應(ying)力腐蝕可(ke)能(neng)會引(yin)起設備(bei)(bei)的(de)(de)(de)泄漏、斷(duan)裂、爆(bao)(bao)炸等(deng)后(hou)果,不(bu)同(tong)的(de)(de)(de)設備(bei)(bei)和應(ying)用場所對失(shi)效(xiao)后(hou)果的(de)(de)(de)接受(shou)(shou)程(cheng)度是不(bu)同(tong)的(de)(de)(de)。例如,對于以(yi)水為介(jie)質的(de)(de)(de)設備(bei)(bei),泄漏會引(yin)起經濟損失(shi),但是對環(huan)境(jing)和人類生命(ming)安全的(de)(de)(de)危害較(jiao)小,是人們(men)可(ke)以(yi)接受(shou)(shou)的(de)(de)(de);但是如果設備(bei)(bei)內介(jie)質是有(you)毒介(jie)質、易燃易爆(bao)(bao)介(jie)質,泄漏的(de)(de)(de)危害是較(jiao)大的(de)(de)(de)。因此,我們(men)根據(ju)后(hou)果的(de)(de)(de)嚴重(zhong)程(cheng)度,可(ke)以(yi)采用不(bu)同(tong)的(de)(de)(de)失(shi)效(xiao)準(zhun)則,浙江至德鋼業有(you)限(xian)公司本次主要討論裂紋啟裂、泄漏和斷(duan)裂三種失(shi)效(xiao)概率問題。
一、啟裂失效概(gai)率分析(xi)模型(xing)
在壓力(li)容(rong)器(qi)和(he)(he)管道一(yi)(yi)類承壓設備中,內部介質大(da)多易燃(ran)、易爆、有(you)毒(du),設備一(yi)(yi)旦發(fa)生(sheng)泄(xie)漏或其他形式的破(po)壞,將帶來嚴(yan)重的后果,因此,國家(jia)和(he)(he)企業對這類設備安全(quan)性(xing)(xing)的要求更高(gao)。在可(ke)靠性(xing)(xing)分析中,對于“失效”的理解范圍更廣(guang),我們(men)甚至可(ke)以認為一(yi)(yi)旦裂紋產生(sheng),即使(shi)沒有(you)發(fa)生(sheng)泄(xie)漏和(he)(he)斷裂,設備處于失效狀態。即把裂紋啟裂作為失效的標準(zhun)。
1. 啟裂(lie)失(shi)效準則
應力腐蝕的產生也是經過兩個階段:裂紋萌生、裂紋擴展。在實踐中觀察發現,很多應力腐蝕(shi)裂紋是在點蝕坑的基礎上進行擴展。根據對已有研究的總結,產生裂紋的點蝕坑的形狀可以表述為半橢球形。相對于產生點蝕的結構來說,點蝕坑的尺寸很微小,因此,在垂直于拉應力的截面上,點蝕坑可以作為深度是a、長度是2c的半橢圓形表面裂紋,如圖6-6所示。當只考慮拉應力。時,圖6-6所示裂紋的應力強度因子是

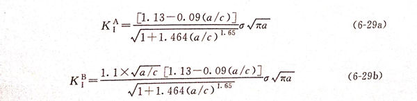
一般來說(shuo),表(biao)面(mian)微裂紋的深(shen)度a遠小(xiao)于設備的壁(bi)厚B,因(yin)此,我們可以(yi)不考慮壁(bi)厚對A、B處應力(li)(li)強(qiang)度因(yin)子(zi)的影響,則(ze)其應力(li)(li)強(qiang)度因(yin)子(zi)為:

從(cong)式(6-29)可以看出,兩處(chu)應(ying)(ying)力形(xing)(xing)狀因(yin)子的(de)大(da)小與a/c密切(qie)相(xiang)關,圖(tu)6-7給出了形(xing)(xing)狀因(yin)子Y與a/c的(de)對應(ying)(ying)關系。從(cong)圖(tu)中可以看出,YA、YB隨(sui)a/c值的(de)變化(hua)規律是相(xiang)反(fan)的(de)。a/c較小時,即(ji)(ji)深(shen)度(du)較小長度(du)較大(da)的(de)裂紋,A處(chu)的(de)應(ying)(ying)力形(xing)(xing)狀因(yin)子較大(da);隨(sui)著a/c的(de)增加(jia),即(ji)(ji)裂紋深(shen)度(du)的(de)增加(jia),A處(chu)的(de)形(xing)(xing)狀因(yin)子減小,B處(chu)形(xing)(xing)狀因(yin)子增大(da);當a/c>0.827時,YB>YA。

對于薄壁(bi)(bi)(bi)構件,壁(bi)(bi)(bi)厚(hou)(hou)的(de)(de)影響(xiang)必(bi)須(xu)考慮。當(dang)壁(bi)(bi)(bi)厚(hou)(hou)一(yi)定時,Y值只(zhi)受a和a/c的(de)(de)影響(xiang)。當(dang)a/c=1時,應力形狀因(yin)子與裂紋(wen)深度的(de)(de)對應關(guan)系如(ru)圖6-8所(suo)示。圖6-8給出(chu)了不(bu)同壁(bi)(bi)(bi)厚(hou)(hou)下Y隨(sui)(sui)a的(de)(de)變化趨勢,從圖中(zhong)可以看出(chu),隨(sui)(sui)著壁(bi)(bi)(bi)厚(hou)(hou)的(de)(de)減小,A、B兩處的(de)(de)形狀因(yin)子都增大(da),因(yin)此,當(dang)壁(bi)(bi)(bi)厚(hou)(hou)較(jiao)小時,壁(bi)(bi)(bi)厚(hou)(hou)的(de)(de)影響(xiang)不(bu)可忽略。
根據(ju)可靠性的(de)概(gai)念,當把裂紋萌生作為極限(xian)時,從(cong)應力(li)場(chang)角(jiao)度分(fen)析(xi),結構(gou)極限(xian)狀態方程為


2. 啟裂失效概率
根據隨(sui)(sui)機變(bian)量模(mo)型可(ke)知,裂(lie)紋(wen)啟裂(lie)失(shi)效(xiao)的(de)不(bu)確定性主(zhu)要由(you)參數(shu)的(de)隨(sui)(sui)機性造成,在不(bu)考慮環境的(de)影響(xiang)下,同時假設裂(lie)紋(wen)萌生(sheng)(sheng)于點蝕(shi)坑處(chu),SCC裂(lie)紋(wen)萌生(sheng)(sheng)主(zhu)要受應力大小、蝕(shi)坑結構(gou)及幾何參數(shu)以及材(cai)料本身的(de)性能(應力腐蝕(shi)臨(lin)界應力強(qiang)度因子)等(deng)影響(xiang)。根據文獻可(ke)知,應力可(ke)認為是(shi)服從(cong)正態分(fen)布的(de)隨(sui)(sui)機變(bian)量。
點蝕坑深度a的隨機性與Ip、?和a0的不確定性有關;應力腐蝕臨界應力強度因子KIscc的數值一般由實驗測得,其隨機性受材(cai)料(liao)本身性能的分散性、介質中離子濃度、溫度等參數的不確定性影(ying)響。
根據以上分析可得失效概(gai)率表達(da)式(shi)

3. 算(suan)例
某一(yi)設(she)備的(de)材料為304,壁(bi)厚B=12mm,表(biao)面產生(sheng)了點(dian)蝕(shi),計算該設(she)備裂紋啟裂失效的(de)概率。分析過(guo)程如下:

二(er)、泄(xie)漏(lou)失效概率(lv)分析(xi)模型
1. 泄漏失效準則
應(ying)力腐蝕(shi)裂紋一旦產生,就會快(kuai)速擴展(zhan),但是擴展(zhan)方向和(he)擴展(zhan)速度(du)具有一定隨機性。如圖6-10是一個應(ying)力腐蝕(shi)失效案(an)例(li),可以看出(chu),裂紋在空間三個方向都(dou)有擴展(zhan)。

受結構的(de)影響,以(yi)及(ji)不(bu)(bu)同方(fang)向(xiang)(xiang)(xiang)裂(lie)(lie)(lie)紋(wen)(wen)擴(kuo)展速度(du)(du)(du)(du)的(de)不(bu)(bu)同,可能會(hui)(hui)出現(xian)(xian)以(yi)下失(shi)(shi)效結果:①. 裂(lie)(lie)(lie)紋(wen)(wen)沿(yan)(yan)(yan)點(dian)蝕(shi)(shi)坑(keng)(keng)(keng)(keng)深度(du)(du)(du)(du)(即(ji)(ji)設(she)備(bei)(bei)(bei)厚(hou)度(du)(du)(du)(du))方(fang)向(xiang)(xiang)(xiang)穿(chuan)透壁面時,沿(yan)(yan)(yan)點(dian)蝕(shi)(shi)坑(keng)(keng)(keng)(keng)長(chang)(chang)度(du)(du)(du)(du)方(fang)向(xiang)(xiang)(xiang)的(de)裂(lie)(lie)(lie)紋(wen)(wen)還未發(fa)(fa)展到(dao)失(shi)(shi)穩擴(kuo)展的(de)臨(lin)(lin)界長(chang)(chang)度(du)(du)(du)(du),即(ji)(ji)設(she)備(bei)(bei)(bei)只(zhi)發(fa)(fa)生(sheng)(sheng)(sheng)泄(xie)漏(lou)但并不(bu)(bu)發(fa)(fa)生(sheng)(sheng)(sheng)整(zheng)體(ti)性的(de)破(po)(po)壞,稱未破(po)(po)先(xian)漏(lou);②. 在裂(lie)(lie)(lie)紋(wen)(wen)沿(yan)(yan)(yan)點(dian)蝕(shi)(shi)坑(keng)(keng)(keng)(keng)深度(du)(du)(du)(du)方(fang)向(xiang)(xiang)(xiang)穿(chuan)透設(she)備(bei)(bei)(bei)壁厚(hou)前,裂(lie)(lie)(lie)紋(wen)(wen)沿(yan)(yan)(yan)蝕(shi)(shi)坑(keng)(keng)(keng)(keng)長(chang)(chang)度(du)(du)(du)(du)方(fang)向(xiang)(xiang)(xiang)已達到(dao)了臨(lin)(lin)界值(zhi),設(she)備(bei)(bei)(bei)將產(chan)(chan)(chan)生(sheng)(sheng)(sheng)很長(chang)(chang)的(de)表(biao)面裂(lie)(lie)(lie)紋(wen)(wen),雖(sui)然設(she)備(bei)(bei)(bei)既不(bu)(bu)泄(xie)漏(lou)也不(bu)(bu)爆(bao)(bao)破(po)(po),但已很脆(cui)弱,承受載荷波動或裂(lie)(lie)(lie)紋(wen)(wen)沿(yan)(yan)(yan)點(dian)蝕(shi)(shi)坑(keng)(keng)(keng)(keng)深度(du)(du)(du)(du)方(fang)向(xiang)(xiang)(xiang)擴(kuo)展的(de)能力很差;③. 裂(lie)(lie)(lie)紋(wen)(wen)沿(yan)(yan)(yan)點(dian)蝕(shi)(shi)坑(keng)(keng)(keng)(keng)深度(du)(du)(du)(du)方(fang)向(xiang)(xiang)(xiang)和長(chang)(chang)度(du)(du)(du)(du)方(fang)向(xiang)(xiang)(xiang)幾乎(hu)同時達到(dao)了各自的(de)臨(lin)(lin)界值(zhi),設(she)備(bei)(bei)(bei)將產(chan)(chan)(chan)生(sheng)(sheng)(sheng)爆(bao)(bao)破(po)(po)事(shi)故。對(dui)于第一(yi)種應力腐蝕(shi)(shi)失(shi)(shi)效形式,人們有足夠的(de)時間及(ji)時發(fa)(fa)現(xian)(xian)泄(xie)漏(lou)并采(cai)取措施,并避免由于快速整(zheng)體(ti)破(po)(po)壞而引起的(de)嚴重后果。對(dui)于低壓、無毒和非(fei)易(yi)燃易(yi)爆(bao)(bao)介質的(de)設(she)備(bei)(bei)(bei),即(ji)(ji)使發(fa)(fa)生(sheng)(sheng)(sheng)微量(liang)的(de)泄(xie)漏(lou)也不(bu)(bu)會(hui)(hui)產(chan)(chan)(chan)生(sheng)(sheng)(sheng)嚴重后果,如蒸汽管道、水(shui)煤氣廢熱(re)鍋爐中(zhong)的(de)換熱(re)管等(deng),這些設(she)備(bei)(bei)(bei)可以(yi)采(cai)用泄(xie)漏(lou)失(shi)(shi)效準則。
當對(dui)設備的可靠性要求(qiu)較高時,裂紋擴(kuo)展深度(du)即使小于(yu)壁厚,我們也認為(wei)是失效。一般把(ba)裂紋深度(du)是(0.7~0.85)B作(zuo)為(wei)判斷條件(jian)。美國ASME-VI-3[45]確定了未(wei)破先漏(lou)的條件(jian)為(wei):

而(er)對(dui)于可靠性(xing)要求較低的設(she)備,當裂紋(wen)穿過整個壁厚(hou)時,認(ren)為(wei)是失(shi)效。
泄(xie)漏失(shi)效的極限(xian)狀態方程為

觀察到的(de)實(shi)際裂紋,在壁(bi)厚方(fang)向的(de)擴展(zhan)并(bing)不與厚度平行(xing),如(ru)圖6-11(a)所(suo)示(shi);并(bing)且擴展(zhan)過(guo)程(cheng)中(zhong)主裂紋有所(suo)分叉,如(ru)圖6-11(b)所(suo)示(shi)。因(yin)此,采(cai)用式(6-33)計算(suan)出的(de)裂紋尺寸來判斷是(shi)否發生泄漏(lou)失效較為安(an)全。

2. 泄漏失效概率
泄漏失(shi)效的隨(sui)(sui)機(ji)性(xing)(xing)主(zhu)要是由(you)裂(lie)(lie)紋尺(chi)寸、設(she)(she)備壁(bi)厚和結(jie)構、載荷等的不確定性(xing)(xing)引起的。裂(lie)(lie)紋尺(chi)寸的隨(sui)(sui)機(ji)性(xing)(xing)主(zhu)要受溫度、材料(liao)性(xing)(xing)能(neng)以及裂(lie)(lie)紋起始尺(chi)寸等參數(shu)的不確定性(xing)(xing)影響。受設(she)(she)備原材料(liao)壁(bi)厚公差、腐蝕(shi)減薄(bo)、制(zhi)造引起的壁(bi)厚變化等因素的影響,壁(bi)厚B也(ye)是一個(ge)隨(sui)(sui)機(ji)變量(liang)。根據(ju)隨(sui)(sui)機(ji)變量(liang)a和B的概率(lv)密(mi)度函數(shu)f(a*)和f(B*),可得到泄漏失(shi)效概率(lv)表達式(shi)為:

3. 算例(li)
在實際案例中,管殼式換熱器中換熱管和管板連接處換熱管發生應力腐蝕泄漏的情況較多,這是由于換熱管壁厚較薄,材料的斷裂韌度值較大,很容易滿足ac>B的條件。采用蒙特卡洛模擬法計算換熱管發生應力腐蝕泄漏失效的概率,利用Python 語言編制計算程序(具體計算程序見附錄)。所需各變量的分布類型及參數如表6-1所示,模擬結果如圖6-12所示。由圖6-12可見,在前80天內,換熱管發生泄漏失效的概率小于10-4較為安全;隨著裂紋尺寸的增長,換熱管的可靠性能逐步下降,150天后失效概率值接近1。

三(san)、斷裂失(shi)效概(gai)率分析模型(xing)
1. 斷裂失效(xiao)準則
根據線(xian)彈性斷(duan)(duan)裂(lie)力(li)學(xue)理論,應(ying)(ying)力(li)腐(fu)蝕斷(duan)(duan)裂(lie)失(shi)(shi)效的(de)準(zhun)(zhun)則主要有兩類:一(yi)類是(shi)從分(fen)析(xi)(xi)裂(lie)尖應(ying)(ying)力(li)應(ying)(ying)變場強度(du)(du)的(de)角度(du)(du)出發,采(cai)用(yong)應(ying)(ying)力(li)強度(du)(du)因(yin)子(zi)作為參(can)數;另一(yi)類是(shi)用(yong)能(neng)量(liang)平(ping)衡的(de)觀點,選用(yong)能(neng)量(liang)釋放(fang)率(lv)作為參(can)數。應(ying)(ying)力(li)強度(du)(du)因(yin)子(zi)和能(neng)量(liang)釋放(fang)率(lv)之間具有對應(ying)(ying)的(de)關系G1=K1/E'.目(mu)前采(cai)用(yong)線(xian)彈性斷(duan)(duan)裂(lie)力(li)學(xue)理論分(fen)析(xi)(xi)應(ying)(ying)力(li)腐(fu)蝕斷(duan)(duan)裂(lie)失(shi)(shi)效的(de)準(zhun)(zhun)則主要是(shi)應(ying)(ying)力(li)強度(du)(du)因(yin)子(zi)準(zhun)(zhun)則,本(ben)節(jie)筆(bi)者采(cai)用(yong)該準(zhun)(zhun)則分(fen)析(xi)(xi)應(ying)(ying)力(li)腐(fu)蝕斷(duan)(duan)裂(lie)行為。
根據以上分析(xi)可知(zhi),K1值(zhi)隨裂(lie)紋長(chang)度的增(zeng)加而增(zeng)大,當K1增(zeng)大到K1c時,將導致裂(lie)紋快速(su)擴展,此(ci)時對(dui)應的極限狀態方程為

2. 斷裂失(shi)效概率
斷(duan)裂(lie)失效的(de)隨(sui)機性(xing)(xing)主要(yao)由材料性(xing)(xing)能(neng)的(de)分(fen)散(san)性(xing)(xing)和裂(lie)紋尺寸、裂(lie)紋形狀以及載荷等不(bu)(bu)確定性(xing)(xing)引(yin)起。KIc值(zhi)大(da)小代表了材料抵(di)抗裂(lie)紋擴展的(de)性(xing)(xing)能(neng),材料在冶煉、軋制、熱處(chu)理等過(guo)程中不(bu)(bu)可避免地產生化(hua)學成(cheng)分(fen)、顯微組織(zhi)、力(li)學性(xing)(xing)能(neng)等不(bu)(bu)均勻,使KIc具(ju)有(you)本質上的(de)分(fen)散(san)性(xing)(xing)。另(ling)外,試(shi)樣取樣方(fang)向、厚(hou)度(du)(du)等也是引(yin)起KIc分(fen)散(san)的(de)原因。受設備(bei)壁(bi)厚(hou)、應力(li)狀態(tai)、加載模(mo)式(shi)以及工作溫(wen)度(du)(du)等多方(fang)面(mian)因素(su)的(de)影響(xiang),設備(bei)結構真實的(de)K1c值(zhi)比試(shi)驗獲(huo)得的(de)值(zhi)分(fen)散(san)性(xing)(xing)更大(da)。在一定的(de)范(fan)圍內,材料厚(hou)度(du)(du)較小時(shi),裂(lie)紋尖端處(chu)于平面(mian)應力(li)狀態(tai),KIc值(zhi)較大(da);當(dang)材料厚(hou)度(du)(du)較大(da)時(shi),裂(lie)紋尖端區域處(chu)于平面(mian)應變(bian)狀態(tai),斷(duan)裂(lie)韌(ren)(ren)度(du)(du)值(zhi)將(jiang)逐漸減小,當(dang)厚(hou)度(du)(du)超過(guo)一定值(zhi)后(hou),斷(duan)裂(lie)韌(ren)(ren)度(du)(du)值(zhi)將(jiang)不(bu)(bu)再變(bian)化(hua),斷(duan)裂(lie)韌(ren)(ren)度(du)(du)隨(sui)試(shi)樣厚(hou)度(du)(du)的(de)變(bian)化(hua)關系如圖(tu)6-13所示。

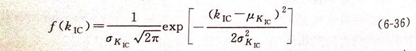
適(shi)合描述斷裂韌度隨機性的概(gai)率(lv)分(fen)布(bu)(bu)(bu)類型(xing)主要有(you)正(zheng)態(tai)分(fen)布(bu)(bu)(bu)、對(dui)數(shu)正(zheng)態(tai)分(fen)布(bu)(bu)(bu)以及威布(bu)(bu)(bu)爾分(fen)布(bu)(bu)(bu)。對(dui)于服從正(zheng)態(tai)分(fen)布(bu)(bu)(bu)的斷裂韌度,其概(gai)率(lv)密度函數(shu)為

應(ying)(ying)力強度(du)因子KI是描述裂紋(wen)尖端應(ying)(ying)力應(ying)(ying)變場(chang)的(de)度(du)量,其(qi)不確定(ding)性(xing)主要是由裂紋(wen)尺(chi)寸、裂紋(wen)形狀以及(ji)應(ying)(ying)力等參數的(de)不確定(ding)性(xing)引起的(de)。應(ying)(ying)力腐蝕裂紋(wen)形狀不規(gui)則(ze)、焊縫部位應(ying)(ying)力分布(bu)的(de)不均勻性(xing),都對K1的(de)不確定(ding)性(xing)有較大(da)影響。
根據Kic和(he)KI的概(gai)率分布函數f(kIc)和(he)f(k1),可得到斷裂失效概(gai)率的表達(da)式

3. 算例
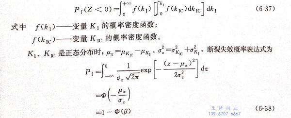
某化工廠一臺氫化塔,材料為S30408不銹鋼,塔壁厚度為12mm.塔內原料氣體中含水,且水中的Cl-含量在20mg/L左右。該塔投入約10年后,人孔平臺支腿焊接的部位產生大量的軸向應力腐蝕裂紋,如圖6-14所示。

斷(duan)裂(lie)韌(ren)度除(chu)了服從(cong)(cong)正態分(fen)(fen)布(bu)外(wai),還(huan)服從(cong)(cong)對(dui)(dui)數(shu)正態分(fen)(fen)布(bu),圖6-15給出(chu)了分(fen)(fen)別服從(cong)(cong)兩(liang)種分(fen)(fen)布(bu)時(shi)的(de)(de)(de)(de)失(shi)(shi)效概(gai)率(lv)(lv)(lv)情(qing)況。分(fen)(fen)析圖6-15發現(xian):分(fen)(fen)布(bu)類型對(dui)(dui)本次(ci)失(shi)(shi)效概(gai)率(lv)(lv)(lv)的(de)(de)(de)(de)計算結果影響較(jiao)(jiao)(jiao)小,只有(you)在(zai)裂(lie)紋(wen)(wen)出(chu)現(xian)的(de)(de)(de)(de)前期有(you)一定影響,此時(shi)正態分(fen)(fen)布(bu)對(dui)(dui)應的(de)(de)(de)(de)失(shi)(shi)效概(gai)率(lv)(lv)(lv)較(jiao)(jiao)(jiao)大(da)。同時(shi),筆者也分(fen)(fen)析了裂(lie)紋(wen)(wen)深度和長度之比對(dui)(dui)失(shi)(shi)效概(gai)率(lv)(lv)(lv)的(de)(de)(de)(de)影響,結果如(ru)圖6-16所示(shi),失(shi)(shi)效概(gai)率(lv)(lv)(lv)隨a/c的(de)(de)(de)(de)降低而增(zeng)大(da),在(zai)裂(lie)紋(wen)(wen)擴展中(zhong)期a/c影響較(jiao)(jiao)(jiao)大(da)。



