一、坯(pi)料穿(chuan)(擴)孔時的金(jin)屬流(liu)動
不(bu)銹鋼管擠壓生產工藝過程中的穿孔工藝是指在立式穿孔機上,采用特殊形狀的穿孔頭,將實心的坯料穿孔成空心坯。而擴孔工藝則是將經預鉆孔的空心坯料在立式穿(擴)孔機上,采用特殊形狀的擴孔頭,進行空心坯的再擴孔。
實心坯(pi)的穿孔和(he)鉆孔坯(pi)的擴孔,其金屬(shu)流動可(ke)以按相同(tong)的圖(tu)像來描述。
1. 實心坯料(liao)穿孔時的(de)金屬流動(dong)
為了研究在(zai)立式穿(chuan)孔(kong)(kong)機上穿(chuan)孔(kong)(kong)時金屬的(de)流動,采用在(zai)兩端刻(ke)有(you)坐(zuo)標網格(ge),不(bu)帶潤滑劑(ji)的(de)坯料鐓粗后,穿(chuan)孔(kong)(kong)“中止”,從(cong)徑(jing)向平(ping)面上取樣(yang)制作顯微磨片(圖(tu)3-27)來進(jin)行分析(xi)。
由圖3-27可以看(kan)出,穿孔(kong)頭(tou)下(xia)端面形成倒錐形體的(de)金屬“停滯區”,其大小(xiao)取(qu)決于穿孔(kong)頭(tou)的(de)形狀和所(suo)使(shi)用的(de)工藝潤滑劑的(de)效果。
而(er)從穿孔(kong)余料(圖(tu)3-28)可以(yi)看(kan)出,在(zai)其上端面(mian)(圖(tu)3-28(a))留有坐(zuo)標網格的(de)痕跡,下端面(mian)(圖(tu)3-28(b))也(ye)留有坐(zuo)標網格的(de)痕跡,并在(zai)其徑(jing)向斷面(mian)的(de)顯微(wei)磨片上看(kan)得出有倒錐形“停滯區”的(de)金屬(shu)流線痕跡(圖(tu)3-28(c))。

據上所述(shu),對(dui)于不帶玻璃潤滑劑的實心坯料穿孔工藝過程的金(jin)屬流(liu)動可(ke)做如下描述(shu):
當穿(chuan)(chuan)孔(kong)(kong)過程開(kai)始(shi)時,坯料(liao)進(jin)行預鐓粗,使坯料(liao)沿圓周方向(xiang)金(jin)(jin)屬(shu)(shu)流(liu)動充(chong)滿(man)穿(chuan)(chuan)孔(kong)(kong)筒。此時,坯料(liao)直徑(jing)與穿(chuan)(chuan)孔(kong)(kong)筒直徑(jing)相同。當穿(chuan)(chuan)孔(kong)(kong)桿下降,穿(chuan)(chuan)孔(kong)(kong)頭接觸坯料(liao)上(shang)端面(mian)時,由于工(gong)具與接觸坯料(liao)端面(mian)間的(de)(de)(de)摩擦,在其(qi)接觸面(mian)下形成倒(dao)錐(zhui)(zhui)體(ti)形的(de)(de)(de)“停滯(zhi)區”。當穿(chuan)(chuan)孔(kong)(kong)桿繼續下降時,停滯(zhi)的(de)(de)(de)錐(zhui)(zhui)體(ti)狀金(jin)(jin)屬(shu)(shu)成為穿(chuan)(chuan)孔(kong)(kong)頭的(de)(de)(de)“前(qian)錐(zhui)(zhui)”,并(bing)隨(sui)著穿(chuan)(chuan)孔(kong)(kong)頭的(de)(de)(de)向(xiang)下推進(jin),“前(qian)錐(zhui)(zhui)”金(jin)(jin)屬(shu)(shu)楔入坯料(liao)中心,使向(xiang)徑(jing)向(xiang)延伸的(de)(de)(de)變形金(jin)(jin)屬(shu)(shu)沿著穿(chuan)(chuan)孔(kong)(kong)頭周邊和(he)穿(chuan)(chuan)孔(kong)(kong)筒內壁向(xiang)上(shang)流(liu)動。
在穿(chuan)(chuan)(chuan)(chuan)孔(kong)過(guo)程結束(shu)時(shi),穿(chuan)(chuan)(chuan)(chuan)孔(kong)頭下(xia)面(mian)的停滯(zhi)金屬留在穿(chuan)(chuan)(chuan)(chuan)孔(kong)余(yu)料(liao)的上(shang)端面(mian)。穿(chuan)(chuan)(chuan)(chuan)孔(kong)余(yu)料(liao)進入“封(feng)底”剪切(qie)環后(hou)被(bei)切(qie)斷。而穿(chuan)(chuan)(chuan)(chuan)孔(kong)坯料(liao)的下(xia)表(biao)面(mian)則(ze)由未變(bian)形的金屬組成。
在(zai)穿(chuan)(chuan)(chuan)孔過(guo)程中,由于穿(chuan)(chuan)(chuan)孔頭下面部(bu)分(fen)金(jin)(jin)(jin)屬產生(sheng)最強烈(lie)的(de)變形(xing)(xing),導致坯料中心部(bu)位金(jin)(jin)(jin)屬的(de)嚴重(zhong)不(bu)均勻(yun)變形(xing)(xing)。穿(chuan)(chuan)(chuan)孔空心坯內(nei)表面金(jin)(jin)(jin)屬強烈(lie)的(de)不(bu)均勻(yun)變形(xing)(xing)是最容易產生(sheng)缺陷的(de)部(bu)位。因而,往(wang)往(wang)在(zai)低塑性材料管材生(sheng)產時,穿(chuan)(chuan)(chuan)孔空心坯在(zai)擠壓前,會進行冷卻(que)、酸(suan)洗(xi)、檢查及磨修工序。
穿(chuan)(chuan)(chuan)孔(kong)(kong)時,玻(bo)璃潤(run)(run)滑(hua)劑的(de)(de)(de)(de)(de)(de)使(shi)用,使(shi)穿(chuan)(chuan)(chuan)孔(kong)(kong)頭(tou)(tou)下面(mian)的(de)(de)(de)(de)(de)(de)金屬停滯(zhi)(zhi)區大大減小,甚至(zhi)良好的(de)(de)(de)(de)(de)(de)潤(run)(run)滑(hua)劑可(ke)以完全取代金屬停滯(zhi)(zhi)區的(de)(de)(de)(de)(de)(de)體積。特別是下端面(mian)凹(ao)形穿(chuan)(chuan)(chuan)孔(kong)(kong)頭(tou)(tou)(圖2-28)的(de)(de)(de)(de)(de)(de)采用,使(shi)穿(chuan)(chuan)(chuan)孔(kong)(kong)頭(tou)(tou)的(de)(de)(de)(de)(de)(de)凹(ao)形端面(mian)的(de)(de)(de)(de)(de)(de)接觸處成(cheng)為潤(run)(run)滑(hua)劑的(de)(de)(de)(de)(de)(de)“特殊儲存器(qi)”,潤(run)(run)滑(hua)劑的(de)(de)(de)(de)(de)(de)熔化部分在穿(chuan)(chuan)(chuan)孔(kong)(kong)頭(tou)(tou)的(de)(de)(de)(de)(de)(de)周圍(wei)及其(qi)與(yu)變形金屬之(zhi)間被均勻地擠(ji)出一層(ceng)玻(bo)璃潤(run)(run)滑(hua)劑,潤(run)(run)滑(hua)穿(chuan)(chuan)(chuan)孔(kong)(kong)頭(tou)(tou)和坯料(liao)(liao)的(de)(de)(de)(de)(de)(de)內表面(mian),以降(jiang)低摩(mo)擦系(xi)數(shu),使(shi)剪切變形限制在潤(run)(run)滑(hua)層(ceng)的(de)(de)(de)(de)(de)(de)范(fan)圍(wei)內,從而(er)降(jiang)低了不銹鋼管坯內表面(mian)產生(sheng)缺陷的(de)(de)(de)(de)(de)(de)可(ke)能性,尤其(qi)是對于長坯料(liao)(liao)的(de)(de)(de)(de)(de)(de)生(sheng)產效果(guo)更為顯(xian)著。
同樣(yang),坯料(liao)的(de)外涂粉(fen)為(wei)坯料(liao)金屬與穿(chuan)孔筒內襯(chen)的(de)內表面接(jie)觸提供了潤(run)滑條件,使穿(chuan)孔時(shi)的(de)摩擦力和不均勻變形區減小,有利于(yu)空(kong)心(xin)坯表面質量的(de)提高。
2. 預(yu)鉆孔坯料擴孔時的金屬流動
預鉆孔坯料的擴(kuo)孔過(guo)程沒有坯料的鐓粗(cu)工序(xu)。
擴(kuo)(kuo)(kuo)孔(kong)過程開(kai)始(shi)時,在特殊形(xing)狀擴(kuo)(kuo)(kuo)孔(kong)頭向下移動(dong)的(de)(de)作用(yong)下,坯料(liao)金屬開(kai)始(shi)塑(su)性流動(dong)。金屬首先向側面(mian)擴(kuo)(kuo)(kuo)張流動(dong),至充滿坯料(liao)和穿孔(kong)筒內表面(mian)之間(jian)的(de)(de)間(jian)隙。然后向上流動(dong)。當擴(kuo)(kuo)(kuo)孔(kong)時的(de)(de)擴(kuo)(kuo)(kuo)徑(jing)力轉變為(wei)剪切力的(de)(de)瞬間(jian),進行擴(kuo)(kuo)(kuo)孔(kong)余料(liao)的(de)(de)切除,結束整個擴(kuo)(kuo)(kuo)孔(kong)過程。
擴孔過程中各(ge)階(jie)段金屬的流動如(ru)圖3-29所示。

二、坯料(liao)穿(擴)孔時變形力的確定
1. 坯料穿孔時鐓粗力的確定
表述在穿孔筒中鐓壓(ya)圓柱體的(de)公(gong)式(shi)尚無(wu),采用Siebel自由鍛(duan)公(gong)式(shi)來(lai)確定坯料的(de)鐓粗力。一般(ban)模鍛(duan)的(de)壓(ya)力為自由鍛(duan)壓(ya)力的(de)一倍(bei)。根(gen)據阿(a)亨工業(ye)大(da)學塑性變形研(yan)究所(suo)的(de)試驗(yan)指出,鍛(duan)壓(ya)力模鍛(duan)比自由鍛(duan)大(da)一倍(bei)以上。坯料穿孔時鐓粗力的(de)計算公(gong)式(shi)如下:

尼科波爾南方鋼管廠計算敦粗力(li)的簡單公式:


2. 實心坯(pi)料(liao)穿孔時穿孔力(li)的確定
實心坯料穿孔時(shi)的計算公式如下:

b. 尼科波爾南(nan)方(fang)鋼管廠(chang)確定(ding)穿孔(kong)力的公式:


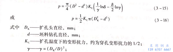
3. 預鉆(zhan)孔坯料擴孔時(shi)擴孔力的確定
預鉆(zhan)孔坯料擴孔時擴孔力的計(ji)算公式如下(xia):


尼科波爾南(nan)方鋼管廠(chang)的經(jing)驗認為:
a. 在(zai)預鉆孔(kong)坯料擴孔(kong)時,坯料在(zai)穿孔(kong)機上(shang)不進行鐓粗。其延伸系數取大于1,但比實心坯料穿孔(kong)時小。
b. 擴孔(kong)力可以按實心坯料穿孔(kong)的公式來計算(suan),其大(da)小取為計算(suan)值(zhi)的25%~30%.

