表(biao)明,高錳(meng)鋼在常壓(ya)(ya)(ya)(ya)下的(de)(de)(de)(de)晶(jing)(jing)(jing)粒尺(chi)寸為(wei)(wei)(wei)(wei)(160±45)μm,6GPa下為(wei)(wei)(wei)(wei)(7.5±2.5)μm,壓(ya)(ya)(ya)(ya)力(li)細化晶(jing)(jing)(jing)粒可達21倍之(zhi)多(duo)(duo),主要歸因(yin)于(yu)增加凝(ning)(ning)固(gu)(gu)(gu)壓(ya)(ya)(ya)(ya)力(li)降低了(le)(le)液相(xiang)(xiang)中(zhong)溶(rong)質(zhi)(zhi)(zhi)擴散(san)系數(shu)以及增大了(le)(le)擴散(san)激活能,進(jin)而(er)(er)增大了(le)(le)液相(xiang)(xiang)成分(fen)過冷度,在抑(yi)制(zhi)枝(zhi)(zhi)晶(jing)(jing)(jing)生長(chang)的(de)(de)(de)(de)同(tong)時增大了(le)(le)形(xing)核率[129,153],從而(er)(er)使(shi)得(de)高錳(meng)鋼凝(ning)(ning)固(gu)(gu)(gu)組(zu)(zu)織(zhi)(zhi)逐(zhu)步(bu)向枝(zhi)(zhi)晶(jing)(jing)(jing)組(zu)(zu)織(zhi)(zhi)轉(zhuan)變,且細化十分(fen)顯著。Kashchiev和(he)Vasudevan等的(de)(de)(de)(de)研(yan)究表(biao)明。在凝(ning)(ning)固(gu)(gu)(gu)過程中(zhong),當固(gu)(gu)(gu)相(xiang)(xiang)摩爾(er)體(ti)積(ji)小于(yu)液相(xiang)(xiang)摩爾(er)體(ti)積(ji)時,加壓(ya)(ya)(ya)(ya)有助于(yu)提(ti)高形(xing)核率,起(qi)到(dao)細化凝(ning)(ning)固(gu)(gu)(gu)組(zu)(zu)織(zhi)(zhi)的(de)(de)(de)(de)作用,大多(duo)(duo)數(shu)金屬(shu)合(he)金屬(shu)于(yu)此類(lei);反之(zhi),加壓(ya)(ya)(ya)(ya)將抑(yi)制(zhi)晶(jing)(jing)(jing)粒的(de)(de)(de)(de)形(xing)核,如(ru)水(shui)凝(ning)(ning)固(gu)(gu)(gu)成冰(bing)。此外,壓(ya)(ya)(ya)(ya)力(li)還(huan)能夠抑(yi)制(zhi)枝(zhi)(zhi)晶(jing)(jing)(jing)沿壓(ya)(ya)(ya)(ya)力(li)梯(ti)度方(fang)向的(de)(de)(de)(de)生長(chang),從而(er)(er)導致枝(zhi)(zhi)晶(jing)(jing)(jing)組(zu)(zu)織(zhi)(zhi)和(he)微觀偏析呈現方(fang)向性(xing)。

為了準確地論述壓(ya)力對凝(ning)固(gu)組(zu)織(zhi)的(de)影(ying)響規律,本節將以19Cr14Mn0.9N含氮鋼(gang)和(he)M42工(gong)具鋼(gang)加壓(ya)凝(ning)固(gu)組(zu)織(zhi)為例,詳(xiang)細分析壓(ya)力對枝晶組(zu)織(zhi)、析出相等的(de)影(ying)響。
1. 柱狀晶向等軸晶轉變(bian)(CET)
鑄錠(ding)(ding)的(de)(de)(de)宏(hong)觀組織(zhi)(zhi)主要由(you)晶(jing)粒的(de)(de)(de)形(xing)貌(mao)、尺寸以及(ji)取向分(fen)布等構成(cheng),在(zai)合金成(cheng)分(fen)一定的(de)(de)(de)情況下,它主要取決(jue)于鋼(gang)液在(zai)凝(ning)(ning)(ning)固過程(cheng)(cheng)中(zhong)的(de)(de)(de)冷(leng)卻(que)條件(包括(kuo)澆注(zhu)溫度(du)和鑄型的(de)(de)(de)冷(leng)卻(que)效果等。鑄錠(ding)(ding)的(de)(de)(de)典型宏(hong)觀組織(zhi)(zhi)可分(fen)為三(san)個區(qu)(qu):表(biao)層細(xi)(xi)(xi)晶(jing)區(qu)(qu)、柱(zhu)狀(zhuang)(zhuang)(zhuang)晶(jing)區(qu)(qu)以及(ji)中(zhong)心(xin)等軸晶(jing)區(qu)(qu)。表(biao)層的(de)(de)(de)細(xi)(xi)(xi)晶(jing)區(qu)(qu)是由(you)于鋼(gang)液在(zai)鑄型的(de)(de)(de)激冷(leng)作用下,具有(you)(you)較(jiao)大的(de)(de)(de)過冷(leng)度(du),進而(er)在(zai)鑄型壁面以異(yi)質形(xing)核(he)的(de)(de)(de)方(fang)式大量形(xing)核(he)并長(chang)大,最后形(xing)成(cheng)細(xi)(xi)(xi)小的(de)(de)(de)等軸晶(jing)區(qu)(qu),即(ji)表(biao)層細(xi)(xi)(xi)晶(jing)區(qu)(qu)。隨著凝(ning)(ning)(ning)固的(de)(de)(de)進行,表(biao)層細(xi)(xi)(xi)晶(jing)區(qu)(qu)逐步形(xing)成(cheng)金屬外殼,使得傳(chuan)熱(re)(re)具備(bei)單(dan)向性,有(you)(you)助于晶(jing)粒沿(yan)傳(chuan)熱(re)(re)方(fang)向生(sheng)長(chang),呈(cheng)現出(chu)方(fang)向性,從而(er)形(xing)成(cheng)柱(zhu)狀(zhuang)(zhuang)(zhuang)晶(jing)區(qu)(qu),也導(dao)致了(le)表(biao)層細(xi)(xi)(xi)晶(jing)區(qu)(qu)的(de)(de)(de)區(qu)(qu)域窄小,厚度(du)通常為幾毫米。在(zai)后續(xu)的(de)(de)(de)凝(ning)(ning)(ning)固過程(cheng)(cheng)中(zhong),伴隨著凝(ning)(ning)(ning)固潛熱(re)(re)的(de)(de)(de)釋(shi)放(fang),凝(ning)(ning)(ning)固前沿(yan)溫度(du)梯度(du)減(jian)小,傳(chuan)熱(re)(re)的(de)(de)(de)單(dan)向性減(jian)弱(ruo),成(cheng)分(fen)過冷(leng)度(du)增大,進而(er)使得晶(jing)粒生(sheng)長(chang)的(de)(de)(de)方(fang)向性減(jian)弱(ruo),抑制了(le)柱(zhu)狀(zhuang)(zhuang)(zhuang)晶(jing)的(de)(de)(de)生(sheng)長(chang),同時(shi)也促(cu)進了(le)鑄錠(ding)(ding)心(xin)部異(yi)質形(xing)核(he)的(de)(de)(de)發生(sheng),從而(er)有(you)(you)助于柱(zhu)狀(zhuang)(zhuang)(zhuang)晶(jing)向等軸晶(jing)轉變(bian),最終形(xing)成(cheng)中(zhong)心(xin)等軸晶(jing)區(qu)(qu)。
因(yin)此,鑄錠(ding)有兩(liang)類枝(zhi)晶(jing)(jing)(jing)(jing)(jing)(jing)組織(zhi),即等(deng)軸(zhou)(zhou)(zhou)(zhou)(zhou)(zhou)晶(jing)(jing)(jing)(jing)(jing)(jing)和柱(zhu)狀(zhuang)晶(jing)(jing)(jing)(jing)(jing)(jing),通常采用枝(zhi)晶(jing)(jing)(jing)(jing)(jing)(jing)間距(ju)和CET位(wei)置(zhi)對其進(jin)行表征。圖(tu)2-108(a)給出了(le)(le)(le)凝固壓(ya)力(li)(li)(li)分別為(wei)0.5MPa、0.85MPa和1.2MPa的(de)(de)(de)19Cr14Mn0.9N含氮(dan)鋼鑄錠(ding)縱剖面上(shang)的(de)(de)(de)宏(hong)觀(guan)組織(zhi);CET位(wei)置(zhi)到(dao)鑄錠(ding)邊部(bu)距(ju)離(li)的(de)(de)(de)統(tong)計(ji)平均值分別為(wei)19.8mm、22.1mm和27.4mm,增量可達7.6mm,如(ru)圖(tu)2-108(b)所示(shi)。統(tong)計(ji)結果表明(ming),隨著(zhu)壓(ya)力(li)(li)(li)的(de)(de)(de)增大(da)(da),CET 位(wei)置(zhi)逐(zhu)漸(jian)由邊部(bu)向(xiang)心(xin)部(bu)移動,柱(zhu)狀(zhuang)晶(jing)(jing)(jing)(jing)(jing)(jing)區區域增大(da)(da),中(zhong)心(xin)等(deng)軸(zhou)(zhou)(zhou)(zhou)(zhou)(zhou)晶(jing)(jing)(jing)(jing)(jing)(jing)區區域減小。根據(ju)柱(zhu)狀(zhuang)晶(jing)(jing)(jing)(jing)(jing)(jing)向(xiang)等(deng)軸(zhou)(zhou)(zhou)(zhou)(zhou)(zhou)晶(jing)(jing)(jing)(jing)(jing)(jing)轉變的(de)(de)(de)阻(zu)擋(dang)判據(ju)可知(zhi)[156],當(dang)(dang)柱(zhu)狀(zhuang)晶(jing)(jing)(jing)(jing)(jing)(jing)枝(zhi)晶(jing)(jing)(jing)(jing)(jing)(jing)尖(jian)端(duan)處等(deng)軸(zhou)(zhou)(zhou)(zhou)(zhou)(zhou)晶(jing)(jing)(jing)(jing)(jing)(jing)體(ti)積分數大(da)(da)于(yu)臨(lin)界值時(shi)(shi)(shi),柱(zhu)狀(zhuang)晶(jing)(jing)(jing)(jing)(jing)(jing)尖(jian)端(duan)生(sheng)長受到(dao)抑(yi)制而停止,此時(shi)(shi)(shi)發(fa)生(sheng)柱(zhu)狀(zhuang)晶(jing)(jing)(jing)(jing)(jing)(jing)區向(xiang)中(zhong)心(xin)等(deng)軸(zhou)(zhou)(zhou)(zhou)(zhou)(zhou)晶(jing)(jing)(jing)(jing)(jing)(jing)區轉變。因(yin)此,CET轉變很大(da)(da)程度上(shang)取決于(yu)中(zhong)心(xin)等(deng)軸(zhou)(zhou)(zhou)(zhou)(zhou)(zhou)晶(jing)(jing)(jing)(jing)(jing)(jing)的(de)(de)(de)形(xing)核和長大(da)(da)。由于(yu)壓(ya)力(li)(li)(li)強化冷(leng)(leng)卻效果十分明(ming)顯,增加(jia)(jia)壓(ya)力(li)(li)(li)加(jia)(jia)快了(le)(le)(le)鑄錠(ding)的(de)(de)(de)冷(leng)(leng)卻,增大(da)(da)了(le)(le)(le)鑄錠(ding)的(de)(de)(de)溫度梯(ti)度,從而降(jiang)低(di)了(le)(le)(le)枝(zhi)晶(jing)(jing)(jing)(jing)(jing)(jing)前沿(yan)的(de)(de)(de)成分過(guo)冷(leng)(leng)度,此時(shi)(shi)(shi),等(deng)軸(zhou)(zhou)(zhou)(zhou)(zhou)(zhou)晶(jing)(jing)(jing)(jing)(jing)(jing)在柱(zhu)狀(zhuang)晶(jing)(jing)(jing)(jing)(jing)(jing)枝(zhi)晶(jing)(jing)(jing)(jing)(jing)(jing)尖(jian)端(duan)的(de)(de)(de)形(xing)核和長大(da)(da)就會受到(dao)嚴重(zhong)阻(zu)礙和抑(yi)制;反之,降(jiang)低(di)壓(ya)力(li)(li)(li),有助于(yu)等(deng)軸(zhou)(zhou)(zhou)(zhou)(zhou)(zhou)晶(jing)(jing)(jing)(jing)(jing)(jing)在柱(zhu)狀(zhuang)晶(jing)(jing)(jing)(jing)(jing)(jing)枝(zhi)晶(jing)(jing)(jing)(jing)(jing)(jing)尖(jian)端(duan)處的(de)(de)(de)形(xing)核和長大(da)(da),從而提前并加(jia)(jia)快了(le)(le)(le)CET.因(yin)此,當(dang)(dang)壓(ya)力(li)(li)(li)從0.5MPa增加(jia)(jia)到(dao)1.2MPa時(shi)(shi)(shi),壓(ya)力(li)(li)(li)通過(guo)強化冷(leng)(leng)卻擴(kuo)大(da)(da)了(le)(le)(le)柱(zhu)狀(zhuang)晶(jing)(jing)(jing)(jing)(jing)(jing)區,促(cu)使(shi)CET轉變位(wei)置(zhi)在徑向(xiang)上(shang)逐(zhu)漸(jian)由邊部(bu)向(xiang)心(xin)部(bu)移動。此外(wai),在0.5MPa、0.85MPa和1.2MPa下,19Cr14Mn0.9N含氮(dan)鋼鑄錠(ding)縱剖面的(de)(de)(de)宏(hong)觀(guan)組織(zhi)中(zhong)均存在較窄的(de)(de)(de)表層細晶(jing)(jing)(jing)(jing)(jing)(jing)區。
為了進一步研(yan)究壓力(li)對(dui)CET的影響規律(lv),在不考慮壓力(li)強化冷卻效(xiao)果的前提下(xia),對(dui)枝晶尖端生(sheng)長速率v.隨壓力(li)的變化規律(lv)進行理論計(ji)算,可采(cai)用(yong)KGT模(mo)型,,即


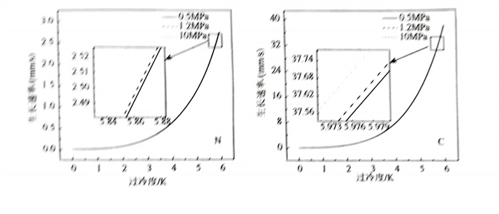
基于2.3.2節分析所得ko和D等相關參數隨壓力的變化規律,結合式(2-188)和式(2-189)可得出不同過冷度下壓力對枝晶尖端生長速率的影響規律。對于19Cr14Mn0.9N 含氮鋼體系,當枝晶尖端的成分過冷度由某一元素偏聚造成時,壓力對枝晶尖端生長速率影響規律如圖2-109所示;當枝晶尖端的過冷度分別由錳和鉬造成時,增加壓力降低了枝晶尖端生長速率;當枝晶尖端的過冷度分別由鉻、碳和氮造成時,增加壓力會增大枝晶尖端生長速率。此外,隨著過冷度的增加,壓力對枝晶尖端生長速率的影響隨之增大;對比0.5MPa和10MPa下的枝晶生長尖端速率可知,枝晶尖端生長速率因壓力改變的變化量可達0.1mm/s,并且壓力越大,枝晶尖端生長速率的變化量越大;因而在高壓下,不考慮壓力強化冷卻效果時,壓力對枝晶尖端生長速率的影響也較大,進而影響CET位置。然而,當壓力從0.5MPa增加至1.2MPa,且不考慮壓力強化冷卻效果時,壓力對枝晶尖端的生長速率的影響較小,可以忽略不計。


綜上所述(shu),凝(ning)固壓力(li)(li)的增(zeng)加會對(dui)枝晶尖(jian)端生長(chang)速率產生重要影(ying)響,且壓力(li)(li)的增(zeng)量越(yue)(yue)大,影(ying)響越(yue)(yue)明顯。結合實驗(yan)和(he)KGT模型理論計算可知(zhi),低壓下,當(dang)凝(ning)固壓力(li)(li)從0.5MPa 增(zeng)加至1.2MPa時,壓力(li)(li)主要通過強化冷卻(que)的方式,使得鑄錠(ding)CET位置逐(zhu)漸由邊(bian)部(bu)向(xiang)心部(bu)移動(dong)。
2. 枝晶間距
相鄰同(tong)次(ci)枝(zhi)晶(jing)臂之間的(de)垂直距(ju)離稱為(wei)枝(zhi)晶(jing)間距(ju),枝(zhi)晶(jing)間距(ju)的(de)大(da)小(xiao)表(biao)征了枝(zhi)晶(jing)組織(zhi)細(xi)化程度(du),枝(zhi)晶(jing)間距(ju)越小(xiao),枝(zhi)晶(jing)組織(zhi)越細(xi)密[162],通常(chang)考慮的(de)枝(zhi)晶(jing)間距(ju)有一次(ci)枝(zhi)晶(jing)間距(ju)入1和(he)二次(ci)枝(zhi)晶(jing)間距(ju)λ2.一次(ci)枝(zhi)晶(jing)間距(ju)與凝固速(su)率v和(he)溫度(du)梯(ti)度(du)Gr的(de)關(guan)系為(wei)

由式(shi)(2-191)可知,合(he)金體(ti)系一定(ding)時(shi)(shi),分(fen)(fen)析局部(bu)(bu)(bu)區(qu)(qu)域冷(leng)卻(que)(que)速(su)率v.和溫度(du)梯度(du)Gr隨壓力(li)(li)的(de)變化趨勢(shi),有(you)助于闡(chan)明壓力(li)(li)對一次枝晶(jing)(jing)(jing)間距λ1的(de)影響規律。因局部(bu)(bu)(bu)區(qu)(qu)域冷(leng)卻(que)(que)速(su)率vc和溫度(du)梯度(du)Gr的(de)測量難度(du)較大,可用模擬計算的(de)方式(shi)獲得。在不同凝(ning)固(gu)壓力(li)(li)下(xia)(xia)的(de)組織模擬過(guo)程(cheng)中,不考慮疏松(song)縮孔對晶(jing)(jing)(jing)區(qu)(qu)分(fen)(fen)布(bu)的(de)影響,模擬結果(guo)如圖2-110所示。為(wei)(wei)了更準確地(di)找到CET位置,使用平(ping)均(jun)縱橫(heng)比(晶(jing)(jing)(jing)粒最短邊與最長邊的(de)比率)來區(qu)(qu)分(fen)(fen)柱狀晶(jing)(jing)(jing)和等軸(zhou)晶(jing)(jing)(jing):當晶(jing)(jing)(jing)粒的(de)縱橫(heng)比大于0.4時(shi)(shi),晶(jing)(jing)(jing)粒為(wei)(wei)等軸(zhou)晶(jing)(jing)(jing);當晶(jing)(jing)(jing)粒的(de)縱橫(heng)比小于0.4時(shi)(shi),則為(wei)(wei)柱狀晶(jing)(jing)(jing)。根據阻擋判(pan)據,等軸(zhou)晶(jing)(jing)(jing)體(ti)積(ji)分(fen)(fen)數的(de)臨界(jie)值(zhi)設定(ding)為(wei)(wei)0.49,以此作為(wei)(wei)依據,19Cr14Mn0.9N含氮鋼在0.5MPa、0.85MPa 和1.2MPa 壓力(li)(li)下(xia)(xia),CET 位置在徑向上(shang)離(li)鑄錠邊部(bu)(bu)(bu)的(de)平(ping)均(jun)距離(li)分(fen)(fen)別(bie)為(wei)(wei)18.1mm、19.8mm和25.3mm.

19Cr14Mn0.9N 含氮(dan)鋼鑄(zhu)(zhu)錠(ding)(ding)底部溫(wen)度梯度 Gr和(he)冷卻速率v.隨(sui)壓(ya)力(li)(li)的(de)變化規律,如圖(tu)2-111所示。在某一(yi)壓(ya)力(li)(li)條件下,vc和(he)Gr沿徑向(xiang)(xiang)由(you)鑄(zhu)(zhu)錠(ding)(ding)邊(bian)部到(dao)心(xin)(xin)部均呈(cheng)現逐(zhu)漸減小的(de)趨勢(shi),結合(he)式(2-190)可(ke)知,一(yi)次(ci)(ci)枝(zhi)晶間(jian)距(ju)入(ru)1與v.和(he)Gr成反比,因而1沿徑向(xiang)(xiang)由(you)邊(bian)部到(dao)心(xin)(xin)部逐(zhu)漸增(zeng)(zeng)(zeng)(zeng)大(da)。當(dang)壓(ya)力(li)(li)從0.5MPa增(zeng)(zeng)(zeng)(zeng)加至1.2MPa時(shi),在壓(ya)力(li)(li)強化冷卻的(de)作用下,鑄(zhu)(zhu)錠(ding)(ding)內各(ge)單(dan)元體(ti)(ti)的(de)vc和(he)Gr隨(sui)之(zhi)增(zeng)(zeng)(zeng)(zeng)大(da),且(qie)對(dui)鑄(zhu)(zhu)錠(ding)(ding)邊(bian)緣(yuan)處的(de)單(dan)元體(ti)(ti)影(ying)(ying)響最大(da),在沿徑向(xiang)(xiang)向(xiang)(xiang)心(xin)(xin)部移(yi)動(dong)的(de)過程中(zhong),壓(ya)力(li)(li)對(dui)vc和(he)Gr的(de)影(ying)(ying)響逐(zhu)步減弱。結合(he)式(2-190)可(ke)知,一(yi)次(ci)(ci)枝(zhi)晶間(jian)距(ju)入(ru)1隨(sui)著(zhu)vc和(he)Gr的(de)增(zeng)(zeng)(zeng)(zeng)大(da)呈(cheng)冪函數減小。因此,隨(sui)著(zhu)壓(ya)力(li)(li)增(zeng)(zeng)(zeng)(zeng)加,一(yi)次(ci)(ci)枝(zhi)晶間(jian)距(ju)入(ru)1減小,且(qie)越靠近鑄(zhu)(zhu)錠(ding)(ding)邊(bian)部,入(ru)減小趨勢(shi)越明顯(xian),即壓(ya)力(li)(li)對(dui)柱狀晶一(yi)次(ci)(ci)枝(zhi)晶間(jian)距(ju)的(de)影(ying)(ying)響大(da)于中(zhong)心(xin)(xin)等軸晶區。

由邊部到心部逐漸(jian)增大,結合式(2-192)可知,鑄錠心部的(de)二次枝晶間距入(ru)2大于邊部;壓力(li)從0.5MPa增加至(zhi)1.2MPa時,LST明顯(xian)減(jian)小(xiao),二次枝晶間距入(ru)2也隨之減(jian)小(xiao)。

圖2-112 不(bu)同(tong)壓(ya)(ya)力(li)(li)下距(ju)離19Cr14Mn0.9N含(han)氮鋼鑄(zhu)錠底(di)部(bu)130mm處LST計(ji)算值由于(yu)等軸晶(jing)的(de)(de)(de)一(yi)(yi)次(ci)(ci)枝(zhi)晶(jing)臂彼此(ci)相(xiang)交且(qie)沿徑(jing)向(xiang)(xiang)以幾(ji)乎相(xiang)同(tong)的(de)(de)(de)速率向(xiang)(xiang)四(si)周生長(chang),同(tong)時不(bu)同(tong)等軸晶(jing)間(jian)不(bu)存在任何確(que)定的(de)(de)(de)位向(xiang)(xiang)關(guan)系,難以通(tong)過(guo)實(shi)驗(yan)對(dui)(dui)等軸晶(jing)的(de)(de)(de)一(yi)(yi)次(ci)(ci)晶(jing)間(jian)距(ju)進行(xing)測量,因此(ci)只(zhi)對(dui)(dui)CET前柱狀晶(jing)的(de)(de)(de)一(yi)(yi)次(ci)(ci)枝(zhi)晶(jing)間(jian)距(ju)進行(xing)測量。圖2-113給(gei)出了(le)距(ju)19Cr14Mn0.9N含(han)氮鋼鑄(zhu)錠底(di)部(bu)115mm的(de)(de)(de)高度處一(yi)(yi)次(ci)(ci)枝(zhi)晶(jing)間(jian)距(ju)入(ru)1和(he)(he)二次(ci)(ci)枝(zhi)晶(jing)間(jian)距(ju)x2的(de)(de)(de)變化規律,在某一(yi)(yi)壓(ya)(ya)力(li)(li)下,沿徑(jing)向(xiang)(xiang)由鑄(zhu)錠邊(bian)部(bu)向(xiang)(xiang)心(xin)部(bu)移(yi)動的(de)(de)(de)過(guo)程中,1和(he)(he)x2逐漸(jian)增大(da);當(dang)壓(ya)(ya)力(li)(li)從(cong)(cong)0.5MPa增加至1.2MPa時,1和(he)(he)入(ru)2均呈(cheng)減小(xiao)的(de)(de)(de)趨勢(shi)。基于(yu)埋設熱電偶的(de)(de)(de)測溫結果和(he)(he)式(2-195)可(ke)得(de),2nd和(he)(he)4h測溫位置處局部(bu)凝固(gu)時間(jian)隨壓(ya)(ya)力(li)(li)的(de)(de)(de)增加而縮(suo)短,如圖2-113(a)所(suo)示,從(cong)(cong)而導致(zhi)x2的(de)(de)(de)減小(xiao)。對(dui)(dui)比(bi)可(ke)知,枝(zhi)晶(jing)間(jian)距(ju)(λ和(he)(he)ん)和(he)(he)局部(bu)凝固(gu)時間(jian)沿徑(jing)向(xiang)(xiang)和(he)(he)隨壓(ya)(ya)力(li)(li)變化趨勢(shi)的(de)(de)(de)實(shi)驗(yan)與模擬結果一(yi)(yi)致(zhi)。


綜(zong)上所述,增加壓力能(neng)夠明顯(xian)減小枝(zhi)晶(jing)間(jian)距(x1和x2),縮短局部(bu)凝(ning)固時(shi)間(jian),細(xi)化凝(ning)固組織(zhi)。鑄錠邊部(bu)和心部(bu)試樣的(de)枝(zhi)晶(jing)形貌如圖(tu)2-114所示(shi),進一步佐證了增加壓力具有(you)明顯(xian)細(xi)化枝(zhi)晶(jing)組織(zhi)的(de)作(zuo)用,且對柱狀晶(jing)的(de)影響大于中心等軸(zhou)晶(jing)。

3. 晶粒數(shu)
鑄(zhu)錠(ding)內晶(jing)粒數與晶(jing)粒臨(lin)界形核半(ban)徑(jing)和(he)形核率(lv)有直接(jie)的關系(xi),晶(jing)粒臨(lin)界形核半(ban)徑(jing)為:

其(qi)中(zhong),Nm為(wei)與液相線(xian)溫度、凝固(gu)潛(qian)熱、擴(kuo)散激活能(neng)以及表面張力有關(guan)的系數(shu)。圖2-114給出了 19Cr14Mn0.9N 含氮鋼(gang)鑄(zhu)錠等(deng)(deng)軸晶(jing)區(qu)(qu)(qu)內晶(jing)粒數(shu)隨壓力的變化規律。壓力從0.5MPa增加(jia)到1.2MPa時,中(zhong)心等(deng)(deng)軸晶(jing)區(qu)(qu)(qu)的寬度逐漸(jian)減(jian)小,最(zui)小值為(wei)56mm.19Cr14Mn0.9N含氮鋼(gang)鑄(zhu)錠180mm(高(gao))x56mm(寬)等(deng)(deng)軸晶(jing)區(qu)(qu)(qu)內晶(jing)粒數(shu)隨壓力的變化規律如圖2-115所示(shi)。當(dang)凝固(gu)壓力從0.5MPa增加(jia)到0.85MPa時,晶(jing)粒數(shu)目從9166增加(jia)到9551;當(dang)凝固(gu)壓力進(jin)一步增加(jia)到1.2MPa時,晶(jing)粒數(shu)目增加(jia)到10128.因此,提高(gao)凝固(gu)壓力,鑄(zhu)錠等(deng)(deng)軸晶(jing)區(qu)(qu)(qu)內晶(jing)粒數(shu)明顯增大。

在(zai)低壓下,如壓力(li)(li)從(cong)0.5MPa增(zeng)至(zhi)1.2MPa時(shi),液相(xiang)線溫(wen)度(du)(du)(du)、凝(ning)固潛熱、擴(kuo)散激活能(neng)以(yi)及表面張(zhang)力(li)(li)的(de)(de)變量非常(chang)小(xiao),幾乎可(ke)以(yi)忽略,這樣(yang)可(ke)以(yi)假設Nm在(zai)0.5MPa、晶粒(li)數(shu)0.85MPa和(he)1.2MPa下相(xiang)等(deng),近似為常(chang)數(shu)。提高壓力(li)(li)能(neng)夠明顯地增(zeng)大鑄錠的(de)(de)溫(wen)度(du)(du)(du)梯度(du)(du)(du)(圖2-111),溫(wen)度(du)(du)(du)梯度(du)(du)(du)越大,單位時(shi)間內(nei)(nei)從(cong)糊狀區(qu)內(nei)(nei)導出結晶潛熱的(de)(de)量越大,進而提高了(le)糊狀區(qu)內(nei)(nei)過(guo)冷(leng)(leng)度(du)(du)(du);反之亦然,這意味著(zhu)糊狀區(qu)過(guo)冷(leng)(leng)度(du)(du)(du)與溫(wen)度(du)(du)(du)梯度(du)(du)(du)隨(sui)壓力(li)(li)的(de)(de)變化趨勢相(xiang)同(tong),即(ji)隨(sui)著(zhu)壓力(li)(li)的(de)(de)提高而增(zeng)大。結合式(2-193)和(he)式(2-197)可(ke)知,隨(sui)著(zhu)糊狀區(qu)內(nei)(nei)過(guo)冷(leng)(leng)度(du)(du)(du)ΔT的(de)(de)增(zeng)加,晶粒(li)臨界形核半徑rk減小(xiao),形核率Na增(zeng)大,有助于提高鑄錠內(nei)(nei)晶粒(li)數(shu)。因此(ci),增(zeng)加壓力(li)(li)有利于增(zeng)加晶粒(li)數(shu)。
距離(li)(li)19Cr14Mn0.9N含氮鋼鑄(zhu)(zhu)(zhu)錠(ding)底部130mm的(de)(de)(de)高度(du)(du)(du)(du)處(chu),晶粒數(shu)隨(sui)壓(ya)(ya)力(li)(li)(li)的(de)(de)(de)變(bian)化(hua)(hua)規律如圖2-116所示。在某一凝固(gu)壓(ya)(ya)力(li)(li)(li)下,鑄(zhu)(zhu)(zhu)錠(ding)邊(bian)部的(de)(de)(de)晶粒數(shu)目(mu)最(zui)大(da),隨(sui)著離(li)(li)鑄(zhu)(zhu)(zhu)錠(ding)邊(bian)部距離(li)(li)的(de)(de)(de)增加(jia),由于糊狀區(qu)內過冷(leng)(leng)度(du)(du)(du)(du)的(de)(de)(de)減小,晶粒數(shu)也隨(sui)之減少。隨(sui)著壓(ya)(ya)力(li)(li)(li)提高,晶粒數(shu)均呈增大(da)趨(qu)勢,且柱(zhu)狀晶區(qu)內軸(zhou)向切片(pian)上晶粒數(shu)的(de)(de)(de)增量明(ming)顯(xian)(xian)大(da)于中心(xin)等軸(zhou)晶區(qu)。因為在壓(ya)(ya)力(li)(li)(li)強化(hua)(hua)冷(leng)(leng)卻的(de)(de)(de)作(zuo)用下,整個(ge)鑄(zhu)(zhu)(zhu)錠(ding)的(de)(de)(de)溫度(du)(du)(du)(du)梯度(du)(du)(du)(du)均有增大(da)趨(qu)勢,導致糊狀區(qu)內過冷(leng)(leng)度(du)(du)(du)(du)的(de)(de)(de)增加(jia)。同時,由于距離(li)(li)鑄(zhu)(zhu)(zhu)錠(ding)和鑄(zhu)(zhu)(zhu)型(xing)換熱界面越(yue)(yue)近(jin),溫度(du)(du)(du)(du)梯度(du)(du)(du)(du)受界面換熱的(de)(de)(de)影響越(yue)(yue)大(da),鑄(zhu)(zhu)(zhu)錠(ding)邊(bian)部溫度(du)(du)(du)(du)梯度(du)(du)(du)(du)隨(sui)壓(ya)(ya)力(li)(li)(li)變(bian)化(hua)(hua)趨(qu)勢越(yue)(yue)明(ming)顯(xian)(xian),進而(er)(er)增加(jia)凝固(gu)壓(ya)(ya)力(li)(li)(li),鑄(zhu)(zhu)(zhu)錠(ding)邊(bian)部溫度(du)(du)(du)(du)梯度(du)(du)(du)(du)的(de)(de)(de)增量明(ming)顯(xian)(xian)大(da)于心(xin)部,從而(er)(er)導致離(li)(li)鑄(zhu)(zhu)(zhu)錠(ding)邊(bian)部較近(jin)的(de)(de)(de)柱(zhu)狀晶區(qu)內晶粒數(shu)的(de)(de)(de)增量明(ming)顯(xian)(xian)大(da)于中心(xin)等軸(zhou)晶區(qu)。

二、疏松縮孔
鑄錠(ding)產生(sheng)(sheng)(sheng)疏(shu)(shu)松(song)縮(suo)(suo)孔(kong)(kong)的(de)基本原因是(shi)鑄錠(ding)從澆注溫(wen)度(du)冷卻至固(gu)相(xiang)(xiang)線(xian)(xian)溫(wen)度(du)時(shi)產生(sheng)(sheng)(sheng)的(de)體(ti)收(shou)(shou)縮(suo)(suo)(液(ye)(ye)態(tai)收(shou)(shou)縮(suo)(suo)和(he)(he)凝(ning)固(gu)收(shou)(shou)縮(suo)(suo)之和(he)(he))大于固(gu)態(tai)收(shou)(shou)縮(suo)(suo)。當鋼(gang)液(ye)(ye)從澆注溫(wen)度(du)冷卻至液(ye)(ye)相(xiang)(xiang)線(xian)(xian)溫(wen)度(du)時(shi)所(suo)(suo)產生(sheng)(sheng)(sheng)的(de)體(ti)收(shou)(shou)縮(suo)(suo)為液(ye)(ye)態(tai)收(shou)(shou)縮(suo)(suo),鋼(gang)液(ye)(ye)進一步從液(ye)(ye)相(xiang)(xiang)線(xian)(xian)溫(wen)度(du)冷卻至固(gu)相(xiang)(xiang)線(xian)(xian)溫(wen)度(du)時(shi)(即發生(sheng)(sheng)(sheng)凝(ning)固(gu)相(xiang)(xiang)變時(shi))所(suo)(suo)產生(sheng)(sheng)(sheng)的(de)體(ti)收(shou)(shou)縮(suo)(suo)為凝(ning)固(gu)收(shou)(shou)縮(suo)(suo)[87],固(gu)態(tai)收(shou)(shou)縮(suo)(suo)是(shi)指固(gu)相(xiang)(xiang)在冷卻過程中所(suo)(suo)產生(sheng)(sheng)(sheng)的(de)體(ti)收(shou)(shou)縮(suo)(suo)。疏(shu)(shu)松(song)縮(suo)(suo)孔(kong)(kong)的(de)出(chu)現嚴重降低了鑄錠(ding)的(de)力學和(he)(he)耐腐蝕性能以及(ji)成材(cai)率(lv),是(shi)鑄錠(ding)的(de)嚴重缺陷之一。
在(zai)(zai)凝固(gu)(gu)過程中鑄(zhu)錠(ding)內出現體(ti)(ti)積(ji)(ji)小而(er)彌散的(de)空洞為疏松,體(ti)(ti)積(ji)(ji)大且集中的(de)為縮(suo)(suo)(suo)孔(kong)。疏松由在(zai)(zai)糊狀(zhuang)區內液(ye)(ye)(ye)(ye)相(xiang)體(ti)(ti)積(ji)(ji)分數降(jiang)到(dao)一定程度時,液(ye)(ye)(ye)(ye)相(xiang)流動困難,液(ye)(ye)(ye)(ye)態收(shou)(shou)縮(suo)(suo)(suo)與凝固(gu)(gu)收(shou)(shou)縮(suo)(suo)(suo)之和(he)超(chao)過固(gu)(gu)態收(shou)(shou)縮(suo)(suo)(suo)的(de)那部分收(shou)(shou)縮(suo)(suo)(suo)量無法得到(dao)補縮(suo)(suo)(suo)所導致,因而(er)疏松的(de)形成與枝(zhi)晶間液(ye)(ye)(ye)(ye)相(xiang)的(de)流動有密切關(guan)聯[72,87].在(zai)(zai)糊狀(zhuang)區內,體(ti)(ti)收(shou)(shou)縮(suo)(suo)(suo)主(zhu)要由凝固(gu)(gu)收(shou)(shou)縮(suo)(suo)(suo)組成,且為枝(zhi)晶間液(ye)(ye)(ye)(ye)體(ti)(ti)流動的(de)主(zhu)要驅動力,因而(er)枝(zhi)晶間液(ye)(ye)(ye)(ye)相(xiang)的(de)流速(su)u可表示為

式(shi)中,PΔx=Ps+Pf(其(qi)中,Pt為(wei)鋼(gang)液(ye)靜(jing)壓(ya)力(li)(li),Pf=pgh;Ps為(wei)凝(ning)(ning)固(gu)壓(ya)力(li)(li))。結合式(shi)(2-202)可知,增加(jia)凝(ning)(ning)固(gu)壓(ya)力(li)(li),Px增大(da),強化了枝(zhi)晶(jing)(jing)間液(ye)相的(de)補縮(suo)(suo)能(neng)力(li)(li),進而有助于避免疏松(song)(song)的(de)形成[91].此(ci)外,糊(hu)狀(zhuang)區越(yue)寬(kuan),枝(zhi)晶(jing)(jing)網狀(zhuang)結構越(yue)復雜,枝(zhi)晶(jing)(jing)間補縮(suo)(suo)的(de)距(ju)離(li)越(yue)長阻力(li)(li)越(yue)大(da),滲透率K越(yue)小,疏松(song)(song)越(yue)容(rong)易形成。因此(ci),疏松(song)(song)易于在糊(hu)狀(zhuang)區較寬(kuan)的(de)鑄錠以(yi)體積凝(ning)(ning)固(gu)或同時凝(ning)(ning)固(gu)方式(shi)凝(ning)(ning)固(gu)時形成。相比之(zhi)下,縮(suo)(suo)孔傾向于在糊(hu)狀(zhuang)區較窄的(de)鑄錠以(yi)逐層凝(ning)(ning)固(gu)方式(shi)的(de)凝(ning)(ning)固(gu)過程中出現(xian)。
不同凝固壓(ya)(ya)力(li)(li)下(0.5MPa、0.85MPa和1.2MPa),19Cr14Mn0.9N含(han)氮鋼鑄(zhu)錠縱剖面(mian)上(shang)疏松縮(suo)孔的(de)(de)(de)分布情況(kuang)如圖2-117所示。隨(sui)著凝固壓(ya)(ya)力(li)(li)的(de)(de)(de)增(zeng)(zeng)加(jia),疏松和縮(suo)孔的(de)(de)(de)總面(mian)積(ji)(ji)大(da)(da)(da)(da)幅(fu)(fu)度(du)減小,且疏松逐漸消失。由于壓(ya)(ya)力(li)(li)具有顯著的(de)(de)(de)強化(hua)冷卻效(xiao)果(guo),增(zeng)(zeng)大(da)(da)(da)(da)凝固壓(ya)(ya)力(li)(li),強化(hua)了鑄(zhu)錠和鑄(zhu)型間(jian)(jian)的(de)(de)(de)界(jie)面(mian)換熱,加(jia)快(kuai)了鑄(zhu)錠的(de)(de)(de)冷卻速率,從而(er)增(zeng)(zeng)大(da)(da)(da)(da)了鑄(zhu)錠溫度(du)梯度(du)Gr;在合(he)金(jin)體系一定(ding)的(de)(de)(de)情況(kuang)下,糊狀(zhuang)區隨(sui)之確定(ding),那么糊狀(zhuang)區的(de)(de)(de)寬度(du)隨(sui)溫度(du)梯度(du)Gr的(de)(de)(de)增(zeng)(zeng)大(da)(da)(da)(da)而(er)減小171],進而(er)導(dao)致枝晶(jing)(jing)(jing)網狀(zhuang)結構的(de)(de)(de)形成受到抑制。凝固方(fang)式(shi)逐漸由體積(ji)(ji)凝固向逐層凝固過(guo)渡,增(zeng)(zeng)大(da)(da)(da)(da)了滲透率K,從而(er)降低和縮(suo)短枝晶(jing)(jing)(jing)間(jian)(jian)補(bu)縮(suo)時(shi)液(ye)(ye)相(xiang)流(liu)動的(de)(de)(de)阻力(li)(li)和距離。此(ci)外,基(ji)于以上(shang)理論分析并結合(he)判據式(shi)(2-202)可知,增(zeng)(zeng)加(jia)凝固壓(ya)(ya)力(li)(li)等效(xiao)于增(zeng)(zeng)大(da)(da)(da)(da)了Px,使其遠(yuan)大(da)(da)(da)(da)于枝晶(jing)(jing)(jing)間(jian)(jian)液(ye)(ye)相(xiang)補(bu)縮(suo)時(shi)所需壓(ya)(ya)力(li)(li)。因此(ci),加(jia)壓(ya)(ya)有利于枝晶(jing)(jing)(jing)間(jian)(jian)液(ye)(ye)相(xiang)的(de)(de)(de)補(bu)縮(suo)行為,且有助于大(da)(da)(da)(da)幅(fu)(fu)度(du)減小或(huo)消除疏松缺陷。

三、凝固析出相
根據相(xiang)所含非金屬元素的種類,可將凝(ning)固析(xi)出相(xiang)分(fen)為氮化(hua)(hua)(hua)物(wu)(wu)(wu)、碳化(hua)(hua)(hua)物(wu)(wu)(wu)等,與碳化(hua)(hua)(hua)物(wu)(wu)(wu)相(xiang)比,氮化(hua)(hua)(hua)物(wu)(wu)(wu)尺寸一般較小(xiao),為了更加(jia)清楚直觀地論述(shu)增加(jia)壓力對凝(ning)固析(xi)出相(xiang)的影響,本節將著重以(yi)高(gao)速鋼M42中碳化(hua)(hua)(hua)物(wu)(wu)(wu)為例,闡述(shu)壓力對凝(ning)固析(xi)出相(xiang)的類型(xing)、形貌、成分(fen)等影響規律。
高速鋼(gang)碳(tan)(tan)(tan)化(hua)(hua)(hua)物(wu)(wu)(wu)(wu)(wu)的(de)(de)數量繁多、種類(lei)(lei)各異。不(bu)(bu)同(tong)(tong)(tong)碳(tan)(tan)(tan)化(hua)(hua)(hua)物(wu)(wu)(wu)(wu)(wu)的(de)(de)特(te)性不(bu)(bu)同(tong)(tong)(tong)、成(cheng)(cheng)分(fen)(fen)(fen)(fen)不(bu)(bu)同(tong)(tong)(tong)、形貌也各有(you)差(cha)異;按照碳(tan)(tan)(tan)化(hua)(hua)(hua)物(wu)(wu)(wu)(wu)(wu)的(de)(de)形貌特(te)征及生成(cheng)(cheng)機制的(de)(de)不(bu)(bu)同(tong)(tong)(tong),可將高速鋼(gang)中(zhong)(zhong)(zhong)碳(tan)(tan)(tan)化(hua)(hua)(hua)物(wu)(wu)(wu)(wu)(wu)分(fen)(fen)(fen)(fen)為(wei)一次(ci)碳(tan)(tan)(tan)化(hua)(hua)(hua)物(wu)(wu)(wu)(wu)(wu)和(he)二次(ci)碳(tan)(tan)(tan)化(hua)(hua)(hua)物(wu)(wu)(wu)(wu)(wu)兩大部分(fen)(fen)(fen)(fen)。一次(ci)碳(tan)(tan)(tan)化(hua)(hua)(hua)物(wu)(wu)(wu)(wu)(wu)又稱(cheng)為(wei)“初(chu)生碳(tan)(tan)(tan)化(hua)(hua)(hua)物(wu)(wu)(wu)(wu)(wu)”,即在(zai)凝固過程中(zhong)(zhong)(zhong)直(zhi)接從液相中(zhong)(zhong)(zhong)析出的(de)(de)碳(tan)(tan)(tan)化(hua)(hua)(hua)物(wu)(wu)(wu)(wu)(wu),包(bao)括各種先共晶和(he)共晶碳(tan)(tan)(tan)化(hua)(hua)(hua)物(wu)(wu)(wu)(wu)(wu),有(you)M6C、M2C、MC等(deng)不(bu)(bu)同(tong)(tong)(tong)類(lei)(lei)型。一次(ci)碳(tan)(tan)(tan)化(hua)(hua)(hua)物(wu)(wu)(wu)(wu)(wu)的(de)(de)尺寸比較大,屬于(yu)微米級別,在(zai)后續熱加工和(he)熱處(chu)理工藝中(zhong)(zhong)(zhong)將被破碎或分(fen)(fen)(fen)(fen)解成(cheng)(cheng)尺寸較小(xiao)的(de)(de)顆粒狀存在(zai)于(yu)鋼(gang)中(zhong)(zhong)(zhong)。二次(ci)碳(tan)(tan)(tan)化(hua)(hua)(hua)物(wu)(wu)(wu)(wu)(wu)是指在(zai)凝固過程中(zhong)(zhong)(zhong)或熱處(chu)理時從固相基體(ti)(ti)(高溫鐵素體(ti)(ti)、奧氏體(ti)(ti)、馬氏體(ti)(ti)等(deng))中(zhong)(zhong)(zhong)析出的(de)(de)碳(tan)(tan)(tan)化(hua)(hua)(hua)物(wu)(wu)(wu)(wu)(wu),分(fen)(fen)(fen)(fen)為(wei)M6C、MC、M23C6、M7C3、M2C等(deng)不(bu)(bu)同(tong)(tong)(tong)類(lei)(lei)型。高速鋼(gang)中(zhong)(zhong)(zhong)碳(tan)(tan)(tan)化(hua)(hua)(hua)物(wu)(wu)(wu)(wu)(wu)成(cheng)(cheng)分(fen)(fen)(fen)(fen)波動范(fan)圍較大,不(bu)(bu)同(tong)(tong)(tong)鋼(gang)種、不(bu)(bu)同(tong)(tong)(tong)條件產生的(de)(de)同(tong)(tong)(tong)一類(lei)(lei)型的(de)(de)碳(tan)(tan)(tan)化(hua)(hua)(hua)物(wu)(wu)(wu)(wu)(wu)也會有(you)不(bu)(bu)同(tong)(tong)(tong)的(de)(de)成(cheng)(cheng)分(fen)(fen)(fen)(fen),甚至同(tong)(tong)(tong)一粒碳(tan)(tan)(tan)化(hua)(hua)(hua)物(wu)(wu)(wu)(wu)(wu)的(de)(de)不(bu)(bu)同(tong)(tong)(tong)部位,也會有(you)成(cheng)(cheng)分(fen)(fen)(fen)(fen)的(de)(de)差(cha)異。各碳(tan)(tan)(tan)化(hua)(hua)(hua)物(wu)(wu)(wu)(wu)(wu)的(de)(de)形貌、成(cheng)(cheng)分(fen)(fen)(fen)(fen)及分(fen)(fen)(fen)(fen)布見(jian)表2-14.

M2C具有(you)密(mi)排六(liu)方晶體(ti)結構[172-175,179],其(qi)主要形成元素通常(chang)是(shi)鉬、釩和鎢,鉻及鐵的含量則較(jiao)少。M2C 共晶碳(tan)化(hua)物一(yi)般以亞穩態存(cun)在于(yu)(yu)鋼(gang)中。尺寸較(jiao)小、片層(ceng)較(jiao)薄且沒有(you)中間脊骨(gu),在高溫(wen)時(shi)(shi)易發生分解(jie)反應:M2C+Fe(Y)→M6C+MC,分解(jie)成尺寸較(jiao)小的顆粒(li)狀(zhuang)M6C和MC。此外,與M6C相反,鋼(gang)液凝(ning)固(gu)時(shi)(shi)的冷(leng)卻速(su)(su)率(lv)越(yue)快(kuai),越(yue)有(you)利于(yu)(yu)M2C的形成。因此,提高鑄錠凝(ning)固(gu)時(shi)(shi)的冷(leng)卻速(su)(su)率(lv)有(you)利于(yu)(yu)促進M2C的形成并(bing)細化(hua)M2C,同(tong)時(shi)(shi)可抑(yi)制較(jiao)大(da)尺寸M6Cl。
M6C具有(you)復雜(za)立方晶體(ti)結構,其結構中除(chu)碳(tan)原子以(yi)外,鐵(tie)、鎢原子約(yue)各占一半(ban)。M6C屬于(yu)穩定型碳(tan)化物(wu),其形(xing)態(tai)為粗大的骨(gu)骼狀。鋼液凝(ning)固(gu)時冷(leng)卻速率(lv)越慢,M6C碳(tan)化物(wu)越易(yi)于(yu)形(xing)成和長大。因此,M6C在高(gao)速鋼的心部往(wang)往(wang)含量較(jiao)高(gao),而邊部較(jiao)少(shao)或沒有(you)。加快鑄錠凝(ning)固(gu)時的冷(leng)卻速率(lv)有(you)利于(yu)細(xi)化M6C,提(ti)高(gao)鑄錠性能。
MC具有(you)(you)面(mian)心立方(fang)(fang)結(jie)(jie)(jie)構(gou),化(hua)學式為(wei)MC或者M4C3,其(qi)成(cheng)分以釩為(wei)主。鋼(gang)中碳(tan)(tan)(tan)(tan)(tan)(tan)、釩含(han)量(liang)的(de)(de)(de)增(zeng)大(da)可(ke)使MC增(zeng)多(duo)(duo),尺寸變大(da)。高(gao)(gao)(gao)速(su)鋼(gang)中還有(you)(you)M23C6、M3C、M7C3等碳(tan)(tan)(tan)(tan)(tan)(tan)化(hua)物(wu)。M23C6晶(jing)體結(jie)(jie)(jie)構(gou)為(wei)復(fu)(fu)雜面(mian)心立方(fang)(fang)結(jie)(jie)(jie)構(gou),具有(you)(you)一定(ding)量(liang)的(de)(de)(de)鎢、鉬,釩含(han)量(liang)極(ji)少,含(han)有(you)(you)大(da)量(liang)的(de)(de)(de)鉻、鐵(tie)元素;與M2C相(xiang)同,M3C也(ye)是亞(ya)穩(wen)(wen)態相(xiang)。M7C3為(wei)復(fu)(fu)雜六方(fang)(fang)晶(jing)體結(jie)(jie)(jie)構(gou),含(han)有(you)(you)較多(duo)(duo)的(de)(de)(de)鉻、鐵(tie),主要存在于碳(tan)(tan)(tan)(tan)(tan)(tan)含(han)量(liang)較高(gao)(gao)(gao)的(de)(de)(de)鋼(gang)中。高(gao)(gao)(gao)速(su)鋼(gang)中碳(tan)(tan)(tan)(tan)(tan)(tan)化(hua)物(wu)具有(you)(you)兩個重(zhong)要的(de)(de)(de)特性(xing)(xing):硬度(du)和(he)(he)(he)熱(re)穩(wen)(wen)定(ding)性(xing)(xing)(加熱(re)時溶解、聚集(ji)長大(da)的(de)(de)(de)難度(du))。這些特性(xing)(xing)反映了(le)碳(tan)(tan)(tan)(tan)(tan)(tan)化(hua)物(wu)中碳(tan)(tan)(tan)(tan)(tan)(tan)和(he)(he)(he)金(jin)屬(shu)原子結(jie)(jie)(jie)合鍵的(de)(de)(de)強弱,與原子結(jie)(jie)(jie)構(gou)和(he)(he)(he)尺寸有(you)(you)關(guan)。碳(tan)(tan)(tan)(tan)(tan)(tan)化(hua)物(wu)的(de)(de)(de)晶(jing)格結(jie)(jie)(jie)構(gou)與碳(tan)(tan)(tan)(tan)(tan)(tan)原子半徑rc、金(jin)屬(shu)原子半徑rx有(you)(you)關(guan),如表2-15所(suo)示,rd/rx值越(yue)大(da),則越(yue)易形成(cheng)結(jie)(jie)(jie)構(gou)復(fu)(fu)雜的(de)(de)(de)碳(tan)(tan)(tan)(tan)(tan)(tan)化(hua)物(wu)(M23C6、M3C等),越(yue)小(xiao)則易形成(cheng)結(jie)(jie)(jie)構(gou)簡(jian)單密堆型(xing)碳(tan)(tan)(tan)(tan)(tan)(tan)化(hua)物(wu)(MC等)。表中熔(rong)點可(ke)作為(wei)碳(tan)(tan)(tan)(tan)(tan)(tan)化(hua)物(wu)熱(re)穩(wen)(wen)定(ding)性(xing)(xing)的(de)(de)(de)衡量(liang)指標(biao),可(ke)見碳(tan)(tan)(tan)(tan)(tan)(tan)化(hua)物(wu)中原子尺寸越(yue)接近,則碳(tan)(tan)(tan)(tan)(tan)(tan)化(hua)物(wu)穩(wen)(wen)定(ding)性(xing)(xing)越(yue)高(gao)(gao)(gao)。

1. 壓力對萊氏體的影響
凝固末期,由于偏(pian)析(xi)導致合金元素(su)在枝(zhi)晶(jing)間(jian)殘余液(ye)(ye)相內富集(ji)發生(sheng)(sheng)共(gong)晶(jing)反應,從液(ye)(ye)相中直(zhi)接生(sheng)(sheng)成碳(tan)化(hua)物,它與奧(ao)氏(shi)體(ti)相間(jian)排列,構成萊(lai)氏(shi)體(ti)組(zu)(zu)(zu)織(zhi)。因此高速鋼(gang)(gang)的萊(lai)氏(shi)體(ti)組(zu)(zu)(zu)織(zhi)往往存在于枝(zhi)晶(jing)間(jian)。圖2-118為M2高速鋼(gang)(gang)的低(di)倍鑄(zhu)態組(zu)(zu)(zu)織(zhi),可見(jian)一般情況下,相鄰晶(jing)粒之間(jian)的萊(lai)氏(shi)體(ti)組(zu)(zu)(zu)織(zhi)較(jiao)(jiao)為細小,數量較(jiao)(jiao)少,而多(duo)個晶(jing)粒之間(jian)的萊(lai)氏(shi)體(ti)組(zu)(zu)(zu)織(zhi)尺寸較(jiao)(jiao)大,數量較(jiao)(jiao)多(duo)。

高速鋼的(de)萊氏體組織中(zhong)含(han)有(you)多(duo)種類型(xing)的(de)碳化物,如(ru)M2C、M6C、MC等(deng)。M6C整體形貌類似魚骨,故又(you)稱為“魚骨狀(zhuang)碳化物”,如(ru)圖(tu)2-119所示;M2C成片(pian)層狀(zhuang),含(han)有(you)M2C的(de)共晶萊氏體具有(you)“羽毛狀(zhuang)”、“扇(shan)狀(zhuang)”、“菊花狀(zhuang)”等(deng)形貌,如(ru)圖(tu)2-120所示;MC的(de)生長時間較(jiao)長,最(zui)終尺寸較(jiao)為粗大,往(wang)往(wang)以(yi)不規則的(de)條狀(zhuang)出現,如(ru)圖(tu)2-120所示。

a. 碳(tan)化物種類及分布
高(gao)速(su)鋼中(zhong)碳(tan)化(hua)物(wu)(wu)(wu)種(zhong)類與成(cheng)分(fen)(fen)和凝(ning)(ning)固過(guo)(guo)程(cheng)中(zhong)的(de)(de)(de)(de)冷卻(que)速(su)率(lv)密不可分(fen)(fen)。M42 高(gao)速(su)工具鋼作為高(gao)鉬低鎢(wu)鋼,其凝(ning)(ning)固組(zu)(zu)織(zhi)碳(tan)化(hua)物(wu)(wu)(wu)主(zhu)要為M2C共晶碳(tan)化(hua)物(wu)(wu)(wu);另外(wai)含(han)有(you)少部(bu)分(fen)(fen)M6C共晶碳(tan)化(hua)物(wu)(wu)(wu),主(zhu)要存在(zai)于(yu)鑄(zhu)(zhu)(zhu)(zhu)錠(ding)(ding)(ding)的(de)(de)(de)(de)心(xin)部(bu)區域。圖(tu)2-121~圖(tu)2-123給出(chu)了(le)M42高(gao)速(su)鋼鑄(zhu)(zhu)(zhu)(zhu)錠(ding)(ding)(ding)在(zai)0.1MPa、1MPa和2MPa下1/4圓鑄(zhu)(zhu)(zhu)(zhu)錠(ding)(ding)(ding)板金相(xiang)組(zu)(zu)織(zhi)。白色斑(ban)點狀處的(de)(de)(de)(de)萊氏(shi)體組(zu)(zu)織(zhi)中(zhong)的(de)(de)(de)(de)碳(tan)化(hua)物(wu)(wu)(wu)為具有(you)中(zhong)心(xin)脊(ji)骨(gu),脊(ji)骨(gu)兩(liang)邊(bian)具有(you)平行分(fen)(fen)枝的(de)(de)(de)(de)魚骨(gu)狀M6C.M6C共晶碳(tan)化(hua)物(wu)(wu)(wu)的(de)(de)(de)(de)尺寸(cun)比(bi)M2C共晶碳(tan)化(hua)物(wu)(wu)(wu)粗大得多且結(jie)構(gou)上相(xiang)互連接緊密,極不利于(yu)鑄(zhu)(zhu)(zhu)(zhu)錠(ding)(ding)(ding)的(de)(de)(de)(de)后續碳(tan)化(hua)物(wu)(wu)(wu)破碎(sui),因此盡可能減(jian)少或避免凝(ning)(ning)固組(zu)(zu)織(zhi)中(zhong)M6C共晶碳(tan)化(hua)物(wu)(wu)(wu)的(de)(de)(de)(de)產(chan)生(sheng),有(you)助于(yu)提升其力(li)學性能等(deng)。隨(sui)著壓(ya)力(li)的(de)(de)(de)(de)增(zeng)(zeng)大,萊氏(shi)體(白色斑(ban)點)所占(zhan)1/4圓鑄(zhu)(zhu)(zhu)(zhu)錠(ding)(ding)(ding)板的(de)(de)(de)(de)面積(ji)比(bi)例逐漸(jian)減(jian)小(xiao),加(jia)壓(ya)有(you)助于(yu)抑(yi)制M6C共晶碳(tan)化(hua)物(wu)(wu)(wu)的(de)(de)(de)(de)形(xing)(xing)(xing)成(cheng)與長(chang)大,其主(zhu)要原因在(zai)于(yu)在(zai)較低壓(ya)力(li)下,加(jia)壓(ya)對凝(ning)(ning)固熱(re)力(li)學和動力(li)學參(can)數的(de)(de)(de)(de)影響(xiang)十分(fen)(fen)有(you)限,但強化(hua)冷卻(que)效果十分(fen)(fen)明同時(shi)凝(ning)(ning)固過(guo)(guo)程(cheng)中(zhong)冷卻(que)速(su)率(lv)越小(xiao),越有(you)利于(yu)魚骨(gu)狀M6C共晶碳(tan)化(hua)物(wu)(wu)(wu)的(de)(de)(de)(de)形(xing)(xing)(xing)成(cheng),且M6C越粗大。因而增(zeng)(zeng)加(jia)壓(ya)力(li)主(zhu)要通(tong)過(guo)(guo)增(zeng)(zeng)大鑄(zhu)(zhu)(zhu)(zhu)錠(ding)(ding)(ding)和鑄(zhu)(zhu)(zhu)(zhu)型間(jian)界面換熱(re)系數,提高(gao)鑄(zhu)(zhu)(zhu)(zhu)錠(ding)(ding)(ding)的(de)(de)(de)(de)冷卻(que)速(su)率(lv)從而細化(hua)并抑(yi)制M6C共晶碳(tan)化(hua)物(wu)(wu)(wu)的(de)(de)(de)(de)形(xing)(xing)(xing)成(cheng),且當(dang)壓(ya)力(li)增(zeng)(zeng)加(jia)到一定程(cheng)度時(shi),能夠(gou)完(wan)全抑(yi)制富含(han)M6C的(de)(de)(de)(de)萊氏(shi)體形(xing)(xing)(xing)成(cheng),消除其對組(zu)(zu)織(zhi)和性能的(de)(de)(de)(de)不良影響(xiang)。

圖2-121(b)所(suo)示萊氏(shi)體組織中碳化(hua)物(wu)為長條(tiao)狀(zhuang)(zhuang)或(huo)者短棒狀(zhuang)(zhuang)的(de)(de)M2C.凝固壓(ya)(ya)力(li)不同(tong),M2C的(de)(de)尺寸(cun)、形(xing)貌以及分布的(de)(de)緊密程度等均有所(suo)不同(tong)。在0.1MPa壓(ya)(ya)力(li)下(xia)(xia),碳化(hua)物(wu)分枝較少、片層(ceng)較長、尺寸(cun)較大、間(jian)(jian)(jian)距較寬、共(gong)晶(jing)(jing)萊氏(shi)體與(yu)枝晶(jing)(jing)臂的(de)(de)界(jie)面較平(ping)整(zheng);隨著壓(ya)(ya)力(li)的(de)(de)增加,條(tiao)狀(zhuang)(zhuang)或(huo)片層(ceng)狀(zhuang)(zhuang)碳化(hua)物(wu)的(de)(de)間(jian)(jian)(jian)距逐(zhu)(zhu)漸(jian)減小,且開始斷開成大量的(de)(de)短棒碳化(hua)物(wu),碳化(hua)物(wu)的(de)(de)分枝也逐(zhu)(zhu)漸(jian)增多,并(bing)密集分布在枝晶(jing)(jing)間(jian)(jian)(jian),共(gong)晶(jing)(jing)萊氏(shi)體與(yu)枝晶(jing)(jing)臂的(de)(de)界(jie)面也較為粗糙(cao)。此(ci)外,三(san)個壓(ya)(ya)力(li)下(xia)(xia)的(de)(de)M2C幾乎沒有晶(jing)(jing)體缺陷(xian),明壓(ya)(ya)力(li)很難對碳化(hua)物(wu)晶(jing)(jing)格類型產生(sheng)影(ying)響(xiang)。

b. 萊氏體尺寸
萊(lai)氏(shi)(shi)(shi)體(ti)組織存在于枝(zhi)晶間(jian)(jian),與枝(zhi)晶間(jian)(jian)距、形貌及(ji)分(fen)(fen)布(bu)密切相(xiang)關,枝(zhi)晶間(jian)(jian)距越小(xiao)(xiao),枝(zhi)晶間(jian)(jian)萊(lai)氏(shi)(shi)(shi)體(ti)尺寸(cun)也(ye)相(xiang)應(ying)地細小(xiao)(xiao)且均勻分(fen)(fen)布(bu)。圖2-124和(he)圖2-125給出了不同壓力條件(jian)下(xia)M42鑄(zhu)錠邊部(bu)(bu)和(he)心(xin)部(bu)(bu)萊(lai)氏(shi)(shi)(shi)體(ti)形貌和(he)尺寸(cun)分(fen)(fen)布(bu),無論是鑄(zhu)錠的(de)(de)邊部(bu)(bu)還是心(xin)部(bu)(bu),尺寸(cun)不一(yi)(yi)的(de)(de)萊(lai)氏(shi)(shi)(shi)體(ti)組織(黑色)均分(fen)(fen)布(bu)在枝(zhi)晶間(jian)(jian)。在同一(yi)(yi)凝固(gu)壓力條件(jian)下(xia),鑄(zhu)錠邊部(bu)(bu)的(de)(de)枝(zhi)晶間(jian)(jian)距明顯小(xiao)(xiao)于心(xin)部(bu)(bu),因而(er)心(xin)部(bu)(bu)萊(lai)氏(shi)(shi)(shi)體(ti)要(yao)比邊部(bu)(bu)粗大。
隨著壓(ya)力(li)(li)的增(zeng)(zeng)(zeng)大(da)(da),在壓(ya)力(li)(li)強化冷(leng)卻的作用(yong)下,冷(leng)卻速率增(zeng)(zeng)(zeng)大(da)(da),鑄錠局部(bu)凝固時(shi)(shi)間(jian)縮短,使得枝(zhi)晶(jing)組(zu)織得到了明顯(xian)(xian)細(xi)化且(qie)尺寸分(fen)(fen)布(bu)更(geng)均(jun)(jun)勻,進而(er)導致分(fen)(fen)布(bu)在枝(zhi)晶(jing)間(jian)的萊(lai)(lai)氏(shi)體(ti)(ti)(ti)組(zu)織也隨之細(xi)化,厚(hou)度(du)(du)大(da)(da)大(da)(da)減(jian)小且(qie)分(fen)(fen)布(bu)更(geng)加均(jun)(jun)勻。在0.1MPa 壓(ya)力(li)(li)下,無論在邊部(bu)還是(shi)心部(bu)位置,鑄錠的萊(lai)(lai)氏(shi)體(ti)(ti)(ti)組(zu)織均(jun)(jun)較為粗(cu)大(da)(da),且(qie)尺寸分(fen)(fen)布(bu)極不均(jun)(jun)勻,部(bu)分(fen)(fen)局部(bu)區域存在著大(da)(da)量的黑(hei)色萊(lai)(lai)氏(shi)體(ti)(ti)(ti),尤(you)其(qi)在多個(ge)枝(zhi)晶(jing)臂交(jiao)匯處,且(qie)尺寸異常粗(cu)大(da)(da)。當壓(ya)力(li)(li)增(zeng)(zeng)(zeng)加至1MPa時(shi)(shi),粗(cu)大(da)(da)萊(lai)(lai)氏(shi)體(ti)(ti)(ti)得到明顯(xian)(xian)細(xi)化,且(qie)尺寸分(fen)(fen)布(bu)更(geng)加均(jun)(jun)勻;當壓(ya)力(li)(li)進一步(bu)增(zeng)(zeng)(zeng)加至2MPa時(shi)(shi),萊(lai)(lai)氏(shi)體(ti)(ti)(ti)組(zu)織得到進一步(bu)地改(gai)善,組(zu)織更(geng)加細(xi)密,尺寸更(geng)加均(jun)(jun)勻,粗(cu)大(da)(da)萊(lai)(lai)氏(shi)體(ti)(ti)(ti)組(zu)織基(ji)本消失。萊(lai)(lai)氏(shi)體(ti)(ti)(ti)平均(jun)(jun)尺寸隨壓(ya)力(li)(li)的變化規律(lv)如圖2-126所示,壓(ya)力(li)(li)從0.1MPa增(zeng)(zeng)(zeng)加至2MPa時(shi)(shi),萊(lai)(lai)氏(shi)體(ti)(ti)(ti)厚(hou)度(du)(du)由(you)28.37μm降低至22.92μm.因此,增(zeng)(zeng)(zeng)加壓(ya)力(li)(li)能夠明顯(xian)(xian)細(xi)化萊(lai)(lai)氏(shi)體(ti)(ti)(ti)組(zu)織,改(gai)善其(qi)分(fen)(fen)布(bu)狀態。

2. 壓(ya)力對(dui)碳(tan)化物的影響
a. 碳(tan)化物尺寸
以高(gao)速鋼中M2C共(gong)晶(jing)(jing)碳化(hua)(hua)物(wu)為(wei)例,M2C共(gong)晶(jing)(jing)碳化(hua)(hua)物(wu)是通過(guo)(guo)凝(ning)固(gu)(gu)過(guo)(guo)程(cheng)中的(de)(de)(de)(de)共(gong)晶(jing)(jing)反應L→y+M2C產(chan)生的(de)(de)(de)(de)。和(he)純金(jin)(jin)(jin)屬及固(gu)(gu)溶體(ti)合金(jin)(jin)(jin)的(de)(de)(de)(de)結晶(jing)(jing)過(guo)(guo)程(cheng)一樣(yang),共(gong)晶(jing)(jing)轉變(bian)同(tong)(tong)樣(yang)需(xu)要經(jing)過(guo)(guo)形核與長大的(de)(de)(de)(de)過(guo)(guo)程(cheng)。結合式(2-178)和(he)式(2-179),東北大學特殊(shu)鋼冶金(jin)(jin)(jin)研究所在(zai)(zai)控制溫度不(bu)變(bian)的(de)(de)(de)(de)基礎上,計算了不(bu)同(tong)(tong)壓(ya)(ya)力(li)(li)下(xia)各(ge)元素(su)(su)在(zai)(zai)兩相(xiang)(xiang)(xiang)中的(de)(de)(de)(de)擴(kuo)(kuo)(kuo)(kuo)散(san)(san)系(xi)數,探討凝(ning)固(gu)(gu)壓(ya)(ya)力(li)(li)與擴(kuo)(kuo)(kuo)(kuo)散(san)(san)激活(huo)能(neng)的(de)(de)(de)(de)關系(xi)。凝(ning)固(gu)(gu)過(guo)(guo)程(cheng)中溫度T=1478K時(shi)(shi),合金(jin)(jin)(jin)元素(su)(su)(鉬、鎢(wu)(wu)、釩和(he)鉻)在(zai)(zai)M2C相(xiang)(xiang)(xiang)和(he)奧氏體(ti)相(xiang)(xiang)(xiang)γ中的(de)(de)(de)(de)擴(kuo)(kuo)(kuo)(kuo)散(san)(san)系(xi)數D隨(sui)壓(ya)(ya)力(li)(li)的(de)(de)(de)(de)變(bian)化(hua)(hua)規(gui)律如圖2-127和(he)圖2-128所示;從整體(ti)上看,隨(sui)著壓(ya)(ya)力(li)(li)的(de)(de)(de)(de)逐(zhu)漸增大,同(tong)(tong)溫度M2C相(xiang)(xiang)(xiang)中的(de)(de)(de)(de)合金(jin)(jin)(jin)元素(su)(su)鉬和(he)鎢(wu)(wu)的(de)(de)(de)(de)擴(kuo)(kuo)(kuo)(kuo)散(san)(san)系(xi)數D呈減小趨勢,而(er)合金(jin)(jin)(jin)元素(su)(su)釩和(he)鉻則(ze)呈增大的(de)(de)(de)(de)趨勢,表明提高(gao)壓(ya)(ya)力(li)(li)可增大M2C中鉬、鎢(wu)(wu)元素(su)(su)的(de)(de)(de)(de)擴(kuo)(kuo)(kuo)(kuo)散(san)(san)激活(huo)能(neng)ΔGm,進而(er)降(jiang)低其(qi)(qi)擴(kuo)(kuo)(kuo)(kuo)散(san)(san)能(neng)力(li)(li);同(tong)(tong)時(shi)(shi)降(jiang)低釩、鉻元素(su)(su)的(de)(de)(de)(de)擴(kuo)(kuo)(kuo)(kuo)散(san)(san)激活(huo)能(neng)ΔGm,從而(er)提高(gao)其(qi)(qi)擴(kuo)(kuo)(kuo)(kuo)散(san)(san)能(neng)力(li)(li)。然而(er),當壓(ya)(ya)力(li)(li)在(zai)(zai)0.1~2MPa范圍(wei)內變(bian)化(hua)(hua)時(shi)(shi),各(ge)元素(su)(su)擴(kuo)(kuo)(kuo)(kuo)散(san)(san)系(xi)數的(de)(de)(de)(de)變(bian)化(hua)(hua)微乎(hu)其(qi)(qi)微,即保(bao)持(chi)恒定值(zhi)。隨(sui)著凝(ning)固(gu)(gu)壓(ya)(ya)力(li)(li)逐(zhu)漸增大到50MPa,元素(su)(su)鉬的(de)(de)(de)(de)擴(kuo)(kuo)(kuo)(kuo)散(san)(san)系(xi)數才開始(shi)產(chan)生較為(wei)明顯的(de)(de)(de)(de)變(bian)化(hua)(hua),鎢(wu)(wu)、釩和(he)鉻元素(su)(su)的(de)(de)(de)(de)擴(kuo)(kuo)(kuo)(kuo)散(san)(san)系(xi)數甚(shen)至在(zai)(zai)100MPa壓(ya)(ya)力(li)(li)下(xia)仍(reng)未(wei)產(chan)生變(bian)化(hua)(hua)。因此低壓(ya)(ya)下(xia),元素(su)(su)擴(kuo)(kuo)(kuo)(kuo)散(san)(san)系(xi)數隨(sui)壓(ya)(ya)力(li)(li)的(de)(de)(de)(de)變(bian)化(hua)(hua)可忽(hu)略不(bu)計。


的(de)(de)(de)增(zeng)(zeng)大(da)而(er)降低(di),鉻元(yuan)素的(de)(de)(de)擴(kuo)散(san)系(xi)數則隨(sui)著凝固壓力(li)(li)(li)的(de)(de)(de)增(zeng)(zeng)大(da)而(er)增(zeng)(zeng)加,如(ru)圖2-128所示(shi)。即(ji)增(zeng)(zeng)大(da)凝固壓力(li)(li)(li)具有提高奧氏(shi)體(ti)γ相(xiang)(xiang)中合金(jin)元(yuan)素鉬(mu)、鎢和釩的(de)(de)(de)擴(kuo)散(san)激(ji)活能(neng)(neng)ΔGm,降低(di)其(qi)擴(kuo)散(san)能(neng)(neng)力(li)(li)(li)以及減小(xiao)元(yuan)素鉻的(de)(de)(de)擴(kuo)散(san)激(ji)活能(neng)(neng)ΔGm和增(zeng)(zeng)大(da)其(qi)擴(kuo)散(san)能(neng)(neng)力(li)(li)(li)的(de)(de)(de)作(zuo)用。與(yu)M2C差別(bie)在(zai)于,在(zai)奧氏(shi)體(ti)相(xiang)(xiang)γ中,較小(xiao)的(de)(de)(de)凝固壓力(li)(li)(li)便(bian)可發揮比(bi)較明顯(xian)(xian)的(de)(de)(de)作(zuo)用,例如(ru):當凝固壓力(li)(li)(li)大(da)于2MPa時(shi),元(yuan)素鉻的(de)(de)(de)擴(kuo)散(san)系(xi)數隨(sui)壓力(li)(li)(li)的(de)(de)(de)增(zeng)(zeng)加而(er)明顯(xian)(xian)增(zeng)(zeng)大(da);鉬(mu)和釩元(yuan)素則在(zai)10MPa時(shi)開(kai)始隨(sui)壓力(li)(li)(li)增(zeng)(zeng)加而(er)明顯(xian)(xian)減小(xiao)。可見,在(zai)相(xiang)(xiang)同(tong)溫度(du)下(xia),相(xiang)(xiang)比(bi)于M2C相(xiang)(xiang),合金(jin)元(yuan)素釩、鎢、鉬(mu)和鉻在(zai)奧氏(shi)體(ti)γ相(xiang)(xiang)中的(de)(de)(de)擴(kuo)散(san)情況受凝固壓力(li)(li)(li)的(de)(de)(de)影響更為明顯(xian)(xian)。但(dan)在(zai)0.1~2MPa的(de)(de)(de)壓力(li)(li)(li)范圍內,合金(jin)元(yuan)素在(zai)奧氏(shi)體(ti)相(xiang)(xiang)γ中的(de)(de)(de)擴(kuo)散(san)系(xi)數幾乎保持不(bu)變(㎡/s):DMo=1.13214x10-14、Dw=1.23805x10-14、Dv=1.39269x10-14、Dcr=1.18654x10-14,同(tong)時(shi),各(ge)元(yuan)素擴(kuo)散(san)激(ji)活能(neng)(neng)ΔGm也(ye)未發生(sheng)明顯(xian)(xian)變化。
綜上所述,在(zai)低(di)壓(ya)下,影響M2C形(xing)核(he)(he)率的(de)(de)主要因素(su)是(shi)隨凝固(gu)壓(ya)力增(zeng)(zeng)大而顯著減小(xiao)的(de)(de)形(xing)核(he)(he)功。增(zeng)(zeng)加凝固(gu)壓(ya)力可顯著改善換熱(re)條件(jian)強化(hua)鑄(zhu)錠(ding)冷(leng)卻、提高(gao)鑄(zhu)錠(ding)過(guo)冷(leng)度(du)ΔT,進而降低(di)共晶反應過(guo)程中奧氏(shi)體相γ和M2C相的(de)(de)形(xing)核(he)(he)功ΔG*,最(zui)終增(zeng)(zeng)大M2C的(de)(de)形(xing)核(he)(he)率、減小(xiao)M2C相鄰碳化(hua)物(wu)的(de)(de)間距。
此外,增(zeng)加(jia)(jia)壓(ya)力使(shi)M2C形核(he)率(lv)大(da)大(da)增(zeng)加(jia)(jia),同時強化(hua)了鑄錠冷卻,顯著降低了局部凝固時間(jian)LST,導致加(jia)(jia)壓(ya)下鑄錠同位置(zhi)的(de)(de)凝固相對(dui)(dui)較快,M2C共晶碳(tan)化(hua)物生長時間(jian)變短,導致M42凝固組(zu)織中M2C碳(tan)化(hua)物的(de)(de)尺寸減小。這對(dui)(dui)于后續的(de)(de)熱處理(li)碳(tan)化(hua)物的(de)(de)溶解具有積極(ji)的(de)(de)意義。
圖(tu)2-129為不(bu)同凝(ning)固(gu)壓(ya)(ya)力下M2C共晶碳(tan)(tan)化(hua)物在(zai)熱(re)(re)(re)處理過程中(zhong)的元素擴(kuo)散(san)示意圖(tu)。隨著凝(ning)固(gu)壓(ya)(ya)力的增大,碳(tan)(tan)化(hua)物由長條狀(zhuang)(zhuang)轉(zhuan)變為短棒狀(zhuang)(zhuang),在(zai)縱向和(he)橫向上的尺寸均顯(xian)著減(jian)小(xiao)。因此,在(zai)熱(re)(re)(re)處理過程中(zhong),碳(tan)(tan)化(hua)物中(zhong)的元素由內向外擴(kuo)散(san)的平均距(ju)離也(ye)相應(ying)隨著凝(ning)固(gu)壓(ya)(ya)力的增大而顯(xian)著減(jian)小(xiao),熱(re)(re)(re)處理效果更(geng)加明(ming)顯(xian),熱(re)(re)(re)處理后M42組織的成分(fen)更(geng)加均勻,進(jin)而有利于提高M42高速鋼(gang)的質量(liang)。

b. 碳化物成分
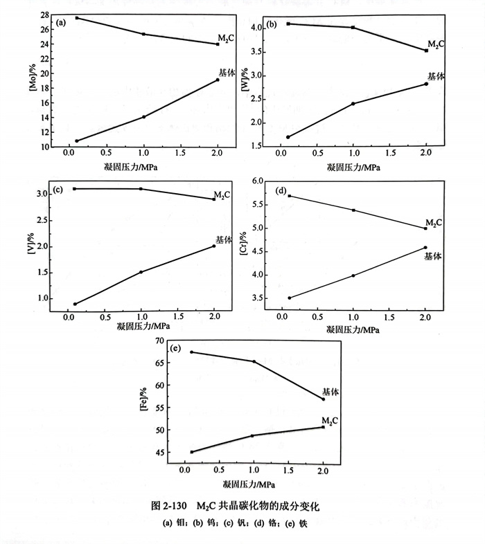
M2C的(de)(de)(de)形成元(yuan)素(su)(su)(su)主要包括(kuo)鉬、鎢(wu)(wu)(wu)、釩(fan)(fan)(fan)和(he)鉻(ge)(ge),其中(zhong)鉬元(yuan)素(su)(su)(su)是強(qiang)M2C碳(tan)化物形成元(yuan)素(su)(su)(su),也是M2C中(zhong)含(han)量(liang)最高的(de)(de)(de)合(he)(he)金元(yuan)素(su)(su)(su)。圖2-130給出了(le)不(bu)同壓力(li)下M2C中(zhong)合(he)(he)金元(yuan)素(su)(su)(su)鉬、鎢(wu)(wu)(wu)、釩(fan)(fan)(fan)和(he)鉻(ge)(ge)含(han)量(liang),隨(sui)著壓力(li)的(de)(de)(de)增(zeng)大,M2C上的(de)(de)(de)合(he)(he)金元(yuan)素(su)(su)(su)鉬、鎢(wu)(wu)(wu)、釩(fan)(fan)(fan)和(he)鉻(ge)(ge)含(han)量(liang)均逐漸(jian)(jian)減小,而(er)鐵元(yuan)素(su)(su)(su)則逐漸(jian)(jian)增(zeng)大;同時,M2C碳(tan)化物之間(jian)基(ji)體(ti)中(zhong)合(he)(he)金元(yuan)素(su)(su)(su)含(han)量(liang)則呈現相(xiang)反的(de)(de)(de)規律:鉬、鎢(wu)(wu)(wu)、釩(fan)(fan)(fan)和(he)鉻(ge)(ge)元(yuan)素(su)(su)(su)含(han)量(liang)逐漸(jian)(jian)增(zeng)大,而(er)鐵元(yuan)素(su)(su)(su)減少。這表明,增(zeng)大的(de)(de)(de)壓力(li)使得合(he)(he)金元(yuan)素(su)(su)(su)在M2C共晶碳(tan)化物中(zhong)的(de)(de)(de)分布趨(qu)于均勻,為(wei)后續(xu)的(de)(de)(de)處理、熱加工工藝中(zhong)碳(tan)化物的(de)(de)(de)破碎、溶(rong)解提供良好的(de)(de)(de)基(ji)礎。

在高(gao)速鋼中,M2C共(gong)晶碳(tan)化物是(shi)通過(guo)凝固過(guo)程中的(de)共(gong)晶反應L→M2C+y產生的(de),在這個(ge)過(guo)程中存(cun)在M2C碳(tan)化物相(xiang)和奧氏體(ti)γ相(xiang)之間的(de)溶質再分配[172].在一定溫度(du)下,平衡(heng)分配系數可表(biao)示為固相(xiang)和液相(xiang)中的(de)元素(su)濃度(du)之比:

式中(zhong),Cs和CL分別表示(shi)在凝固過(guo)(guo)程(cheng)中(zhong),元素在固相(xiang)和液(ye)相(xiang)中(zhong)的(de)平衡濃度。共晶反(fan)應(ying)L→M2C+y是在凝固末(mo)期(qi)發生的(de),圖(tu)2-131給出了不同(tong)壓力下的(de)M42高速鋼凝固時共晶反(fan)應(ying)過(guo)(guo)程(cheng)中(zhong)M2C碳化(hua)物相(xiang)和奧氏(shi)體γ相(xiang)中(zhong)各(ge)元素的(de)單相(xiang)平衡分配系(xi)數。
式中(zhong),Cs和(he)C1分(fen)別表示在(zai)凝固過程(cheng)中(zhong),元(yuan)素在(zai)固相和(he)液相中(zhong)的(de)平衡濃(nong)度。共(gong)晶反應L→M2C+y是在(zai)凝固末(mo)期(qi)發生的(de)[172,180,181],圖2-131給出了不(bu)同壓力(li)下(xia)的(de)M42高速鋼(gang)凝固時共(gong)晶反應過程(cheng)中(zhong)M2C碳化物相和(he)奧氏體y相中(zhong)各元(yuan)素的(de)單(dan)相平衡分(fen)配系(xi)數。
隨壓力(li)的(de)(de)(de)增(zeng)(zeng)加(jia),共(gong)晶反(fan)應過(guo)(guo)程(cheng)中鉬元(yuan)(yuan)素(su)在M2C和奧氏(shi)(shi)體γ相(xiang)(xiang)(xiang)(xiang)中的(de)(de)(de)分(fen)配系(xi)數(shu)(shu)具有升高的(de)(de)(de)趨(qu)勢并逐漸靠近1.基于(yu)(yu)熱力(li)學分(fen)析,在M42鑄錠凝固時的(de)(de)(de)共(gong)晶反(fan)應過(guo)(guo)程(cheng)中,增(zeng)(zeng)大(da)壓力(li)可使(shi)鉬元(yuan)(yuan)素(su)在M2C碳(tan)化物相(xiang)(xiang)(xiang)(xiang)和奧氏(shi)(shi)體γ相(xiang)(xiang)(xiang)(xiang)中的(de)(de)(de)含量(liang)增(zeng)(zeng)大(da)。凝固過(guo)(guo)程(cheng)中M2C碳(tan)化物相(xiang)(xiang)(xiang)(xiang)和奧氏(shi)(shi)體γ相(xiang)(xiang)(xiang)(xiang)中的(de)(de)(de)鉬元(yuan)(yuan)素(su)平衡(heng)(heng)分(fen)配系(xi)數(shu)(shu)增(zeng)(zeng)量(liang)變化規律如圖2-132所(suo)示(shi),在0.1MPa、1MPa和2MPa時,M2C碳(tan)化物相(xiang)(xiang)(xiang)(xiang)中的(de)(de)(de)鉬元(yuan)(yuan)素(su)平衡(heng)(heng)分(fen)配系(xi)數(shu)(shu)增(zeng)(zeng)量(liang)始終大(da)于(yu)(yu)奧氏(shi)(shi)體γ相(xiang)(xiang)(xiang)(xiang)中的(de)(de)(de)平衡(heng)(heng)分(fen)配系(xi)數(shu)(shu)增(zeng)(zeng)量(liang)。由此可知,共(gong)晶反(fan)應過(guo)(guo)程(cheng)中,相(xiang)(xiang)(xiang)(xiang)比(bi)于(yu)(yu)奧氏(shi)(shi)體γ相(xiang)(xiang)(xiang)(xiang),鉬元(yuan)(yuan)素(su)更偏(pian)向于(yu)(yu)在M2C相(xiang)(xiang)(xiang)(xiang)中富(fu)集。

在(zai)0.1~2MPa壓力范圍(wei)(wei)內(nei),加(jia)壓對Mo元(yuan)素(su)(su)的(de)(de)平(ping)(ping)衡(heng)分配(pei)系數影響非常小,變化量為(wei)10-6~10-5,可忽略(lve)不計(ji),因(yin)而(er)在(zai)低壓范圍(wei)(wei)內(nei),增加(jia)壓力不能通過(guo)改變元(yuan)素(su)(su)平(ping)(ping)衡(heng)分配(pei)系數而(er)影響相(xiang)(xiang)成分。除平(ping)(ping)衡(heng)分配(pei)系數以外,鑄錠(ding)凝(ning)(ning)固(gu)過(guo)程(cheng)中(zhong)(zhong)溶(rong)(rong)質的(de)(de)分配(pei)情況與元(yuan)素(su)(su)的(de)(de)傳質行為(wei)有關。在(zai)M42鑄錠(ding)凝(ning)(ning)固(gu)末期(qi)的(de)(de)共晶(jing)反(fan)應L→M2C+y過(guo)程(cheng)中(zhong)(zhong)存在(zai)M2C碳(tan)化物相(xiang)(xiang)和奧氏體γ相(xiang)(xiang)之間的(de)(de)溶(rong)(rong)質再分配(pei):液(ye)相(xiang)(xiang)中(zhong)(zhong)的(de)(de)M2C形成元(yuan)素(su)(su)(鉬、鎢(wu)、釩和鉻)通過(guo)凝(ning)(ning)固(gu)前沿固(gu)/液(ye)界面向(xiang)M2C碳(tan)化物相(xiang)(xiang)富集,同時奧氏體γ相(xiang)(xiang)形成元(yuan)素(su)(su)(鈷(gu)、鐵)則向(xiang)奧氏體相(xiang)(xiang)富集,整個反(fan)應發生在(zai)凝(ning)(ning)固(gu)末期(qi)的(de)(de)枝(zhi)晶(jing)間小熔(rong)池內(nei),此時液(ye)相(xiang)(xiang)流動(dong)很弱(ruo),元(yuan)素(su)(su)對流傳質行為(wei)可忽略(lve),因(yin)而(er)溶(rong)(rong)質的(de)(de)分配(pei)主要與相(xiang)(xiang)中(zhong)(zhong)元(yuan)素(su)(su)的(de)(de)擴散傳質行為(wei)有關。
根據(ju)菲克第(di)一定律(lv)公(gong)式(2-178)可(ke)知,擴散(san)(san)系(xi)(xi)數(shu)(shu)D與(yu)溫度T呈反比(bi)關(guan)系(xi)(xi)。圖2-133為2MPa下M2C形成元素的擴散(san)(san)系(xi)(xi)數(shu)(shu)隨溫度的變(bian)化關(guan)系(xi)(xi)。在(zai)凝固(gu)(gu)壓力不變(bian)時,溫度的降(jiang)低會顯著(zhu)減小(xiao)擴散(san)(san)系(xi)(xi)數(shu)(shu),在(zai)低壓范圍內(nei),相(xiang)對于凝固(gu)(gu)壓力變(bian)化,溫度變(bian)化對擴散(san)(san)系(xi)(xi)數(shu)(shu)D具有更(geng)明顯的影響。
增大(da)壓(ya)力(li)(li)具有顯著強化冷(leng)卻和(he)減少鑄錠(ding)局部凝固(gu)時間的(de)(de)作用。由此(ci)可(ke)知,對(dui)(dui)于0.1MPa、1MPa和(he)2MPa壓(ya)力(li)(li)下的(de)(de)鑄錠(ding)凝固(gu)過(guo)程,在相(xiang)同的(de)(de)凝固(gu)時間內,在較(jiao)高壓(ya)力(li)(li)下凝固(gu)的(de)(de)鑄錠(ding)冷(leng)卻更快,溫(wen)度(du)更低,其元(yuan)(yuan)素擴散系數則相(xiang)對(dui)(dui)較(jiao)低,導致元(yuan)(yuan)素擴散速率減小(xiao),使得M2C共晶碳化物(wu)中釩、鎢、鉻和(he)鉬元(yuan)(yuan)素含量降低,碳化物(wu)間基體的(de)(de)合金元(yuan)(yuan)素含量升高,降低了M2C碳化物(wu)和(he)奧氏體γ相(xiang)之間的(de)(de)成(cheng)(cheng)分差異性,提高了M42凝固(gu)組織成(cheng)(cheng)分的(de)(de)均勻性。

c. 碳化物(wu)形貌
M2C碳化(hua)物明顯具有各向異性的(de)生長方式,形(xing)貌(mao)具有小(xiao)平(ping)(ping)面向的(de)特性。共(gong)(gong)晶組織的(de)形(xing)貌(mao)與(yu)共(gong)(gong)晶過程中(zhong)(zhong)液(ye)/固(gu)界面結構有密切聯系(xi),金(jin)屬相(xiang)(xiang)(xiang)-金(jin)屬碳化(hua)物相(xiang)(xiang)(xiang)共(gong)(gong)晶屬于小(xiao)平(ping)(ping)面相(xiang)(xiang)(xiang)-非小(xiao)平(ping)(ping)面相(xiang)(xiang)(xiang)共(gong)(gong)晶[146].M2C是(shi)通過凝固(gu)末期(qi)枝(zhi)晶間熔池里的(de)共(gong)(gong)晶反(fan)M2C共(gong)(gong)晶碳化(hua)物形(xing)成于凝固(gu)末期(qi)枝(zhi)晶間殘(can)余液(ye)相(xiang)(xiang)(xiang)中(zhong)(zhong),根據凝固(gu)原(yuan)理。枝(zhi)晶間殘(can)余液(ye)相(xiang)(xiang)(xiang)中(zhong)(zhong)元素含(han)(han)量明顯高于鑄錠標準含(han)(han)量。不同壓力下枝(zhi)晶間液(ye)相(xiang)(xiang)(xiang)中(zhong)(zhong)各相(xiang)(xiang)(xiang)出現(xian)的(de)先后順(shun)序,如圖(tu)2-135所示,在不同壓力下,M2C均領(ling)先奧氏體(ti)相(xiang)(xiang)(xiang)γ出現(xian)。這(zhe)表明,在共(gong)(gong)晶反(fan)應(ying)L→y+M2C過程中(zhong)(zhong),M2C是(shi)領(ling)先相(xiang)(xiang)(xiang)。

在(zai)共晶凝(ning)(ning)(ning)固(gu)過(guo)程(cheng)中(zhong)(zhong),領(ling)先相(xiang)(xiang)(xiang)M2C的(de)(de)快(kuai)速生(sheng)長(chang)方(fang)向率(lv)(lv)(lv)(lv)先進入共生(sheng)界(jie)面(mian)(mian)前方(fang)的(de)(de)液(ye)體(ti)(ti)中(zhong)(zhong),同時在(zai)其附近(jin)液(ye)層中(zhong)(zhong)排出(chu)奧(ao)(ao)氏(shi)(shi)體(ti)(ti)形(xing)(xing)成元(yuan)素(su)(su);隨(sui)后奧(ao)(ao)氏(shi)(shi)體(ti)(ti)相(xiang)(xiang)(xiang)γ則(ze)依(yi)靠(kao)此(ci)液(ye)層獲得(de)生(sheng)長(chang)組元(yuan),跟隨(sui)著(zhu)M2C一(yi)起長(chang)大(da)(da),同時也(ye)向液(ye)層中(zhong)(zhong)排出(chu)M2C形(xing)(xing)成元(yuan)素(su)(su),如(ru)圖2-136所示(shi)。隨(sui)著(zhu)凝(ning)(ning)(ning)固(gu)壓(ya)(ya)(ya)力(li)的(de)(de)增(zeng)大(da)(da),凝(ning)(ning)(ning)固(gu)速率(lv)(lv)(lv)(lv)增(zeng)加,M2C相(xiang)(xiang)(xiang)和奧(ao)(ao)氏(shi)(shi)體(ti)(ti)相(xiang)(xiang)(xiang)γ的(de)(de)生(sheng)長(chang)速率(lv)(lv)(lv)(lv)均加快(kuai)。一(yi)方(fang)面(mian)(mian),M2C碳(tan)(tan)化(hua)(hua)物(wu)(wu)相(xiang)(xiang)(xiang)鄰間(jian)距(ju)隨(sui)壓(ya)(ya)(ya)力(li)的(de)(de)增(zeng)大(da)(da)逐(zhu)漸(jian)減小,即(ji)奧(ao)(ao)氏(shi)(shi)體(ti)(ti)相(xiang)(xiang)(xiang)的(de)(de)液(ye)/固(gu)界(jie)面(mian)(mian)變(bian)窄;另一(yi)方(fang)面(mian)(mian),加壓(ya)(ya)(ya)使(shi)(shi)(shi)得(de)枝晶間(jian)殘余液(ye)相(xiang)(xiang)(xiang)中(zhong)(zhong)合金元(yuan)素(su)(su)沒(mei)有足夠時間(jian)進行(xing)充分擴散;導致奧(ao)(ao)氏(shi)(shi)體(ti)(ti)相(xiang)(xiang)(xiang)的(de)(de)液(ye)/固(gu)界(jie)面(mian)(mian)前沿合金元(yuan)素(su)(su)濃(nong)度急劇(ju)(ju)增(zeng)大(da)(da),成分過(guo)冷(leng)加劇(ju)(ju),奧(ao)(ao)氏(shi)(shi)體(ti)(ti)相(xiang)(xiang)(xiang)長(chang)大(da)(da)速率(lv)(lv)(lv)(lv)進一(yi)步(bu)增(zeng)大(da)(da),使(shi)(shi)(shi)得(de)M2C相(xiang)(xiang)(xiang)與奧(ao)(ao)氏(shi)(shi)體(ti)(ti)相(xiang)(xiang)(xiang)的(de)(de)生(sheng)長(chang)速率(lv)(lv)(lv)(lv)差逐(zhu)漸(jian)縮小。此(ci)外,奧(ao)(ao)氏(shi)(shi)體(ti)(ti)相(xiang)(xiang)(xiang)作為(wei)非小平面(mian)(mian)相(xiang)(xiang)(xiang),其生(sheng)長(chang)所需過(guo)冷(leng)度遠小于小平面(mian)(mian)相(xiang)(xiang)(xiang)的(de)(de)M2C碳(tan)(tan)化(hua)(hua)物(wu)(wu),使(shi)(shi)(shi)得(de)在(zai)凝(ning)(ning)(ning)固(gu)速率(lv)(lv)(lv)(lv)增(zeng)大(da)(da)的(de)(de)過(guo)程(cheng)中(zhong)(zhong)奧(ao)(ao)氏(shi)(shi)體(ti)(ti)相(xiang)(xiang)(xiang)的(de)(de)生(sheng)長(chang)速率(lv)(lv)(lv)(lv)增(zeng)量(liang)(liang)大(da)(da)于M2C碳(tan)(tan)化(hua)(hua)物(wu)(wu)相(xiang)(xiang)(xiang)的(de)(de)生(sheng)長(chang)速率(lv)(lv)(lv)(lv)增(zeng)量(liang)(liang)。因此(ci),隨(sui)著(zhu)壓(ya)(ya)(ya)力(li)的(de)(de)增(zeng)大(da)(da),枝晶間(jian)共晶組織中(zhong)(zhong)奧(ao)(ao)氏(shi)(shi)體(ti)(ti)相(xiang)(xiang)(xiang)γ的(de)(de)含(han)量(liang)(liang)相(xiang)(xiang)(xiang)對(dui)增(zeng)多,使(shi)(shi)(shi)得(de)M2C碳(tan)(tan)化(hua)(hua)物(wu)(wu)的(de)(de)生(sheng)長(chang)空間(jian)受到“排擠”,含(han)量(liang)(liang)相(xiang)(xiang)(xiang)對(dui)減少,最終M2C碳(tan)(tan)化(hua)(hua)物(wu)(wu)逐(zhu)漸(jian)呈現出(chu)被奧(ao)(ao)氏(shi)(shi)體(ti)(ti)相(xiang)(xiang)(xiang)γ“截斷”進而變(bian)短的(de)(de)形(xing)(xing)貌,如(ru)圖2-134所示(shi)。

四、夾雜物分布
夾雜物(wu)(wu)(wu)是影響鋼錠質量的(de)一個重要因素(su)。鋼中夾雜物(wu)(wu)(wu)主要包括冶煉(lian)過程中進(jin)行脫氧處(chu)理形(xing)成(cheng)的(de)脫氧產物(wu)(wu)(wu)、凝固過程元素(su)溶解度下降形(xing)成(cheng)的(de)氧化物(wu)(wu)(wu)、氮化物(wu)(wu)(wu)、硫化物(wu)(wu)(wu)等(deng)化合物(wu)(wu)(wu)以及爐渣和由(you)于(yu)沖刷而(er)進(jin)入鋼液的(de)耐(nai)火材料。
根據夾(jia)(jia)(jia)(jia)(jia)(jia)(jia)(jia)雜(za)(za)物(wu)的(de)來源,可以(yi)將鋼(gang)中(zhong)(zhong)的(de)夾(jia)(jia)(jia)(jia)(jia)(jia)(jia)(jia)雜(za)(za)物(wu)分為兩(liang)類:①外生(sheng)(sheng)夾(jia)(jia)(jia)(jia)(jia)(jia)(jia)(jia)雜(za)(za)物(wu)。外生(sheng)(sheng)夾(jia)(jia)(jia)(jia)(jia)(jia)(jia)(jia)雜(za)(za)物(wu)大部分為復合氧(yang)(yang)化(hua)物(wu)夾(jia)(jia)(jia)(jia)(jia)(jia)(jia)(jia)雜(za)(za),主要是由于(yu)(yu)鋼(gang)液接觸空氣生(sheng)(sheng)成(cheng)氧(yang)(yang)化(hua)物(wu)以(yi)及進入鋼(gang)液的(de)爐渣、耐(nai)火材料組成(cheng)。外生(sheng)(sheng)夾(jia)(jia)(jia)(jia)(jia)(jia)(jia)(jia)雜(za)(za)物(wu)外形(xing)不(bu)規則、尺(chi)寸大、構成(cheng)復雜(za)(za),常常位于(yu)(yu)鋼(gang)的(de)表層(ceng),具有(you)嚴重的(de)危(wei)害性。②內生(sheng)(sheng)夾(jia)(jia)(jia)(jia)(jia)(jia)(jia)(jia)雜(za)(za)物(wu)。內生(sheng)(sheng)夾(jia)(jia)(jia)(jia)(jia)(jia)(jia)(jia)雜(za)(za)物(wu)是由于(yu)(yu)脫(tuo)氧(yang)(yang)、鋼(gang)水鈣處(chu)理等(deng)物(wu)化(hua)反應而(er)形(xing)成(cheng)的(de)夾(jia)(jia)(jia)(jia)(jia)(jia)(jia)(jia)雜(za)(za)物(wu)。內生(sheng)(sheng)夾(jia)(jia)(jia)(jia)(jia)(jia)(jia)(jia)雜(za)(za)物(wu)在鋼(gang)液中(zhong)(zhong)數量較多,分布均勻(yun),顆粒細小。由于(yu)(yu)形(xing)成(cheng)時(shi)間不(bu)同,內生(sheng)(sheng)夾(jia)(jia)(jia)(jia)(jia)(jia)(jia)(jia)雜(za)(za)物(wu)可分為:鋼(gang)液脫(tuo)氧(yang)(yang)時(shi)期生(sheng)(sheng)成(cheng)的(de)氧(yang)(yang)化(hua)物(wu),也稱為原生(sheng)(sheng)夾(jia)(jia)(jia)(jia)(jia)(jia)(jia)(jia)雜(za)(za)物(wu)或一次夾(jia)(jia)(jia)(jia)(jia)(jia)(jia)(jia)雜(za)(za)物(wu);溫度降(jiang)低造(zao)成(cheng)化(hua)學反應平衡的(de)移(yi)動進而(er)析出(chu)二次夾(jia)(jia)(jia)(jia)(jia)(jia)(jia)(jia)雜(za)(za)物(wu);由于(yu)(yu)溶質元素偏析和溶解度變化(hua)而(er)析出(chu)的(de)三次夾(jia)(jia)(jia)(jia)(jia)(jia)(jia)(jia)雜(za)(za)物(wu)甚至四次夾(jia)(jia)(jia)(jia)(jia)(jia)(jia)(jia)雜(za)(za)物(wu)。
夾雜(za)物(wu)作為凝固組(zu)織(zhi)的(de)(de)(de)(de)重(zhong)要組(zu)成(cheng)部分(fen)(fen)(fen)(fen),其特性(xing)至關重(zhong)要,對(dui)于進一步揭(jie)示(shi)加(jia)壓(ya)冶(ye)金(jin)的(de)(de)(de)(de)優勢十分(fen)(fen)(fen)(fen)關鍵。非金(jin)屬(shu)夾雜(za)物(wu)的(de)(de)(de)(de)特性(xing)(數量、尺寸和(he)(he)分(fen)(fen)(fen)(fen)布等)對(dui)鋼(gang)的(de)(de)(de)(de)性(xing)能(力(li)(li)學性(xing)能和(he)(he)腐蝕(shi)等)有重(zhong)要影(ying)響。同(tong)時,改善鋼(gang)中夾雜(za)物(wu)的(de)(de)(de)(de)分(fen)(fen)(fen)(fen)布情況并盡(jin)可(ke)能徹(che)底地去除非金(jin)屬(shu)夾雜(za)物(wu)可(ke)以有效地減少缺陷和(he)(he)提高性(xing)能。為了(le)改善夾雜(za)物(wu)的(de)(de)(de)(de)分(fen)(fen)(fen)(fen)布,施加(jia)在夾雜(za)物(wu)上的(de)(de)(de)(de)力(li)(li)包(bao)括重(zhong)力(li)(li)、浮(fu)力(li)(li)、曳力(li)(li),附(fu)加(jia)質量力(li)(li)、升力(li)(li)和(he)(he)反彈力(li)(li)等起著關鍵作用(yong)。這些力(li)(li)主要是(shi)通(tong)(tong)過(guo)(guo)溫度(du)、流場(chang)、重(zhong)力(li)(li)場(chang)和(he)(he)電(dian)磁場(chang)等物(wu)理(li)(li)場(chang)來確定(ding)。因(yin)此(ci),可(ke)以通(tong)(tong)過(guo)(guo)采取一系列(lie)措施優化物(wu)理(li)(li)場(chang)來改善夾雜(za)物(wu)分(fen)(fen)(fen)(fen)布。例如,鋼(gang)包(bao)中使用(yong)的(de)(de)(de)(de)氣(qi)體攪拌、連鑄過(guo)(guo)程(cheng)中添(tian)加(jia)磁場(chang)。對(dui)于加(jia)壓(ya)冶(ye)金(jin),壓(ya)力(li)(li)是(shi)關鍵因(yin)素。目(mu)前(qian),已經證實加(jia)壓(ya)會在各個方面影(ying)響凝固過(guo)(guo)程(cheng)中的(de)(de)(de)(de)物(wu)理(li)(li)場(chang),包(bao)括加(jia)壓(ya)通(tong)(tong)過(guo)(guo)加(jia)快鑄錠的(de)(de)(de)(de)冷卻速率和(he)(he)加(jia)強鑄錠與鑄模之間的(de)(de)(de)(de)熱交換來改變溫度(du)場(chang),通(tong)(tong)過(guo)(guo)改變糊狀區域的(de)(de)(de)(de)大小和(he)(he)枝晶結構影(ying)響流場(chang)等。
因此(ci),可以認為在凝固(gu)過程中(zhong)壓(ya)力具有改(gai)變夾雜(za)物(wu)分(fen)布(bu)的(de)能力,并且壓(ya)力對(dui)(dui)夾雜(za)物(wu)分(fen)布(bu)的(de)影響機(ji)制(zhi)非(fei)常復雜(za),然(ran)而,關(guan)于(yu)加壓(ya)對(dui)(dui)夾雜(za)物(wu)分(fen)布(bu)變化的(de)影響研(yan)究(jiu)相對(dui)(dui)較少。這表明(ming)加壓(ya)對(dui)(dui)凝固(gu)組織的(de)影響機(ji)理尚(shang)未全(quan)面闡明(ming)。
1. 夾雜物分(fen)布分(fen)析模(mo)型
在實(shi)際凝(ning)固過程中,夾(jia)(jia)雜(za)物(wu)的(de)(de)受力情況、運(yun)動(dong)軌跡(ji)很難(nan)通過實(shi)驗(yan)進行測量(liang)。數(shu)值(zhi)模(mo)擬提供了(le)一種可(ke)以深入了(le)解某些無法通過實(shi)驗(yan)評估的(de)(de)現(xian)象的(de)(de)方法。這些現(xian)象包括夾(jia)(jia)雜(za)物(wu)的(de)(de)運(yun)動(dong)軌跡(ji),作用(yong)于夾(jia)(jia)雜(za)物(wu)的(de)(de)力和夾(jia)(jia)雜(za)物(wu)的(de)(de)速(su)度等。根據電渣、連(lian)鑄和鋼包精煉等過程中的(de)(de)相關研究(jiu),數(shu)值(zhi)模(mo)擬是一種非常有效的(de)(de)研究(jiu)夾(jia)(jia)雜(za)物(wu)運(yun)動(dong)行為的(de)(de)方法。
鋼液凝固過(guo)程涉及熱量傳遞、質量傳輸、動量傳輸、相(xiang)轉變和晶(jing)粒形核長(chang)大等一系列復雜(za)的物理化學現(xian)象(xiang),同時存在金屬(shu)固相(xiang)、金屬(shu)液相(xiang)、氣相(xiang)和夾(jia)雜(za)物相(xiang)等多個相(xiang)之間的相(xiang)互作(zuo)用,適合應用歐(ou)(ou)拉(la)(la)(la)多項(xiang)流(liu)模(mo)(mo)型進行計(ji)算求解(jie)。其中,根據(ju)對(dui)夾(jia)雜(za)物運動行為處理方式,夾(jia)雜(za)物分布分析模(mo)(mo)型可以分為歐(ou)(ou)拉(la)(la)(la)-拉(la)(la)(la)格(ge)朗日模(mo)(mo)型和歐(ou)(ou)拉(la)(la)(la)-歐(ou)(ou)拉(la)(la)(la)模(mo)(mo)型。
a. 歐(ou)拉-拉格朗日模型(xing)歐(ou)拉-
拉格朗日離(li)散(san)相(xiang)模(mo)(mo)型是在歐拉模(mo)(mo)型的(de)基礎上,將夾(jia)雜物(wu)(wu)相(xiang)處理成離(li)散(san)相(xiang),而流(liu)體相(xiang)處理為連(lian)續相(xiang)。根(gen)據球(qiu)型夾(jia)雜物(wu)(wu)的(de)受力(li)分析,基于牛頓第二定(ding)律,建立夾(jia)雜物(wu)(wu)運(yun)動(dong)模(mo)(mo)型,并與鋼(gang)液凝(ning)固(gu)模(mo)(mo)型耦合,從而模(mo)(mo)擬夾(jia)雜物(wu)(wu)在凝(ning)固(gu)過程運(yun)動(dong)行為。該模(mo)(mo)型可(ke)以跟(gen)蹤每(mei)個(ge)夾(jia)雜物(wu)(wu)顆(ke)粒并獲得(de)其速度、運(yun)動(dong)軌跡以及夾(jia)雜物(wu)(wu)去除過程中(zhong)的(de)動(dong)力(li)學行為。此外,該模(mo)(mo)型是基于離(li)散(san)相(xiang)體積比(bi)例(li)相(xiang)對較(jiao)低的(de)基本假設(she)而建立。
夾雜(za)物在(zai)鋼(gang)液中的運(yun)動,主(zhu)(zhu)要(yao)是(shi)各種力(li)(li)(li)(li)(li)(li)的共同作(zuo)用(yong)(yong)造成的。夾雜(za)物在(zai)鋼(gang)液中受(shou)力(li)(li)(li)(li)(li)(li)情(qing)況如圖2-137所示。可以看出(chu),夾雜(za)物顆粒(li)(li)受(shou)到(dao)主(zhu)(zhu)要(yao)作(zuo)用(yong)(yong)力(li)(li)(li)(li)(li)(li)分別為:由于(yu)顆粒(li)(li)自身性質(zhi)引(yin)起的力(li)(li)(li)(li)(li)(li),如重(zhong)力(li)(li)(li)(li)(li)(li)、浮力(li)(li)(li)(li)(li)(li)等(deng)(deng);由于(yu)顆粒(li)(li)與流體之間存在(zai)相對運(yun)動而產生的力(li)(li)(li)(li)(li)(li),如升力(li)(li)(li)(li)(li)(li)(Saffman)、附加質(zhi)量力(li)(li)(li)(li)(li)(li)、曳力(li)(li)(li)(li)(li)(li)和Magnus力(li)(li)(li)(li)(li)(li)等(deng)(deng);細小(xiao)夾雜(za)物在(zai)高溫條件下(xia)受(shou)的布(bu)朗(Brown)力(li)(li)(li)(li)(li)(li)等(deng)(deng)。
(1)曳(ye)力。
在鋼液流(liu)(liu)場內黏性流(liu)(liu)體(ti)與(yu)顆粒(li)(li)之間存在相對運(yun)動(dong),由(you)黏性流(liu)(liu)體(ti)施加的(de)曳力使得夾雜物(wu)顆粒(li)(li)趨向于(yu)跟隨流(liu)(liu)體(ti)運(yun)動(dong)。曳力是夾雜物(wu)顆粒(li)(li)在凝固過程中的(de)主要受力之一。計算公式如下:

(2)浮力和重力。
在(zai)豎直方向上,夾雜物(wu)顆粒受到與相對運動無關的(de)力,包括(kuo)重力和浮(fu)力,其

(3)附加質量力。
當鋼液與(yu)夾雜(za)(za)物顆粒(li)(li)存(cun)在相對運(yun)(yun)(yun)動(dong)(dong)時,夾雜(za)(za)物顆粒(li)(li)會帶動(dong)(dong)其附近的部分(fen)鋼液做加速運(yun)(yun)(yun)動(dong)(dong),此時推動(dong)(dong)夾雜(za)(za)物顆粒(li)(li)運(yun)(yun)(yun)動(dong)(dong)的力大(da)于其顆粒(li)(li)本身(shen)慣性力,這部分(fen)大(da)于夾雜(za)(za)物顆粒(li)(li)本身(shen)慣性力的力即為(wei)附加質量力。其計算公式為(wei)

通過運用歐拉-拉格(ge)朗日模型對鋼(gang)(gang)液凝固過程進(jin)行模擬計算時,可(ke)以得出隨著溫度場(chang)和(he)流場(chang)的變化,每個球形夾雜物顆粒在(zai)鋼(gang)(gang)液中的運動軌(gui)跡和(he)分布。
b. 歐(ou)(ou)拉-歐(ou)(ou)拉模型(xing)
拉(la)(la)(la)(la)格朗日(ri)(ri)模(mo)(mo)型(xing)是(shi)研究(jiu)夾(jia)雜(za)(za)物(wu)(wu)顆粒在鋼液中(zhong)運動(dong)行(xing)(xing)為主要(yao)的方(fang)(fang)法(fa),但在實際的應用中(zhong)存(cun)在一些(xie)不足,例如,拉(la)(la)(la)(la)格朗日(ri)(ri)模(mo)(mo)型(xing)是(shi)針對單一粒子(zi)進行(xing)(xing)計(ji)算(suan),當(dang)同時追蹤(zong)多個(ge)粒子(zi)時,計(ji)算(suan)量過大,難以進行(xing)(xing)。相(xiang)(xiang)較于拉(la)(la)(la)(la)格朗日(ri)(ri)模(mo)(mo)型(xing),歐(ou)(ou)拉(la)(la)(la)(la)-歐(ou)(ou)拉(la)(la)(la)(la)模(mo)(mo)型(xing)中(zhong)夾(jia)雜(za)(za)物(wu)(wu)相(xiang)(xiang)的控制方(fang)(fang)程(cheng)與(yu)流體連續相(xiang)(xiang)的控制方(fang)(fang)程(cheng)相(xiang)(xiang)似,運算(suan)相(xiang)(xiang)對高效,能夠同時描述多種夾(jia)雜(za)(za)物(wu)(wu)顆粒在凝固(gu)過程(cheng)中(zhong)的分布特征。歐(ou)(ou)拉(la)(la)(la)(la)-歐(ou)(ou)拉(la)(la)(la)(la)模(mo)(mo)型(xing)與(yu)歐(ou)(ou)拉(la)(la)(la)(la)-拉(la)(la)(la)(la)格朗日(ri)(ri)模(mo)(mo)型(xing)相(xiang)(xiang)比,主要(yao)差別(bie)是(shi)夾(jia)雜(za)(za)物(wu)(wu)相(xiang)(xiang)的動(dong)量方(fang)(fang)程(cheng)存(cun)在差別(bie),歐(ou)(ou)拉(la)(la)(la)(la)-歐(ou)(ou)拉(la)(la)(la)(la)模(mo)(mo)型(xing)的夾(jia)雜(za)(za)物(wu)(wu)動(dong)量方(fang)(fang)程(cheng)表(biao)達式為

2. 模(mo)鑄過程中夾雜物的受(shou)力分析
模鑄過程(cheng)中,夾雜物所受作用力包括熱浮力、重力、附(fu)加質量力、升力以及相間作用力等,具體(ti)受力情(qing)況如圖2-138所示。

流場(chang)對夾(jia)(jia)雜(za)物(wu)的(de)分布有關(guan)鍵影響,這直(zhi)接歸因(yin)于(yu)作用(yong)于(yu)夾(jia)(jia)雜(za)物(wu)的(de)阻力(li)(li)(li)(li)。以0.1MPa下H13鑄錠凝(ning)固為例,鋼液、夾(jia)(jia)雜(za)物(wu)和(he)等(deng)軸晶(jing)(jing)的(de)流場(chang)和(he)速率均(jun)顯示(shi)(shi)在圖(tu)(tu)(tu)2-139中(zhong)。隨著(zhu)凝(ning)固的(de)進行,鋼液受熱浮(fu)力(li)(li)(li)(li)的(de)驅動逆時(shi)針(zhen)運(yun)(yun)(yun)動,如(ru)(ru)圖(tu)(tu)(tu)2-139(a)所示(shi)(shi)。同時(shi),隨著(zhu)重力(li)(li)(li)(li)和(he)浮(fu)力(li)(li)(li)(li)合力(li)(li)(li)(li)的(de)增加,等(deng)軸晶(jing)(jing)的(de)沉降連續發生在柱狀晶(jing)(jing)(tip)的(de)尖端,如(ru)(ru)圖(tu)(tu)(tu)2-139(b)所示(shi)(shi)。如(ru)(ru)圖(tu)(tu)(tu)2-139(c)所示(shi)(shi),夾(jia)(jia)雜(za)物(wu)流場(chang)中(zhong)出(chu)現(xian)逆時(shi)針(zhen)運(yun)(yun)(yun)動,與鋼液相似。這種運(yun)(yun)(yun)動行為主要(yao)是由作用(yong)在夾(jia)(jia)雜(za)物(wu)上的(de)合力(li)(li)(li)(li)引起的(de)。根據模擬結果,凝(ning)固過(guo)程中(zhong)重力(li)(li)(li)(li),浮(fu)力(li)(li)(li)(li)和(he)阻力(li)(li)(li)(li)在改變夾(jia)(jia)雜(za)物(wu)的(de)運(yun)(yun)(yun)動行為中(zhong)起著(zhu)關(guan)鍵作用(yong),因(yin)為它們比(bi)附(fu)加質(zhi)量(liang)(liang)力(li)(li)(li)(li)和(he)升(sheng)力(li)(li)(li)(li)大(da)了三個數量(liang)(liang)級(ji)。重力(li)(li)(li)(li)和(he)浮(fu)力(li)(li)(li)(li)的(de)方向均(jun)為垂(chui)直(zhi)方向,因(yin)為夾(jia)(jia)雜(za)物(wu)的(de)密(mi)(mi)度(du)低于(yu)液體的(de)密(mi)(mi)度(du),故其(qi)合力(li)(li)(li)(li)Fbg的(de)方向垂(chui)直(zhi)向上,如(ru)(ru)圖(tu)(tu)(tu)2-139(d)所示(shi)(shi)。

在(zai)(zai)整個凝固過(guo)程(cheng)中(zhong),Fbg保持不變,并使(shi)夾(jia)(jia)雜(za)(za)物(wu)上(shang)浮。相比之下(xia),曳力(li)(li)(li)Fdp是(shi)向下(xia)的(de)力(li)(li)(li),具有驅動夾(jia)(jia)雜(za)(za)物(wu)向下(xia)沉的(de)能力(li)(li)(li)。并且其變化是(shi)復雜(za)(za)的(de)。根據等式(2-204)可知(zhi),曳力(li)(li)(li)與(yu)鋼液和(he)(he)(he)夾(jia)(jia)雜(za)(za)物(wu)之間的(de)速度(du)差密(mi)切相關(guan)。在(zai)(zai)頂部和(he)(he)(he)底部,鋼液和(he)(he)(he)夾(jia)(jia)雜(za)(za)物(wu)速度(du)差很小,與(yu)Fbg相比,Fdp可以忽略不計。在(zai)(zai)柱(zhu)狀晶(jing)尖端附近的(de)曳力(li)(li)(li)Fdp大(da)于Fbg,是(shi)導(dao)致夾(jia)(jia)雜(za)(za)物(wu)下(xia)沉的(de)關(guan)鍵(jian)因素(su)。在(zai)(zai)鑄錠的(de)中(zhong)心(xin),Fdp小于Fbg,Fbg占(zhan)主導(dao),促(cu)使(shi)夾(jia)(jia)雜(za)(za)物(wu)上(shang)浮。因此,模鑄過(guo)程(cheng)中(zhong)夾(jia)(jia)雜(za)(za)物(wu)形成(cheng)逆時針運動,這主要是(shi)由重力(li)(li)(li)、浮力(li)(li)(li)和(he)(he)(he)曳力(li)(li)(li)的(de)綜合作用(yong)所驅動。
3. 模鑄過程(cheng)中壓(ya)力對(dui)夾雜物分布(bu)的影(ying)響
利用歐拉-歐拉模型在(zai)0.1MPa、1MPa和2MPa下(xia)獲得了H13鑄(zhu)錠夾(jia)(jia)(jia)(jia)雜(za)(za)(za)物(wu)(wu)(wu)(wu)體積(ji)分(fen)(fen)數的(de)(de)等值線,如圖2-140所(suo)示(shi)。每個(ge)鑄(zhu)錠中(zhong)都存(cun)在(zai)三個(ge)主(zhu)要的(de)(de)夾(jia)(jia)(jia)(jia)雜(za)(za)(za)物(wu)(wu)(wu)(wu)富(fu)(fu)(fu)(fu)(fu)集(ji)(ji)(ji)區(qu)(qu)(I、和III),其中(zhong),II區(qu)(qu)夾(jia)(jia)(jia)(jia)雜(za)(za)(za)物(wu)(wu)(wu)(wu)的(de)(de)富(fu)(fu)(fu)(fu)(fu)集(ji)(ji)(ji)度最低,III區(qu)(qu)的(de)(de)夾(jia)(jia)(jia)(jia)雜(za)(za)(za)物(wu)(wu)(wu)(wu)富(fu)(fu)(fu)(fu)(fu)集(ji)(ji)(ji)度最高,I區(qu)(qu)次之。三個(ge)夾(jia)(jia)(jia)(jia)雜(za)(za)(za)物(wu)(wu)(wu)(wu)富(fu)(fu)(fu)(fu)(fu)集(ji)(ji)(ji)區(qu)(qu)域主(zhu)要由夾(jia)(jia)(jia)(jia)雜(za)(za)(za)物(wu)(wu)(wu)(wu)逆時針運(yun)動(dong)以及被糊(hu)狀(zhuang)(zhuang)(zhuang)區(qu)(qu)捕(bu)(bu)集(ji)(ji)(ji)的(de)(de)綜(zong)合作用所(suo)導致。以0.1MPa 壓力(li)下(xia)夾(jia)(jia)(jia)(jia)雜(za)(za)(za)物(wu)(wu)(wu)(wu)分(fen)(fen)布為例,遠(yuan)離糊(hu)狀(zhuang)(zhuang)(zhuang)區(qu)(qu)的(de)(de)夾(jia)(jia)(jia)(jia)雜(za)(za)(za)物(wu)(wu)(wu)(wu)在(zai)逆時針運(yun)動(dong)過(guo)程(cheng)中(zhong)逐(zhu)漸(jian)上(shang)浮并富(fu)(fu)(fu)(fu)(fu)集(ji)(ji)(ji)到鑄(zhu)錠頂部(bu)(bu),如圖 2-140(c)所(suo)示(shi)。鑄(zhu)錠頂部(bu)(bu)富(fu)(fu)(fu)(fu)(fu)集(ji)(ji)(ji)的(de)(de)夾(jia)(jia)(jia)(jia)雜(za)(za)(za)物(wu)(wu)(wu)(wu)一部(bu)(bu)分(fen)(fen)被糊(hu)狀(zhuang)(zhuang)(zhuang)區(qu)(qu)捕(bu)(bu)獲,形(xing)成(cheng)了I區(qu)(qu),其余部(bu)(bu)分(fen)(fen)沿(yan)逆時針方(fang)向移動(dong),運(yun)動(dong)方(fang)向幾乎(hu)垂(chui)直于糊(hu)狀(zhuang)(zhuang)(zhuang)區(qu)(qu)法(fa)向量(liang)。與之相(xiang)比,在(zai)II和III區(qu)(qu)域內(nei),夾(jia)(jia)(jia)(jia)雜(za)(za)(za)物(wu)(wu)(wu)(wu)運(yun)動(dong)方(fang)向與糊(hu)狀(zhuang)(zhuang)(zhuang)區(qu)(qu)法(fa)向量(liang)成(cheng)鈍(dun)角,因而夾(jia)(jia)(jia)(jia)雜(za)(za)(za)物(wu)(wu)(wu)(wu)更加趨向于被II和III區(qu)(qu)域內(nei)糊(hu)狀(zhuang)(zhuang)(zhuang)區(qu)(qu)所(suo)捕(bu)(bu)獲,如圖2-141所(suo)示(shi),導致夾(jia)(jia)(jia)(jia)雜(za)(za)(za)物(wu)(wu)(wu)(wu)富(fu)(fu)(fu)(fu)(fu)集(ji)(ji)(ji)區(qu)(qu)II和III的(de)(de)形(xing)成(cheng)。同時,III區(qu)(qu)夾(jia)(jia)(jia)(jia)雜(za)(za)(za)物(wu)(wu)(wu)(wu)的(de)(de)富(fu)(fu)(fu)(fu)(fu)集(ji)(ji)(ji)程(cheng)度最高,原因是糊(hu)狀(zhuang)(zhuang)(zhuang)區(qu)(qu)較(jiao)寬,糊(hu)狀(zhuang)(zhuang)(zhuang)區(qu)(qu)夾(jia)(jia)(jia)(jia)雜(za)(za)(za)物(wu)(wu)(wu)(wu)捕(bu)(bu)獲能力(li)越強,富(fu)(fu)(fu)(fu)(fu)集(ji)(ji)(ji)趨勢更明(ming)顯。

隨著(zhu)壓力(li)(li)從0.1MPa增加到2MPa,I、II和III區夾雜物的富集度降(jiang)低(di),如2-140(b)所示,夾雜物體積分(fen)數的最大增量 4max隨壓力(li)(li)的增加而減小,在(zai)0.1MPa、1MPa和2MPa下(xia)分(fen)別為4.1x10-5、3.5x10-5和1.8x10-5,表明隨著(zhu)凝固(gu)壓力(li)(li)增加至(zhi)2MPa,鑄錠中夾雜物分(fen)布更(geng)加均(jun)勻(yun)。
糊(hu)(hu)狀(zhuang)區(qu)捕(bu)獲夾(jia)(jia)雜(za)物(wu)和(he)(he)夾(jia)(jia)雜(za)物(wu)從糊(hu)(hu)狀(zhuang)區(qu)逃脫的(de)(de)能力(li)對夾(jia)(jia)雜(za)物(wu)分(fen)布(bu)至關重要。結合液相線(xian)(xian)/固相線(xian)(xian)溫(wen)(wen)度(du)隨壓(ya)(ya)力(li)的(de)(de)變化(hua)(hua)規律可(ke)知,凝固區(qu)間(jian)(jian)變化(hua)(hua)很小(xiao),當壓(ya)(ya)力(li)從0.1MPa增(zeng)加(jia)到(dao)2MPa時可(ke)以忽略不計。因(yin)此(ci),糊(hu)(hu)狀(zhuang)區(qu)寬度(du)主(zhu)要由溫(wen)(wen)度(du)梯(ti)度(du)決(jue)定。如圖(tu)2-142(b)所示(shi),由于(yu)增(zeng)加(jia)壓(ya)(ya)力(li)后提(ti)高(gao)了冷卻(que)速(su)率導致(zhi)高(gao)壓(ya)(ya)下(xia)溫(wen)(wen)度(du)梯(ti)度(du)更大(da)。在(zai)較高(gao)壓(ya)(ya)力(li)下(xia),糊(hu)(hu)狀(zhuang)區(qu)域的(de)(de)長度(du)變短[150].另外,以圖(tu)2-142(a)中的(de)(de)A點為例(li),凝固時間(jian)(jian)隨壓(ya)(ya)力(li)的(de)(de)增(zeng)加(jia)而顯(xian)著減少(shao),在(zai)0.1MPa、1MPa和(he)(he)2MPa下(xia)分(fen)別為292s、272s和(he)(he)247s,凝固速(su)率隨壓(ya)(ya)力(li)的(de)(de)增(zeng)加(jia)而增(zeng)加(jia)。進而表(biao)明(ming),在(zai)較高(gao)的(de)(de)凝固壓(ya)(ya)力(li)下(xia)糊(hu)(hu)狀(zhuang)區(qu)的(de)(de)長度(du)較小(xiao)且凝固速(su)率較高(gao),因(yin)此(ci)糊(hu)(hu)狀(zhuang)區(qu)捕(bu)獲夾(jia)(jia)雜(za)物(wu)的(de)(de)能力(li)變弱。

A、B和(he)C點夾(jia)(jia)(jia)(jia)雜(za)物(wu)速(su)度(du)隨(sui)液相(xiang)體(ti)積(ji)(ji)分(fen)(fen)(fen)數(shu)(shu)的(de)變(bian)(bian)化(hua)(hua)如圖2-143所示(shi)。高溫度(du)梯度(du)通(tong)過增(zeng)大(da)(da)熱浮力(li)(li)來強(qiang)(qiang)化(hua)(hua)鋼(gang)液對流。另外(wai),研究了糊(hu)狀(zhuang)(zhuang)區(qu)中(zhong)夾(jia)(jia)(jia)(jia)雜(za)物(wu)的(de)速(su)度(du)隨(sui)曳力(li)(li)改的(de)相(xiang)應變(bian)(bian)化(hua)(hua)。凝固初期,糊(hu)狀(zhuang)(zhuang)區(qu)中(zhong)的(de)夾(jia)(jia)(jia)(jia)雜(za)物(wu)運動速(su)度(du)隨(sui)著壓力(li)(li)的(de)增(zeng)加而增(zeng)大(da)(da),在凝固后期,糊(hu)狀(zhuang)(zhuang)區(qu)內夾(jia)(jia)(jia)(jia)雜(za)物(wu)幾乎完(wan)全(quan)停止運動時(shi)(shi)液相(xiang)體(ti)積(ji)(ji)分(fen)(fen)(fen)數(shu)(shu)隨(sui)著壓力(li)(li)的(de)增(zeng)加而降低(di)。以(yi)點A為(wei)例,凝固初期(f=0.98),在0.1MPa、1MPa和(he)2MPa下夾(jia)(jia)(jia)(jia)雜(za)物(wu)速(su)度(du)分(fen)(fen)(fen)別為(wei)1.06×10-3m/s、1.19×10-3m/s和(he)1.52×10-3m/s.當糊(hu)狀(zhuang)(zhuang)區(qu)夾(jia)(jia)(jia)(jia)雜(za)物(wu)的(de)速(su)度(du)降低(di)到5x10-5m/s時(shi)(shi),0.1MPa、1MPa和(he)2MPa下的(de)液相(xiang)體(ti)積(ji)(ji)分(fen)(fen)(fen)數(shu)(shu)分(fen)(fen)(fen)別為(wei)0.74、0.68和(he)0.62.這(zhe)意(yi)味著夾(jia)(jia)(jia)(jia)雜(za)物(wu)從糊(hu)狀(zhuang)(zhuang)區(qu)逸出的(de)能力(li)(li)隨(sui)壓力(li)(li)增(zeng)加而增(zeng)強(qiang)(qiang)。

綜上(shang)所述,增加壓力(li)可以顯著抑制糊(hu)狀區中夾(jia)雜(za)(za)物(wu)的富(fu)集,并通過降(jiang)低糊(hu)狀區捕獲夾(jia)雜(za)(za)物(wu)的能力(li),提高夾(jia)雜(za)(za)物(wu)從糊(hu)狀區中逸出(chu)的能力(li),使鑄錠內(nei)夾(jia)雜(za)(za)物(wu)分(fen)布更(geng)加均勻。

