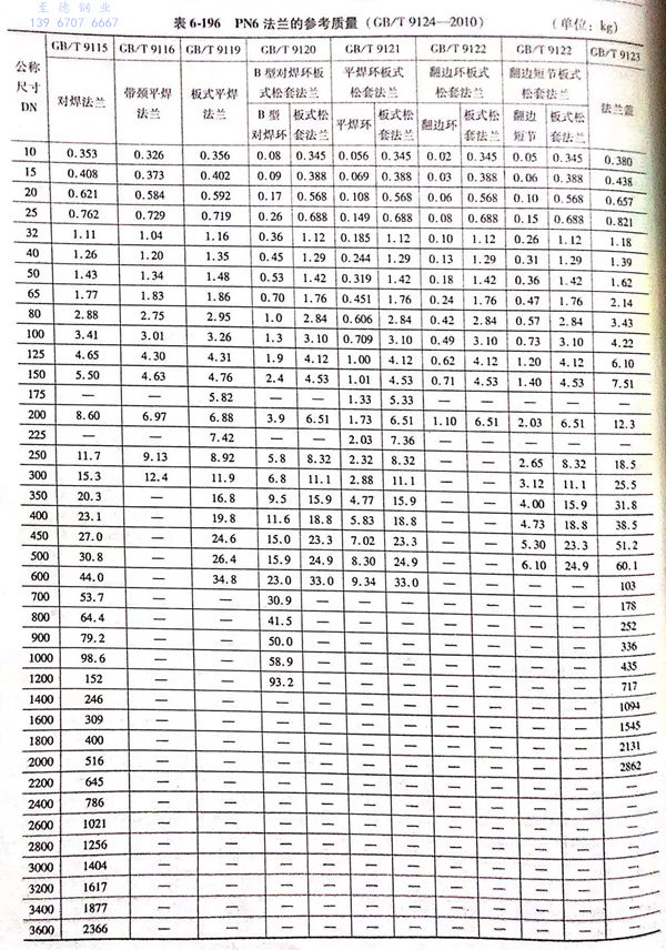
鋼制管法蘭參考質量(liang),用(yong)于(yu)供設計、制造、建(jian)設和施工等單位作(zuo)工程詢價、報(bao)價及預(yu)算等工作(zuo)時參考。久久99國產精品久久99果凍傳媒:法蘭的(de)參考(kao)質量不作為檢測法蘭的(de)技術(shu)指標準,只作為資料性的(de)參考(kao)文件。
1. 用PN標(biao)記的法蘭
用PN標記的法蘭(包(bao)括(kuo)PN2.5~PN400共(gong)12個壓力級的法蘭)的參(can)考質量見表(biao)6-195~表(biao)6-203。







2. 用(yong) Class 標記的法蘭
用 Class 標記的法(fa)蘭(包括(kuo) Class 150 ~ Class 2500 共6個(ge)壓力級的法(fa)蘭)的參考(kao)質量見表6-204~表6-209。






