不銹鋼法蘭墊(dian)片(pian)(pian)的主要(yao)參(can)數(shu)包括(kuo)墊(dian)片(pian)(pian)的有效密(mi)封寬度、墊(dian)片(pian)(pian)的性(xing)能參(can)數(shu)、墊(dian)片(pian)(pian)公(gong)稱(cheng)通徑或公(gong)稱(cheng)尺寸及墊(dian)片(pian)(pian)公(gong)稱(cheng)壓力(li)。
一(yi)、不銹鋼法蘭(lan)墊片的有效密封寬度
法蘭密封接頭中,墊片的有效密封寬度是作為計算法蘭螺栓載荷必不可少的一個特性參數,通常用符號b表示,其單位以mm計。不(bu)銹鋼法(fa)蘭墊片的有效密封寬度與墊片基本密封寬度有關。墊片基本密封寬度用符號b0表示,其單位以mm計。
當選定墊片尺寸后,可按表11-1確定墊片接觸面寬度和墊片基本密封寬度b0。墊片接觸面寬度以符號N表示,其單位以mm計。墊片基本密封寬度b0見表11-1。


二、不銹鋼(gang)法蘭墊片(pian)性能參數(shu)
不(bu)銹(xiu)鋼(gang)法(fa)蘭(lan)墊片的(de)性能參(can)數是指規(gui)(gui)范設(she)計法(fa)(即ASME《鍋爐(lu)和壓力(li)容(rong)器規(gui)(gui)范》中(zhong)所推(tui)薦的(de)螺栓法(fa)蘭(lan)連(lian)接的(de)規(gui)(gui)范設(she)計法(fa))中(zhong)所涉及(ji)的(de)“y”及(ji)“m”兩個(ge)密封系數。
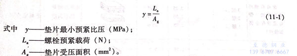
1. 不銹鋼(gang)法(fa)蘭墊片(pian)最(zui)小預緊比壓
在法(fa)蘭密封(feng)接(jie)頭中,壓(ya)(ya)緊(jin)(jin)(jin)墊片(pian)(pian)所需(xu)的力使墊片(pian)(pian)材料產生(sheng)變形從而填(tian)滿法(fa)蘭密封(feng)面(mian)間的微(wei)間隙。壓(ya)(ya)緊(jin)(jin)(jin)墊片(pian)(pian)所需(xu)的最小應力稱(cheng)為墊片(pian)(pian)最小預緊(jin)(jin)(jin)比(bi)(bi)壓(ya)(ya),通常以符號y表(biao)(biao)示。墊片(pian)(pian)最小預緊(jin)(jin)(jin)比(bi)(bi)壓(ya)(ya)是(shi)指在安裝過程中沒有內壓(ya)(ya)的情況下,墊片(pian)(pian)接(jie)觸面(mian)積上的壓(ya)(ya)應力,其(qi)表(biao)(biao)達式為:

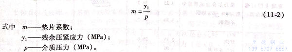
2. 不銹(xiu)鋼法蘭(lan)墊片系數
壓(ya)(ya)緊墊(dian)片時,螺(luo)(luo)栓(shuan)(shuan)伸(shen)長,當介質壓(ya)(ya)力作用(yong)后,螺(luo)(luo)栓(shuan)(shuan)由于受介質壓(ya)(ya)力作用(yong)產生(sheng)的(de)(de)(de)載荷而更加伸(shen)長,致(zhi)使兩(liang)密封(feng)法(fa)蘭面之間的(de)(de)(de)間隙增大,使墊(dian)片的(de)(de)(de)應力降低,產生(sheng)泄漏。
為(wei)(wei)了保(bao)證工作(zuo)(zuo)狀(zhuang)態(tai)下的(de)密封性能,墊片(pian)上(shang)應有一定(ding)的(de)比壓(ya),即(ji)工作(zuo)(zuo)狀(zhuang)態(tai)下的(de)壓(ya)緊比壓(ya),或(huo)稱(cheng)殘(can)余壓(ya)緊應力(li),以符號y1表示。墊片(pian)系數定(ding)義為(wei)(wei)工作(zuo)(zuo)狀(zhuang)態(tai)下墊片(pian)上(shang)的(de)殘(can)余壓(ya)緊應力(li)與(yu)介質(zhi)壓(ya)力(li)之比值(zhi),其表達式為(wei)(wei):

不(bu)銹鋼(gang)法蘭墊片(pian)最小(xiao)預緊(jin)比壓和墊片(pian)系(xi)數(shu)由(you)實驗確定(ding),它(ta)們是僅(jin)與墊片(pian)材(cai)料及法蘭密封面形式有關的特性(xing)(xing)參(can)數(shu)。規范墊片(pian)特性(xing)(xing)參(can)數(shu)或墊片(pian)性(xing)(xing)能參(can)數(shu)m及y值見表11-2。



三(san)、不銹鋼法(fa)蘭(lan)墊片公稱(cheng)通徑及公稱(cheng)壓力
公(gong)(gong)(gong)稱(cheng)(cheng)通徑及公(gong)(gong)(gong)稱(cheng)(cheng)壓(ya)力(li)是(shi)墊(dian)(dian)片(pian)的(de)配套參(can)數(shu)。公(gong)(gong)(gong)稱(cheng)(cheng)通徑或(huo)公(gong)(gong)(gong)稱(cheng)(cheng)尺(chi)寸(見GB/T 1047-2005)是(shi)管路附件的(de)一(yi)(yi)個基本參(can)數(shu),它(ta)并不是(shi)某一(yi)(yi)個實際結(jie)構尺(chi)寸,而(er)僅(jin)僅(jin)是(shi)與(yu)制造(zao)尺(chi)寸密(mi)切相關(guan)的(de)經過圓整(zheng)后(hou)(hou)(hou)的(de)一(yi)(yi)個名(ming)義(yi)尺(chi)寸,僅(jin)作為一(yi)(yi)種標(biao)志,其標(biao)記(ji)方(fang)法(fa)(fa)(fa)是(shi)在代號“DN”后(hou)(hou)(hou)緊跟著(zhu)一(yi)(yi)個適當(dang)的(de)數(shu)字。墊(dian)(dian)片(pian)公(gong)(gong)(gong)稱(cheng)(cheng)通徑與(yu)法(fa)(fa)(fa)蘭公(gong)(gong)(gong)稱(cheng)(cheng)通徑相同;公(gong)(gong)(gong)稱(cheng)(cheng)壓(ya)力(li)(見GB/T 1048-2005)是(shi)指(zhi)與(yu)管路附件(如法(fa)(fa)(fa)蘭、管件、閥門等)機械強度(du)有關(guan)的(de)設計(ji)給定壓(ya)力(li),是(shi)一(yi)(yi)個經過圓整(zheng)后(hou)(hou)(hou)的(de)名(ming)義(yi)值,也是(shi)僅(jin)作為一(yi)(yi)種標(biao)志,其標(biao)記(ji)方(fang)法(fa)(fa)(fa)是(shi)在代號“PN”后(hou)(hou)(hou)緊跟一(yi)(yi)個適當(dang)的(de)數(shu)字。墊(dian)(dian)片(pian)公(gong)(gong)(gong)稱(cheng)(cheng)壓(ya)力(li)亦(yi)與(yu)法(fa)(fa)(fa)蘭公(gong)(gong)(gong)稱(cheng)(cheng)壓(ya)力(li)相同。

