隨機變量模型和隨機過程模型是研(yan)究(jiu)久久99國產精品久久99果凍傳媒:應力腐蝕概率的常用模(mo)型(xing),本章重點(dian)介紹隨機變(bian)量模(mo)型(xing)。
一、應力-強度干涉模型
1942年,Pugsley提(ti)出(chu)了(le)(le)采用(yong)應力、強度(du)分(fen)布函數曲線的(de)(de)干(gan)(gan)涉區面積分(fen)析失(shi)效概率的(de)(de)方法,即(ji)應力-強度(du)干(gan)(gan)涉模(mo)型,該(gai)模(mo)型在(zai)構件(jian)和(he)系(xi)統的(de)(de)可(ke)靠性分(fen)析中(zhong)(zhong)得到了(le)(le)廣(guang)泛應用(yong)。目前,已(yi)成(cheng)為(wei)分(fen)析構件(jian)和(he)系(xi)統失(shi)效概率的(de)(de)重(zhong)要模(mo)型之(zhi)一(yi)。在(zai)結構可(ke)靠性分(fen)析中(zhong)(zhong),應力-強度(du)(S-R)干(gan)(gan)涉模(mo)型應用(yong)最廣(guang),模(mo)型中(zhong)(zhong)的(de)(de)S和(he)R的(de)(de)含義不僅僅是力學分(fen)析中(zhong)(zhong)的(de)(de)應力和(he)強度(du),二者具有更(geng)廣(guang)泛的(de)(de)范(fan)疇。對于一(yi)個系(xi)統而言,S指的(de)(de)是造成(cheng)結構破壞的(de)(de)所有因(yin)素(su),即(ji)推動(dong)力;R代表了(le)(le)結構抵抗破壞的(de)(de)能力,即(ji)阻抗力。
應(ying)(ying)力(li)(li)(li)(li)腐(fu)(fu)蝕(shi)(shi)(shi)(shi)(shi)斷(duan)裂(lie)是(shi)(shi)(shi)一(yi)種低(di)應(ying)(ying)力(li)(li)(li)(li)脆斷(duan),是(shi)(shi)(shi)斷(duan)裂(lie)和腐(fu)(fu)蝕(shi)(shi)(shi)(shi)(shi)兩種機理相(xiang)互影響的(de)(de)(de)(de)(de)結(jie)(jie)果(guo)。因此(ci),當(dang)應(ying)(ying)力(li)(li)(li)(li)還遠低(di)于斷(duan)裂(lie)應(ying)(ying)力(li)(li)(li)(li)時就能(neng)(neng)引起應(ying)(ying)力(li)(li)(li)(li)腐(fu)(fu)蝕(shi)(shi)(shi)(shi)(shi)裂(lie)紋的(de)(de)(de)(de)(de)產生和擴展。應(ying)(ying)力(li)(li)(li)(li)作用降低(di)了(le)材(cai)料的(de)(de)(de)(de)(de)耐腐(fu)(fu)蝕(shi)(shi)(shi)(shi)(shi)性能(neng)(neng),而(er)腐(fu)(fu)蝕(shi)(shi)(shi)(shi)(shi)降低(di)了(le)材(cai)料的(de)(de)(de)(de)(de)斷(duan)裂(lie)強度(du),兩者(zhe)是(shi)(shi)(shi)互相(xiang)促進的(de)(de)(de)(de)(de)。也就是(shi)(shi)(shi)說,機械力(li)(li)(li)(li)和化(hua)學力(li)(li)(li)(li)的(de)(de)(de)(de)(de)協同作用導致了(le)裂(lie)紋的(de)(de)(de)(de)(de)擴展,如果(guo)只(zhi)有應(ying)(ying)力(li)(li)(li)(li)或腐(fu)(fu)蝕(shi)(shi)(shi)(shi)(shi)單(dan)獨作用,是(shi)(shi)(shi)不會出現應(ying)(ying)力(li)(li)(li)(li)腐(fu)(fu)蝕(shi)(shi)(shi)(shi)(shi)斷(duan)裂(lie)的(de)(de)(de)(de)(de)結(jie)(jie)果(guo)。應(ying)(ying)力(li)(li)(li)(li)腐(fu)(fu)蝕(shi)(shi)(shi)(shi)(shi)斷(duan)裂(lie)要(yao)經(jing)過一(yi)定的(de)(de)(de)(de)(de)時間才(cai)能(neng)(neng)發生,這是(shi)(shi)(shi)因為(wei)能(neng)(neng)量(liang)積蓄到使(shi)材(cai)料破壞的(de)(de)(de)(de)(de)程度(du)是(shi)(shi)(shi)需(xu)要(yao)時間的(de)(de)(de)(de)(de),應(ying)(ying)力(li)(li)(li)(li)腐(fu)(fu)蝕(shi)(shi)(shi)(shi)(shi)是(shi)(shi)(shi)使(shi)材(cai)料強度(du)逐漸退化(hua)的(de)(de)(de)(de)(de)過程,因此(ci),我們(men)可(ke)以采(cai)用耐久性損傷模型來描述應(ying)(ying)力(li)(li)(li)(li)腐(fu)(fu)蝕(shi)(shi)(shi)(shi)(shi)失效的(de)(de)(de)(de)(de)物理過程。由S-R干涉模型的(de)(de)(de)(de)(de)理論可(ke)以寫出結(jie)(jie)構的(de)(de)(de)(de)(de)極(ji)限狀態方程


因(yin)此,對于失效概率(lv)(lv)的(de)研究就轉化(hua)為(wei)對強度和應(ying)力(li)由于概率(lv)(lv)分(fen)(fen)布(bu)干涉引起的(de)狀態失效問題的(de)研究。當fs(s)和fR(r)分(fen)(fen)別表示應(ying)力(li)和強度的(de)概率(lv)(lv)密度函數時,圖中兩者重(zhong)疊部(bu)分(fen)(fen)面積反映(ying)了失效概率(lv)(lv)的(de)大(da)小,如圖6-1所示。

假如最(zui)初應力(li)(li)與強(qiang)(qiang)度(du)是留有(you)充分的(de)(de)(de)安全余量的(de)(de)(de),那(nei)么經過一(yi)定時間后,隨著應力(li)(li)分布(bu)與強(qiang)(qiang)度(du)分布(bu)的(de)(de)(de)交疊,就有(you)失(shi)效發生,這種情形可以說是耐久模型(xing)的(de)(de)(de)典型(xing)例子。根據應力(li)(li)-強(qiang)(qiang)度(du)干涉模型(xing)不但能夠求(qiu)解應力(li)(li)腐蝕失(shi)效概率(lv)(lv),還可以分析應力(li)(li)腐蝕不同階段(duan)的(de)(de)(de)概率(lv)(lv)情況(kuang),如裂(lie)紋的(de)(de)(de)萌生概率(lv)(lv)、裂(lie)紋的(de)(de)(de)擴展概率(lv)(lv)等。
當(dang)材(cai)(cai)(cai)料發生腐(fu)蝕(shi)后,隨(sui)著(zhu)時(shi)(shi)間(jian)(jian)的(de)推移,材(cai)(cai)(cai)料抵抗(kang)破(po)壞(huai)的(de)能力(li)降(jiang)(jiang)低,而腐(fu)蝕(shi)環境很可(ke)(ke)能變(bian)得(de)更加苛刻。例如應(ying)力(li)腐(fu)蝕(shi),隨(sui)著(zhu)裂(lie)紋(wen)的(de)擴展,材(cai)(cai)(cai)料強度(du)降(jiang)(jiang)低、裂(lie)紋(wen)尖端應(ying)力(li)集中區域增大,局部存在(zai)侵蝕(shi)性(xing)離子的(de)富集,使得(de)廣義應(ying)力(li)變(bian)大而強度(du)降(jiang)(jiang)低,此時(shi)(shi)S(t)和R(t)都是與(yu)時(shi)(shi)間(jian)(jian)有關的(de)變(bian)量,很顯然,概(gai)率(lv)密度(du)函(han)數也(ye)著(zhu)時(shi)(shi)間(jian)(jian)的(de)變(bian)化而變(bian)化。當(dang)強度(du)隨(sui)時(shi)(shi)間(jian)(jian)發生衰退時(shi)(shi),強度(du)和應(ying)力(li)組成的(de)干涉區域隨(sui)時(shi)(shi)間(jian)(jian)變(bian)化會越來(lai)越大,這(zhe)意(yi)味(wei)著(zhu)產品可(ke)(ke)靠性(xing)在(zai)降(jiang)(jiang)低。

大多數(shu)參數(shu)的(de)不(bu)確定(ding)性與時間有關。發生(sheng)應(ying)力腐蝕時,構件所(suo)受(shou)的(de)廣義(yi)應(ying)力一般是隨機過(guo)程,應(ying)力稱為時間的(de)函數(shu),強度為一固定(ding)的(de)臨界值,如圖6-2所(suo)示,功能(neng)函數(shu)應(ying)表示為

二、應力(li)腐蝕(shi)參數的概(gai)率分(fen)布估計
1. 變量(liang)分布類型確定(ding)
采用S-R模型(xing)分(fen)(fen)析應(ying)力(li)腐蝕(shi)失效概率(lv)時,第一步(bu)是確定應(ying)力(li)腐蝕(shi)的“推動力(li)”,即S所(suo)包含的參數,包括(kuo)溫度(du)、侵蝕(shi)性離子濃度(du)、pH值等,分(fen)(fen)析各參數的分(fen)(fen)布(bu)(bu)(bu)(bu)概型(xing)。在進(jin)行參數的概率(lv)分(fen)(fen)布(bu)(bu)(bu)(bu)類型(xing)研究中,一般經過以下步(bu)驟:①. 假(jia)設隨機變量(liang)服從某一分(fen)(fen)布(bu)(bu)(bu)(bu);②. 在假(jia)設分(fen)(fen)布(bu)(bu)(bu)(bu)基礎(chu)上構建統(tong)(tong)計(ji)量(liang);③. 根據統(tong)(tong)計(ji)量(liang)的分(fen)(fen)布(bu)(bu)(bu)(bu)做出(chu)統(tong)(tong)計(ji)推斷(duan),進(jin)行擬(ni)合檢驗(yan);④. 選擇最優概型(xing)。常(chang)用的統(tong)(tong)計(ji)量(liang)包括(kuo)均值、標準差(cha)(cha)、極差(cha)(cha)、變異系(xi)數、偏(pian)度(du)等。正態分(fen)(fen)布(bu)(bu)(bu)(bu)、威布(bu)(bu)(bu)(bu)爾(er)(Weibull)分(fen)(fen)布(bu)(bu)(bu)(bu)、指數分(fen)(fen)布(bu)(bu)(bu)(bu)以及Poisson分(fen)(fen)布(bu)(bu)(bu)(bu)等都是應(ying)力(li)腐蝕(shi)概率(lv)分(fen)(fen)析中經常(chang)用到的隨機變量(liang)的概率(lv)分(fen)(fen)布(bu)(bu)(bu)(bu)類型(xing)。
通(tong)常(chang),直接(jie)計算概率的密度(du)函(han)數(shu)難度(du)非(fei)常(chang)大(da),常(chang)用的處(chu)理(li)方法是把概率密度(du)估計轉化(hua)為參數(shu)估計問題。因此(ci)概率密度(du)函(han)數(shu)的確定是關鍵(jian),正確的密度(du)函(han)數(shu)是獲(huo)得準確估計值的重要前提。
2. 參數(shu)的估(gu)計和假設檢驗(yan)
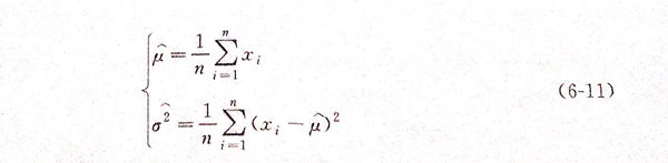
由于正(zheng)(zheng)態(tai)分(fen)(fen)(fen)布情況發生(sheng)的(de)(de)(de)比較(jiao)多,因此,以正(zheng)(zheng)態(tai)分(fen)(fen)(fen)布為例(li)加(jia)以說明。參(can)(can)數(shu)估(gu)(gu)(gu)(gu)計(ji)(ji)的(de)(de)(de)思路是采(cai)用(yong)樣本統計(ji)(ji)量(liang)估(gu)(gu)(gu)(gu)計(ji)(ji)總(zong)體參(can)(can)數(shu)。常用(yong)的(de)(de)(de)參(can)(can)數(shu)估(gu)(gu)(gu)(gu)計(ji)(ji)方法有(you)矩(ju)估(gu)(gu)(gu)(gu)計(ji)(ji)法和最(zui)大(da)(da)(da)(極大(da)(da)(da))似(si)然(ran)(ran)法,除此之外,還有(you)最(zui)小二(er)乘(cheng)、貝葉斯估(gu)(gu)(gu)(gu)計(ji)(ji)等(deng)方法。矩(ju)估(gu)(gu)(gu)(gu)計(ji)(ji)法不(bu)受變(bian)量(liang)分(fen)(fen)(fen)布的(de)(de)(de)影響(xiang)(xiang),這也恰(qia)恰(qia)成為該(gai)方法的(de)(de)(de)缺點,即變(bian)量(liang)的(de)(de)(de)分(fen)(fen)(fen)布信息不(bu)能被充分(fen)(fen)(fen)利用(yong),一(yi)般具有(you)多個分(fen)(fen)(fen)析結果。與矩(ju)估(gu)(gu)(gu)(gu)計(ji)(ji)法相反,最(zui)大(da)(da)(da)似(si)然(ran)(ran)法的(de)(de)(de)使用(yong)受已知(zhi)(zhi)變(bian)量(liang)概(gai)型(xing)的(de)(de)(de)影響(xiang)(xiang),必須在(zai)已知(zhi)(zhi)概(gai)型(xing)的(de)(de)(de)前提下才能使用(yong),而且假設的(de)(de)(de)概(gai)率模(mo)型(xing)正(zheng)(zheng)確(que)性對參(can)(can)數(shu)估(gu)(gu)(gu)(gu)計(ji)(ji)結果影響(xiang)(xiang)很大(da)(da)(da)。最(zui)大(da)(da)(da)似(si)然(ran)(ran)估(gu)(gu)(gu)(gu)計(ji)(ji)法具有(you)計(ji)(ji)算簡單、收斂(lian)型(xing)好等(deng)特點,在(zai)參(can)(can)數(shu)估(gu)(gu)(gu)(gu)計(ji)(ji)中的(de)(de)(de)應用(yong)更加(jia)廣泛(fan),其主要計(ji)(ji)算步驟如下:

式(shi)(6-10)稱為似然方(fang)程(cheng)(cheng)組(zu)(zu),求解該方(fang)程(cheng)(cheng)組(zu)(zu),得出均值、方(fang)差最大(da)似然估計值

以上過程是參數估(gu)計(ji)(ji),下面對(dui)參數假設檢(jian)驗(yan)(yan)。與參數估(gu)計(ji)(ji)的(de)目(mu)的(de)相同(tong),參數假設檢(jian)驗(yan)(yan)也是根(gen)據樣本信息(xi)對(dui)總體的(de)數量特征進(jin)行推斷。
假(jia)(jia)(jia)設檢驗(yan)(yan)是以樣本(ben)資料對總體(ti)的(de)先驗(yan)(yan)假(jia)(jia)(jia)設是否成立,根據樣本(ben)的(de)統(tong)(tong)計(ji)(ji)量(liang)(liang)檢驗(yan)(yan)假(jia)(jia)(jia)設的(de)總體(ti)參(can)數的(de)可靠度(du),同時做出(chu)判斷結(jie)果(guo)(guo),判斷結(jie)果(guo)(guo)包括接受和拒絕。分析過(guo)程是:①. 提出(chu)原假(jia)(jia)(jia)設(要(yao)(yao)求檢驗(yan)(yan)的(de)假(jia)(jia)(jia)設)H0 :F(x)=F0(x)和備選(xuan)假(jia)(jia)(jia)設(如果(guo)(guo)原假(jia)(jia)(jia)設不(bu)成立,就要(yao)(yao)接受另一個假(jia)(jia)(jia)設)H1:F(x)≠F0(x);②. 選(xuan)取恰當的(de)檢驗(yan)(yan)統(tong)(tong)計(ji)(ji)量(liang)(liang);③. 計(ji)(ji)算觀測值;④. 確定(ding)顯著性水平;⑤. 依據檢驗(yan)(yan)統(tong)(tong)計(ji)(ji)量(liang)(liang)觀測值的(de)位置給出(chu)判斷結(jie)果(guo)(guo)。
在以(yi)上分析過程中(zhong)(zhong),可(ke)能(neng)會犯兩類錯(cuo)(cuo)(cuo)(cuo)誤:當H0為(wei)(wei)真(zhen)時而拒(ju)絕H0,稱為(wei)(wei)第(di)(di)一類錯(cuo)(cuo)(cuo)(cuo)誤;當H0為(wei)(wei)假時而接受H0,稱為(wei)(wei)第(di)(di)二類錯(cuo)(cuo)(cuo)(cuo)誤。犯兩類錯(cuo)(cuo)(cuo)(cuo)誤的(de)概(gai)(gai)率(lv)(lv)通常是矛盾的(de):一個(ge)概(gai)(gai)率(lv)(lv)小了另一個(ge)概(gai)(gai)率(lv)(lv)就(jiu)大。在實際(ji)使用(yong)中(zhong)(zhong),我(wo)們一般(ban)限定(ding)犯第(di)(di)一類錯(cuo)(cuo)(cuo)(cuo)誤的(de)概(gai)(gai)率(lv)(lv)不超過給定(ding)的(de)α,使犯第(di)(di)二類錯(cuo)(cuo)(cuo)(cuo)誤的(de)概(gai)(gai)率(lv)(lv)就(jiu)可(ke)能(neng)小。在正態(tai)總體參數的(de)假設檢驗(yan)中(zhong)(zhong),主要包括均值(zhi)的(de)U檢驗(yan)和t檢驗(yan)、方差的(de)χ2檢驗(yan)等(deng)。
3. 分布的假(jia)設檢驗(yan)
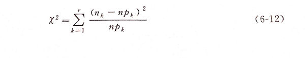
上一(yi)小節(jie)介紹的(de)(de)是(shi)在總體分布(bu)(bu)已知(zhi)的(de)(de)情況下,對分布(bu)(bu)中(zhong)的(de)(de)一(yi)些未知(zhi)參數進行檢驗(yan)(yan)(yan)。但是(shi),很多時(shi)候(hou)并不知(zhi)道總體的(de)(de)分布(bu)(bu)規(gui)律,我(wo)們(men)往(wang)往(wang)是(shi)根(gen)據樣(yang)本來假設總體的(de)(de)分布(bu)(bu)類型,因此,對于總體樣(yang)本所假設的(de)(de)分布(bu)(bu)是(shi)否正確,還需要檢驗(yan)(yan)(yan),常用(yong)的(de)(de)有χ2、J-B、A-D、K-S等檢驗(yan)(yan)(yan)方法(fa),其中(zhong)χ2檢驗(yan)(yan)(yan)應用(yong)較多,下面以這種(zhong)方法(fa)為例,介紹檢驗(yan)(yan)(yan)過(guo)程。
χ2檢(jian)驗(yan)(yan)法的分析過程是(shi):①. 提出原假(jia)(jia)設(she);②. 檢(jian)驗(yan)(yan)假(jia)(jia)設(she)H0:Fx(x)=F0(x;θ1,θ2,··,θm).先用若干個互不(bu)相交的小區間把樣本數據(ju)進行分組,通(tong)常每個區間的數據(ju)不(bu)少于5個,若不(bu)滿足這(zhe)一(yi)要(yao)求(qiu),可以通(tong)過合并區間來達到這(zhe)一(yi)要(yao)求(qiu)。假(jia)(jia)設(she)H0成立,根(gen)據(ju)分組結果計算χ2檢(jian)驗(yan)(yan)統計量


4. 主要參數的概(gai)率分布
根(gen)據(ju)(ju)以上(shang)分(fen)析(xi)步驟,對(dui)應力腐蝕(shi)環境(jing)中的(de)離子(zi)濃度的(de)統計性進行分(fen)析(xi)。數據(ju)(ju)來自某石化企業的(de)監測數據(ju)(ju)。頻(pin)率直方圖(tu)要將樣(yang)本值分(fen)為r個不相交的(de)區間,r值可由 Sturges公(gong)式確定(ding),并取整數。r值取決于樣(yang)本數n。



首先,假設各參數服從(cong)正態(tai)分布(bu),并畫出正態(tai)分布(bu)的密(mi)度函(han)數曲線,該計算(suan)采(cai)用matlab編程完成(cheng),計算(suan)結果(guo)如(ru)圖6-3所示。
從圖(tu)6-3可(ke)以(yi)看(kan)出,pH、氯(lv)離子濃(nong)度和硫酸(suan)根(gen)離子濃(nong)度滿足正態分(fen)布(bu),而(er)亞硫酸(suan)根(gen)離子濃(nong)度不滿足正態分(fen)布(bu),經過分(fen)析,認為滿足威布(bu)爾(er)分(fen)布(bu),如圖(tu)6-4所示。

經過卡方檢(jian)驗,在(zai)顯著(zhu)性水平0.05下(xia),可以(yi)認為:
溫度服(fu)從N(98.25,1.642);
pH服從N(4.4608,0.29522);
硫酸根離子濃度服從N(143.5204,9.48592);
氯離子濃度服(fu)從N(35.3481,17.57352);
亞(ya)硫(liu)酸根離(li)子濃度服從α=0.5926,β=1.5746的兩參數威布爾分布。
亞硫(liu)酸根離子濃度(du)服從威布爾分(fen)布的原因:亞硫(liu)酸根不穩(wen)定,與氫離子反應,從而濃度(du)逐(zhu)漸(jian)減小(xiao)。
三、失(shi)效概率計算方(fang)法
1. 解析法
當(dang)應力(li)和強(qiang)(qiang)度(du)是比較簡單(dan)的變(bian)量時,式(shi)(6-4)可(ke)以(yi)直接計算失效(xiao)概(gai)率。在(zai)一些研究中,會出現“干(gan)涉面積(ji)=失效(xiao)概(gai)率”的說(shuo)法,這種(zhong)說(shuo)法是不正確的。根(gen)據(ju)(ju)可(ke)靠(kao)性理論(lun)可(ke)知,應力(li)-強(qiang)(qiang)度(du)模(mo)型中強(qiang)(qiang)度(du)大于應力(li)的概(gai)率即為(wei)可(ke)靠(kao)度(du)。可(ke)靠(kao)度(du)P可(ke)根(gen)據(ju)(ju)下(xia)式(shi)計算

從(cong)計算結果可(ke)以看出,失效概率遠小于干(gan)涉面積之和(he)。


2. 數值解析法
當隨機變(bian)(bian)量較多(duo)時(shi),直接求(qiu)解(jie)(jie)失效概(gai)率(lv)值是(shi)很困難的(de)(de)(de)(de),采(cai)用(yong)數值求(qiu)解(jie)(jie)是(shi)一種比(bi)較好的(de)(de)(de)(de)解(jie)(jie)決(jue)方(fang)法(fa)(fa)(fa)。在應(ying)力腐(fu)蝕概(gai)率(lv)計算(suan)中,涉及的(de)(de)(de)(de)隨機變(bian)(bian)量較多(duo)且具有不(bu)(bu)(bu)同(tong)的(de)(de)(de)(de)分布(bu)類(lei)型,結(jie)果難以用(yong)解(jie)(jie)析法(fa)(fa)(fa)和近似(si)法(fa)(fa)(fa)求(qiu)解(jie)(jie),可以采(cai)用(yong)蒙(meng)特(te)卡洛(Monte-Carlo)模(mo)擬法(fa)(fa)(fa)。Monte-Carlo模(mo)擬法(fa)(fa)(fa)的(de)(de)(de)(de)特(te)點是(shi):①. 受研究(jiu)問題(ti)維數的(de)(de)(de)(de)影響較小(xiao);②. 不(bu)(bu)(bu)受假設約束;③. 不(bu)(bu)(bu)存在狀態(tai)空(kong)間爆炸問題(ti);④. 不(bu)(bu)(bu)受變(bian)(bian)量數量的(de)(de)(de)(de)影響。因(yin)此,Monte-Carlo法(fa)(fa)(fa)是(shi)一種處理高維動態(tai)失效概(gai)率(lv)問題(ti)的(de)(de)(de)(de)方(fang)法(fa)(fa)(fa)。
蒙特卡洛(luo)模擬(ni)(ni)法又稱為隨機模擬(ni)(ni)法,基本思想是:


