一、通用(yong)金屬環形(xing)墊片型式、尺寸及公差
1. 型式與尺寸(cun)
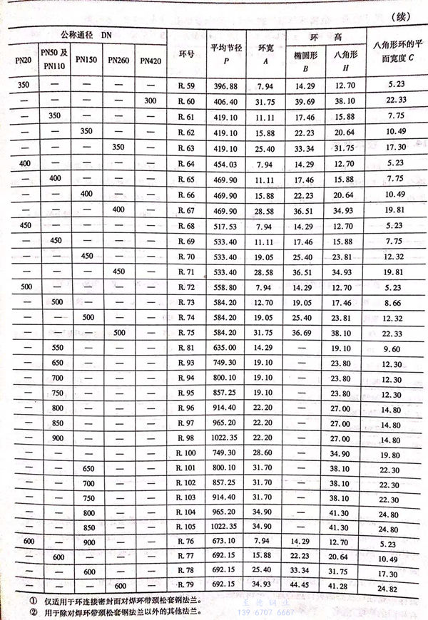
金(jin)屬環形墊片(pian)按截面(mian)形狀(zhuang)分為八角形和橢(tuo)圓形兩種結(jie)構,如(ru)圖14-1所示(shi),尺寸見表(biao)14-1.



2. 尺寸公差(cha)
金(jin)屬環形墊片的尺寸極限(xian)偏差(cha)見表 14-2。

二、通用金屬環形墊片技術要求
1. 材(cai)料(liao)
金屬環(huan)墊(dian)坯料的(de)(de)化學成分應(ying)(ying)符合(he)相應(ying)(ying)標(biao)準的(de)(de)規定(ding),其中(zhong)軟鐵的(de)(de)化學成分應(ying)(ying)符合(he)表(biao)(biao)14-3的(de)(de)規定(ding),常用材料的(de)(de)牌號、代(dai)號、推薦(jian)最高使用溫度和執行(xing)標(biao)準見表(biao)(biao)14-4。根據供需雙方協商(shang),允許采用表(biao)(biao)14-4之(zhi)外的(de)(de)其他材料,其性(xing)能應(ying)(ying)符合(he)相關標(biao)準要求。

2. 硬度
金屬環墊的硬度一般應低于法蘭材料,以確保緊密連接。合金及不(bu)銹(xiu)鋼法蘭用金屬環墊的硬度值由供需雙方協商確定。同一金屬環墊的硬度應均勻,其極差不得超過10HBW,測試各點的硬度不得超過表14-5的規定。常用材料的金屬環墊推薦最大硬度值見表14-5。

在某些(xie)情況下,金屬環(huan)墊(dian)(dian)的(de)硬度值可能不低于(yu)法(fa)蘭合金材料的(de)硬度值。例(li)如,為了獲得最佳耐腐蝕性狀態而(er)進行熱(re)處理(li)的(de)不銹鋼法(fa)蘭;與退火至最低硬度的(de)同(tong)樣(yang)材料制成的(de)環(huan)墊(dian)(dian)具有相同(tong)的(de)硬度范圍。
3. 表面(mian)粗糙度(du)
金屬環(huan)墊的(de)密封面(mian)(八角墊的(de)斜面(mian)、橢圓(yuan)墊的(de)圓(yuan)弧面(mian))不得有劃(hua)痕(hen)、磕痕(hen)、裂紋(wen)和凹坑,表面(mian)粗(cu)糙度(du)不大于Ra1.6μm.
三(san)、通用金屬環形(xing)墊片標記
1. 標(biao)記方(fang)法(fa)
金屬環形墊(dian)(dian)片(pian)的標記由(you)墊(dian)(dian)片(pian)形式、環號-墊(dian)(dian)片(pian)材(cai)料牌號和墊(dian)(dian)片(pian)標準號組成。
2. 標記示例
號(hao)為20, 材料為0Cr19Ni9 的八角形金屬環墊(dian)片(pian),其(qi)標記為:八角墊(dian) R.20-0Cr19Ni9 GB/T 9128

