目前,研究不銹鋼應力腐蝕概率的模型有兩類,隨機變量模型和隨機過程模型。
1. 隨機變量模型
該模型(xing)(xing)(xing)是(shi)在確(que)定(ding)(ding)論基礎(chu)上(shang)發展起來的(de)(de)(de)(de)(de)。首先確(que)定(ding)(ding)系統退(tui)化特征(zheng)值(zhi),然(ran)后(hou)(hou)再(zai)建立(li)特征(zheng)值(zhi)與相關(guan)變(bian)(bian)(bian)(bian)量(liang)(liang)的(de)(de)(de)(de)(de)關(guan)系式,再(zai)將公式中(zhong)的(de)(de)(de)(de)(de)變(bian)(bian)(bian)(bian)量(liang)(liang)看(kan)成(cheng)隨(sui)(sui)機(ji)(ji)(ji)(ji)(ji)變(bian)(bian)(bian)(bian)量(liang)(liang),最后(hou)(hou)通過相應(ying)的(de)(de)(de)(de)(de)計算方法(fa)(fa)得出結果。隨(sui)(sui)機(ji)(ji)(ji)(ji)(ji)變(bian)(bian)(bian)(bian)量(liang)(liang)是(shi)影響特征(zheng)值(zhi)的(de)(de)(de)(de)(de)一(yi)些重(zhong)要物理(li)量(liang)(liang),可(ke)(ke)(ke)以是(shi)自變(bian)(bian)(bian)(bian)量(liang)(liang),也可(ke)(ke)(ke)以是(shi)因(yin)變(bian)(bian)(bian)(bian)量(liang)(liang),還可(ke)(ke)(ke)以是(shi)無關(guan)變(bian)(bian)(bian)(bian)量(liang)(liang)。隨(sui)(sui)機(ji)(ji)(ji)(ji)(ji)變(bian)(bian)(bian)(bian)量(liang)(liang)可(ke)(ke)(ke)分(fen)(fen)(fen)為離(li)散型(xing)(xing)(xing)隨(sui)(sui)機(ji)(ji)(ji)(ji)(ji)變(bian)(bian)(bian)(bian)量(liang)(liang)和連(lian)續(xu)型(xing)(xing)(xing)隨(sui)(sui)機(ji)(ji)(ji)(ji)(ji)變(bian)(bian)(bian)(bian)量(liang)(liang),離(li)散型(xing)(xing)(xing)隨(sui)(sui)機(ji)(ji)(ji)(ji)(ji)變(bian)(bian)(bian)(bian)量(liang)(liang)具有(you)分(fen)(fen)(fen)布(bu)(bu)律(lv)(lv),連(lian)續(xu)型(xing)(xing)(xing)隨(sui)(sui)機(ji)(ji)(ji)(ji)(ji)變(bian)(bian)(bian)(bian)量(liang)(liang)具有(you)概率(lv)(lv)(lv)密度函(han)數f(x)以及(ji)(ji)概率(lv)(lv)(lv)分(fen)(fen)(fen)布(bu)(bu)函(han)數F(x),分(fen)(fen)(fen)布(bu)(bu)律(lv)(lv)和分(fen)(fen)(fen)布(bu)(bu)函(han)數可(ke)(ke)(ke)分(fen)(fen)(fen)別(bie)描述不同類型(xing)(xing)(xing)隨(sui)(sui)機(ji)(ji)(ji)(ji)(ji)變(bian)(bian)(bian)(bian)量(liang)(liang)的(de)(de)(de)(de)(de)概率(lv)(lv)(lv)特性,對于研(yan)究(jiu)應(ying)力腐(fu)蝕隨(sui)(sui)機(ji)(ji)(ji)(ji)(ji)性中(zhong)的(de)(de)(de)(de)(de)隨(sui)(sui)機(ji)(ji)(ji)(ji)(ji)變(bian)(bian)(bian)(bian)量(liang)(liang)一(yi)般(ban)都(dou)是(shi)連(lian)續(xu)型(xing)(xing)(xing)的(de)(de)(de)(de)(de),如材(cai)料性能、環(huan)境(jing)中(zhong)離(li)子濃度、溫(wen)度、載荷等。確(que)定(ding)(ding)隨(sui)(sui)機(ji)(ji)(ji)(ji)(ji)變(bian)(bian)(bian)(bian)量(liang)(liang)分(fen)(fen)(fen)布(bu)(bu)類型(xing)(xing)(xing)以及(ji)(ji)參數是(shi)概率(lv)(lv)(lv)研(yan)究(jiu)的(de)(de)(de)(de)(de)重(zhong)要內(nei)容,它們(men)將直(zhi)接影響失(shi)效概率(lv)(lv)(lv)的(de)(de)(de)(de)(de)計算結果及(ji)(ji)其精確(que)度。因(yin)此,隨(sui)(sui)機(ji)(ji)(ji)(ji)(ji)變(bian)(bian)(bian)(bian)量(liang)(liang)的(de)(de)(de)(de)(de)概率(lv)(lv)(lv)分(fen)(fen)(fen)布(bu)(bu)特性研(yan)究(jiu)是(shi)一(yi)項基礎(chu)性的(de)(de)(de)(de)(de)研(yan)究(jiu)工(gong)作。一(yi)般(ban)由(you)(you)觀測數據(ju)確(que)定(ding)(ding)隨(sui)(sui)機(ji)(ji)(ji)(ji)(ji)變(bian)(bian)(bian)(bian)量(liang)(liang)概率(lv)(lv)(lv)分(fen)(fen)(fen)布(bu)(bu)類型(xing)(xing)(xing),并(bing)在此基礎(chu)上(shang)確(que)定(ding)(ding)其參數;當由(you)(you)已(yi)有(you)的(de)(de)(de)(de)(de)觀測數據(ju)難以確(que)定(ding)(ding)該隨(sui)(sui)機(ji)(ji)(ji)(ji)(ji)變(bian)(bian)(bian)(bian)量(liang)(liang)的(de)(de)(de)(de)(de)理(li)論分(fen)(fen)(fen)布(bu)(bu)形(xing)式時(shi),則定(ding)(ding)義一(yi)個實驗分(fen)(fen)(fen)布(bu)(bu),再(zai)進行擬(ni)合檢驗,最后(hou)(hou)根據(ju)有(you)限比較法(fa)(fa)選擇其中(zhong)的(de)(de)(de)(de)(de)最優(you)概率(lv)(lv)(lv)分(fen)(fen)(fen)布(bu)(bu)類型(xing)(xing)(xing)作為參數的(de)(de)(de)(de)(de)概率(lv)(lv)(lv)分(fen)(fen)(fen)布(bu)(bu)類型(xing)(xing)(xing)。正態分(fen)(fen)(fen)布(bu)(bu)、Weibull分(fen)(fen)(fen)布(bu)(bu)、指數分(fen)(fen)(fen)布(bu)(bu)以及(ji)(ji)Poisson(泊松)分(fen)(fen)(fen)布(bu)(bu)等都(dou)是(shi)應(ying)力腐(fu)蝕概率(lv)(lv)(lv)分(fen)(fen)(fen)析中(zhong)常(chang)用的(de)(de)(de)(de)(de)概率(lv)(lv)(lv)分(fen)(fen)(fen)布(bu)(bu)類型(xing)(xing)(xing)。
參數估計(ji)(ji)的(de)(de)(de)方(fang)法(fa)(fa)(fa)有(you)(you)(you)矩估計(ji)(ji)法(fa)(fa)(fa)、最(zui)大(極大)似然法(fa)(fa)(fa)、最(zui)小(xiao)二乘(cheng)法(fa)(fa)(fa)和貝(bei)葉(xie)斯估計(ji)(ji)法(fa)(fa)(fa),其中矩估計(ji)(ji)法(fa)(fa)(fa)、最(zui)大(極大)似然法(fa)(fa)(fa)最(zui)為常用(yong)。矩估計(ji)(ji)法(fa)(fa)(fa)對任何(he)總(zong)體(ti)都可(ke)以用(yong),不(bu)需要事先知道(dao)總(zong)體(ti)的(de)(de)(de)分(fen)布(bu),方(fang)法(fa)(fa)(fa)簡單,但是,變量分(fen)布(bu)特征(zheng)沒(mei)有(you)(you)(you)得到(dao)有(you)(you)(you)效使用(yong),一般情況下,該(gai)方(fang)法(fa)(fa)(fa)的(de)(de)(de)估計(ji)(ji)量有(you)(you)(you)多個。最(zui)大似然法(fa)(fa)(fa)是在總(zong)體(ti)類(lei)型已(yi)知條(tiao)件下使用(yong)的(de)(de)(de)一種參數估計(ji)(ji)方(fang)法(fa)(fa)(fa),認為未知參數的(de)(de)(de)估計(ji)(ji)值應(ying)使樣(yang)本觀(guan)測(ce)值出現的(de)(de)(de)概(gai)率最(zui)大。有(you)(you)(you)些(xie)隨機參數總(zong)體(ti)服(fu)從(cong)什么分(fen)布(bu)是未知的(de)(de)(de),我們要對總(zong)體(ti)是否服(fu)從(cong)某種分(fen)布(bu)作檢(jian)(jian)驗(yan),這樣(yang)的(de)(de)(de)檢(jian)(jian)驗(yan)稱為分(fen)布(bu)的(de)(de)(de)檢(jian)(jian)驗(yan)。常用(yong)的(de)(de)(de)樣(yang)本概(gai)率分(fen)布(bu)檢(jian)(jian)驗(yan)方(fang)法(fa)(fa)(fa)主要有(you)(you)(you):χ2檢(jian)(jian)驗(yan)、J-B檢(jian)(jian)驗(yan)、A-D檢(jian)(jian)驗(yan)、K-S檢(jian)(jian)驗(yan)以及正(zheng)態分(fen)布(bu)的(de)(de)(de)概(gai)率紙檢(jian)(jian)驗(yan)等。χ2檢(jian)(jian)驗(yan)法(fa)(fa)(fa)可(ke)適用(yong)于離(li)散型或連續型分(fen)布(bu),是一種應(ying)用(yong)比較廣泛的(de)(de)(de)分(fen)布(bu)檢(jian)(jian)驗(yan)法(fa)(fa)(fa)。
2. 隨機(ji)過程模型(xing)
隨(sui)(sui)(sui)(sui)(sui)機(ji)(ji)過(guo)(guo)(guo)(guo)(guo)程(cheng)(cheng)(cheng)(cheng)按(an)統(tong)計特性可(ke)分為(wei)平穩(wen)(wen)隨(sui)(sui)(sui)(sui)(sui)機(ji)(ji)過(guo)(guo)(guo)(guo)(guo)程(cheng)(cheng)(cheng)(cheng)和非(fei)(fei)平穩(wen)(wen)隨(sui)(sui)(sui)(sui)(sui)機(ji)(ji)過(guo)(guo)(guo)(guo)(guo)程(cheng)(cheng)(cheng)(cheng),按(an)照記憶特性可(ke)分為(wei)純粹隨(sui)(sui)(sui)(sui)(sui)機(ji)(ji)過(guo)(guo)(guo)(guo)(guo)程(cheng)(cheng)(cheng)(cheng)、馬爾科夫隨(sui)(sui)(sui)(sui)(sui)機(ji)(ji)過(guo)(guo)(guo)(guo)(guo)程(cheng)(cheng)(cheng)(cheng)和獨(du)立增(zeng)量隨(sui)(sui)(sui)(sui)(sui)機(ji)(ji)過(guo)(guo)(guo)(guo)(guo)程(cheng)(cheng)(cheng)(cheng);按(an)概率(lv)分布(bu)函數(shu)可(ke)分為(wei)高(gao)斯(si)隨(sui)(sui)(sui)(sui)(sui)機(ji)(ji)過(guo)(guo)(guo)(guo)(guo)程(cheng)(cheng)(cheng)(cheng)和非(fei)(fei)高(gao)斯(si)隨(sui)(sui)(sui)(sui)(sui)機(ji)(ji)過(guo)(guo)(guo)(guo)(guo)程(cheng)(cheng)(cheng)(cheng)。平穩(wen)(wen)隨(sui)(sui)(sui)(sui)(sui)機(ji)(ji)過(guo)(guo)(guo)(guo)(guo)程(cheng)(cheng)(cheng)(cheng)是(shi)(shi)一類基本的(de)(de)、重(zhong)要的(de)(de)隨(sui)(sui)(sui)(sui)(sui)機(ji)(ji)過(guo)(guo)(guo)(guo)(guo)程(cheng)(cheng)(cheng)(cheng),實際工程(cheng)(cheng)(cheng)(cheng)領域所遇到的(de)(de)很多概率(lv)問題都可(ke)以認(ren)為(wei)是(shi)(shi)平穩(wen)(wen)隨(sui)(sui)(sui)(sui)(sui)機(ji)(ji)過(guo)(guo)(guo)(guo)(guo)程(cheng)(cheng)(cheng)(cheng),平穩(wen)(wen)隨(sui)(sui)(sui)(sui)(sui)機(ji)(ji)過(guo)(guo)(guo)(guo)(guo)程(cheng)(cheng)(cheng)(cheng)的(de)(de)統(tong)計特性不隨(sui)(sui)(sui)(sui)(sui)時(shi)間的(de)(de)變化而發(fa)生變化,也就(jiu)是(shi)(shi)說,對于(yu)時(shi)間t的(de)(de)任(ren)意(yi)n個數(shu)值t1,t2,···,tn和任(ren)意(yi)實數(shu)r,如(ru)果隨(sui)(sui)(sui)(sui)(sui)機(ji)(ji)過(guo)(guo)(guo)(guo)(guo)程(cheng)(cheng)(cheng)(cheng)X(t)的(de)(de)n維分布(bu)函數(shu)滿足如(ru)下關系式,則X(t)稱為(wei)平穩(wen)(wen)隨(sui)(sui)(sui)(sui)(sui)機(ji)(ji)過(guo)(guo)(guo)(guo)(guo)程(cheng)(cheng)(cheng)(cheng)。

在研(yan)究(jiu)應力腐(fu)蝕隨機性問(wen)題中,泊(bo)松過(guo)程(cheng)(cheng)和馬(ma)爾科夫(fu)過(guo)程(cheng)(cheng)是常(chang)用的(de)兩種隨機過(guo)程(cheng)(cheng):
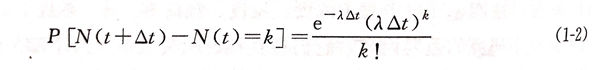
①. 泊(bo)松過程(cheng)(cheng)是(shi)一(yi)種重要(yao)的(de)(de)(de)獨立增量(liang)過程(cheng)(cheng),是(shi)服(fu)從泊(bo)松分(fen)布的(de)(de)(de)離散隨機過程(cheng)(cheng)。其應滿(man)足(zu)兩個條件(jian)。不同(tong)時間(jian)區(qu)間(jian)內所發生(sheng)(sheng)事(shi)(shi)件(jian)的(de)(de)(de)數(shu)目是(shi)相互獨立的(de)(de)(de)隨機變量(liang);在時間(jian)區(qu)間(jian)[t,t+Δ]內,發生(sheng)(sheng)事(shi)(shi)件(jian)數(shu)目的(de)(de)(de)概率分(fen)布為:

式中,λ為強(qiang)度因(yin)子(zi),表示單位(wei)時間內事(shi)件(jian)發(fa)生的平均數。
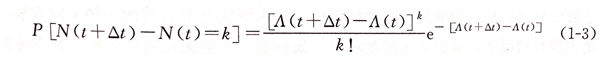
齊次(ci)泊松(song)過程(cheng)(homogenous Poison process,HPP)屬于平(ping)穩(wen)增量(liang)過程(cheng),因(yin)此(ci),λ為(wei)一正常(chang)數(shu),且均值E[X(t)]=λt.平(ping)穩(wen)增量(liang)過程(cheng)有時(shi)并不適(shi)合描(miao)述腐蝕的實際情(qing)況,因(yin)此(ci)引(yin)入了非(fei)齊次(ci)泊松(song)過程(cheng)(non-homogenous Poisson process,NHPP).在(zai)(zai)非(fei)齊次(ci)泊松(song)過程(cheng)中,強度因(yin)子成為(wei)一個與事(shi)件有關的強度函數(shu)λ(t), 代表(biao)了不同起始時(shi)間段事(shi)件發生(sheng)的數(shu)目。事(shi)件在(zai)(zai)Δ時(shi)間內發生(sheng)k次(ci)的概(gai)率為(wei):

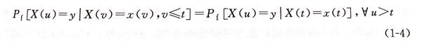
②. 馬爾科夫過程是一種應用極為廣(guang)泛的隨(sui)機過程,常用來研究材料的退化過程。該(gai)過程具有如(ru)下特(te)性,在(zai)已(yi)知(zhi)目前(qian)狀(zhuang)態(tai)X(t)條件下,它未來的狀(zhuang)態(tai)X(u)(u>t)不依(yi)賴于以往的狀(zhuang)態(tai)X(v)(v<t),只取決于當前(qian)狀(zhuang)態(tai),即:

在隨機過程研究中,通(tong)常把狀(zhuang)態(tai)和時間(jian)離散(san)化,這種馬氏(shi)(shi)過程稱為馬爾(er)科夫鏈(lian)(lian)(Markov chain,又稱馬氏(shi)(shi)鏈(lian)(lian))。對于馬爾(er)科夫鏈(lian)(lian),最重要(yao)的(de)是確定所(suo)有狀(zhuang)態(tai)間(jian)可見的(de)兩兩轉移(yi)概率(lv),假設一個(ge)馬氏(shi)(shi)鏈(lian)(lian)總共有N個(ge)狀(zhuang)態(tai),則其(qi)狀(zhuang)態(tai)轉移(yi)概率(lv)為一個(ge)NXN的(de)矩陣(zhen),由一步轉移(yi)概率(lv)可以寫出其(qi)轉移(yi)矩陣(zhen)為:

理論上,馬爾科(ke)夫過(guo)程(cheng)能很好(hao)地滿足(zu)工(gong)程(cheng)實際(ji),但(dan)在(zai)實際(ji)應用中會(hui)遇(yu)到(dao)不少問(wen)題,主(zhu)要有兩個(ge)難點:實驗(yan)數據的測量和轉移概率(lv)的計(ji)算。
3. 失(shi)效概率(lv)計(ji)算(suan)
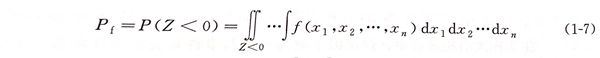
根據(ju)可靠(kao)性理論,把結(jie)(jie)構(gou)(gou)的(de)(de)可靠(kao)和(he)失(shi)(shi)效(xiao)兩(liang)種工作情(qing)況(kuang)的(de)(de)臨(lin)界狀(zhuang)(zhuang)態(tai)稱為結(jie)(jie)構(gou)(gou)的(de)(de)極(ji)限(xian)狀(zhuang)(zhuang)態(tai)。GB 50153-2008 中對(dui)結(jie)(jie)構(gou)(gou)極(ji)限(xian)狀(zhuang)(zhuang)態(tai)的(de)(de)定(ding)義為:整個結(jie)(jie)構(gou)(gou)或結(jie)(jie)構(gou)(gou)的(de)(de)某一部分(fen)超過某一特(te)定(ding)狀(zhuang)(zhuang)態(tai)就不能滿(man)足設(she)計規(gui)定(ding)的(de)(de)某一功(gong)能要(yao)求,此特(te)定(ding)狀(zhuang)(zhuang)態(tai)為該功(gong)能的(de)(de)極(ji)限(xian)狀(zhuang)(zhuang)態(tai)。當結(jie)(jie)構(gou)(gou)喪(sang)失(shi)(shi)了規(gui)定(ding)的(de)(de)功(gong)能時,就認為失(shi)(shi)效(xiao)。廣義的(de)(de)“失(shi)(shi)效(xiao)”認為只(zhi)要(yao)出現(xian)以下三(san)種情(qing)況(kuang)就是失(shi)(shi)效(xiao):
①. 完(wan)全不(bu)能(neng)工作(完(wan)全喪失功能(neng));
②. 雖仍能工作,但不能完(wan)全(quan)滿足(zu)規(gui)定的(de)功(gong)能(功(gong)能衰退);
③. 能工作(zuo)和(he)完(wan)成(cheng)規定功能,但不能確(que)保安全,應(ying)更換維修(xiu)。
結(jie)構的(de)極(ji)限狀態方程(cheng)為(wei):


失效(xiao)(xiao)(xiao)概率(lv)的(de)求(qiu)解(jie)方(fang)法(fa)(fa)主(zhu)要有三種:一(yi)(yi)是(shi)解(jie)析(xi)解(jie)法(fa)(fa);二(er)是(shi)近(jin)似(si)解(jie)法(fa)(fa);三是(shi)數(shu)(shu)(shu)值解(jie)法(fa)(fa),包括數(shu)(shu)(shu)值積(ji)分法(fa)(fa)和模擬法(fa)(fa)。解(jie)析(xi)解(jie)法(fa)(fa)是(shi)最直(zhi)接的(de)一(yi)(yi)種求(qiu)解(jie)方(fang)法(fa)(fa),但絕大(da)多數(shu)(shu)(shu)情(qing)況(kuang)下,解(jie)析(xi)解(jie)法(fa)(fa)很難(nan)求(qiu)出(chu)失效(xiao)(xiao)(xiao)概率(lv),只(zhi)能采用(yong)近(jin)似(si)解(jie)法(fa)(fa),其中最常用(yong)的(de)是(shi)一(yi)(yi)次(ci)二(er)階矩(ju)法(fa)(fa)。對于應力S和強度R都服(fu)從正態分布的(de)情(qing)況(kuang),采用(yong)一(yi)(yi)次(ci)二(er)階矩(ju)法(fa)(fa)計算可靠(kao)性系(xi)數(shu)(shu)(shu)β,一(yi)(yi)旦得到(dao)可靠(kao)性系(xi)數(shu)(shu)(shu),失效(xiao)(xiao)(xiao)概率(lv)可由(you)下式計算:

一次(ci)二(er)(er)階矩法存(cun)在(zai)一定的局(ju)限(xian)性(xing): 一般情形下精度(du)較差;極限(xian)狀態方程(cheng)缺乏(fa)不變性(xing)。為(wei)了(le)解決極限(xian)狀態方程(cheng)缺乏(fa)不變性(xing),1974年,Hasofer與Lind 對一次(ci)二(er)(er)階矩法進行了(le)改進,后被(bei)稱為(wei)改進的一次(ci)二(er)(er)階矩法,也稱為(wei)H-L法。
前兩種(zhong)(zhong)方(fang)(fang)(fang)法(fa)(fa)都是(shi)(shi)(shi)針(zhen)對服(fu)從正態分(fen)(fen)布(bu)的(de)(de)(de)(de)(de)隨(sui)(sui)(sui)機變量(liang)(liang),而(er)在實際工程問(wen)題(ti)(ti)中,很多隨(sui)(sui)(sui)機變量(liang)(liang)往往為(wei)非(fei)正態分(fen)(fen)布(bu),針(zhen)對這種(zhong)(zhong)情(qing)況,Fiessler等提出了量(liang)(liang)正態分(fen)(fen)析(xi)(xi)法(fa)(fa),這種(zhong)(zhong)方(fang)(fang)(fang)法(fa)(fa)可適應于求解(jie)任(ren)(ren)意分(fen)(fen)布(bu)隨(sui)(sui)(sui)機變量(liang)(liang)的(de)(de)(de)(de)(de)失(shi)(shi)效概(gai)(gai)(gai)(gai)(gai)率(lv)。數(shu)(shu)(shu)(shu)值(zhi)解(jie)法(fa)(fa)是(shi)(shi)(shi)求解(jie)失(shi)(shi)效概(gai)(gai)(gai)(gai)(gai)率(lv)的(de)(de)(de)(de)(de)常(chang)用(yong)(yong)方(fang)(fang)(fang)法(fa)(fa),數(shu)(shu)(shu)(shu)值(zhi)積(ji)分(fen)(fen)法(fa)(fa)和(he)解(jie)析(xi)(xi)解(jie)法(fa)(fa)一(yi)樣(yang),都是(shi)(shi)(shi)直(zhi)接積(ji)分(fen)(fen)求解(jie)結構的(de)(de)(de)(de)(de)失(shi)(shi)效概(gai)(gai)(gai)(gai)(gai)率(lv),但是(shi)(shi)(shi)受(shou)聯(lian)合(he)概(gai)(gai)(gai)(gai)(gai)率(lv)密(mi)度(du)函(han)數(shu)(shu)(shu)(shu)復雜性(xing)的(de)(de)(de)(de)(de)影響,這種(zhong)(zhong)方(fang)(fang)(fang)法(fa)(fa)的(de)(de)(de)(de)(de)使用(yong)(yong)范(fan)圍受(shou)到限制;而(er)數(shu)(shu)(shu)(shu)值(zhi)模(mo)擬法(fa)(fa)是(shi)(shi)(shi)解(jie)決復雜概(gai)(gai)(gai)(gai)(gai)率(lv)問(wen)題(ti)(ti)的(de)(de)(de)(de)(de)有效方(fang)(fang)(fang)法(fa)(fa)。隨(sui)(sui)(sui)著計(ji)(ji)算機容量(liang)(liang)和(he)計(ji)(ji)算速度(du)的(de)(de)(de)(de)(de)提高(gao)(gao),目前,數(shu)(shu)(shu)(shu)值(zhi)模(mo)擬法(fa)(fa)成(cheng)為(wei)概(gai)(gai)(gai)(gai)(gai)率(lv)分(fen)(fen)析(xi)(xi)的(de)(de)(de)(de)(de)一(yi)種(zhong)(zhong)普遍方(fang)(fang)(fang)法(fa)(fa),數(shu)(shu)(shu)(shu)值(zhi)模(mo)擬的(de)(de)(de)(de)(de)主(zhu)要作用(yong)(yong)是(shi)(shi)(shi)把概(gai)(gai)(gai)(gai)(gai)率(lv)模(mo)型轉化為(wei)統(tong)(tong)計(ji)(ji)問(wen)題(ti)(ti),以便(bian)可以采用(yong)(yong)標準統(tong)(tong)計(ji)(ji)學方(fang)(fang)(fang)法(fa)(fa)分(fen)(fen)析(xi)(xi)結果。蒙(meng)特卡羅模(mo)擬法(fa)(fa)是(shi)(shi)(shi)一(yi)種(zhong)(zhong)傳統(tong)(tong)的(de)(de)(de)(de)(de)計(ji)(ji)算方(fang)(fang)(fang)法(fa)(fa),它的(de)(de)(de)(de)(de)基本思想是(shi)(shi)(shi)用(yong)(yong)基本隨(sui)(sui)(sui)機變量(liang)(liang)的(de)(de)(de)(de)(de)聯(lian)合(he)概(gai)(gai)(gai)(gai)(gai)率(lv)密(mi)度(du)函(han)數(shu)(shu)(shu)(shu)進(jin)行抽樣(yang),用(yong)(yong)落入(ru)失(shi)(shi)效域內樣(yang)本點(dian)的(de)(de)(de)(de)(de)個數(shu)(shu)(shu)(shu)與總(zong)樣(yang)本點(dian)的(de)(de)(de)(de)(de)個數(shu)(shu)(shu)(shu)之比(bi)作為(wei)所(suo)定義(yi)的(de)(de)(de)(de)(de)失(shi)(shi)效概(gai)(gai)(gai)(gai)(gai)率(lv)。該(gai)方(fang)(fang)(fang)法(fa)(fa)不受(shou)隨(sui)(sui)(sui)機變量(liang)(liang)維數(shu)(shu)(shu)(shu)限制、不存在狀態空間爆炸(zha)問(wen)題(ti)(ti),且不受(shou)任(ren)(ren)何假設(she)約束,可以用(yong)(yong)來解(jie)決高(gao)(gao)維動態失(shi)(shi)效概(gai)(gai)(gai)(gai)(gai)率(lv)的(de)(de)(de)(de)(de)求解(jie)難(nan)題(ti)(ti),當抽樣(yang)試(shi)驗次數(shu)(shu)(shu)(shu)足夠多時,近(jin)似解(jie)的(de)(de)(de)(de)(de)精確(que)度(du)高(gao)(gao),是(shi)(shi)(shi)目前應用(yong)(yong)最多的(de)(de)(de)(de)(de)一(yi)種(zhong)(zhong)數(shu)(shu)(shu)(shu)值(zhi)模(mo)擬方(fang)(fang)(fang)法(fa)(fa)。

