高合(he)(he)(he)金(jin)(jin)(jin)鋼、鎳(nie)基耐熱合(he)(he)(he)金(jin)(jin)(jin)、鑄態鉬合(he)(he)(he)金(jin)(jin)(jin)、燒結鉬鋯(gao)合(he)(he)(he)金(jin)(jin)(jin)和(he)難(nan)熔金(jin)(jin)(jin)屬等都屬于(yu)(yu)低塑性(xing)難(nan)變形材料,在(zai)(zai)大多(duo)數情況下,甚至在(zai)(zai)采用擠(ji)壓工(gong)藝加工(gong)時(shi)(shi),也顯(xian)得(de)可(ke)塑性(xing)不(bu)(bu)足。在(zai)(zai)擠(ji)壓這類材料時(shi)(shi),金(jin)(jin)(jin)屬的(de)(de)連續性(xing)容(rong)易遭到破(po)壞(huai)。由于(yu)(yu)引起金(jin)(jin)(jin)屬層不(bu)(bu)均勻的(de)(de)流動而(er)(er)產(chan)生(sheng)的(de)(de)拉伸應力,同(tong)時(shi)(shi)金(jin)(jin)(jin)屬與模具接(jie)觸層的(de)(de)溫度比較(jiao)低,擠(ji)壓模與擠(ji)壓芯棒(bang)的(de)(de)間(jian)隙分(fen)布相(xiang)對于(yu)(yu)空心坯壁厚的(de)(de)不(bu)(bu)對稱,導(dao)致(zhi)金(jin)(jin)(jin)屬流動不(bu)(bu)對稱。金(jin)(jin)(jin)屬流動最不(bu)(bu)均勻的(de)(de)位置是擠(ji)壓管的(de)(de)內外表面(mian),因此,在(zai)(zai)擠(ji)壓管內表面(mian)產(chan)生(sheng)缺陷的(de)(de)可(ke)能(neng)性(xing)最大,而(er)(er)外表面(mian)則有材料連續性(xing)被(bei)破(po)壞(huai)的(de)(de)危險。
一(yi)、提高(gao)材料可塑性(xing)
材料(liao)(liao)的(de)(de)(de)可(ke)塑性(xing)降(jiang)低,導(dao)致擠壓鋼管(guan)表(biao)面(mian)產生缺(que)陷的(de)(de)(de)可(ke)能(neng)性(xing)增加。坯料(liao)(liao)表(biao)面(mian)的(de)(de)(de)接觸(chu)摩擦不均勻(yun)(yun),引起鋼管(guan)圓(yuan)周金屬流動(dong)的(de)(de)(de)不均勻(yun)(yun)。為了防(fang)止擠壓制品(pin)產生缺(que)陷,均勻(yun)(yun)地涂敷玻璃(li)潤滑劑顯得十分(fen)重要。除此之外,對于(yu)低塑性(xing)難(nan)變形材料(liao)(liao)的(de)(de)(de)擠壓,還可(ke)以采取以下工藝措施來提高材料(liao)(liao)的(de)(de)(de)可(ke)塑性(xing),防(fang)止擠壓材料(liao)(liao)連續(xu)性(xing)的(de)(de)(de)破壞:
1. 包(bao)塑性包(bao)套
在(zai)(zai)坯料(liao)的(de)(de)內表面(mian)上包(bao)一層(ceng)塑性(xing)(xing)金(jin)屬(shu),從而在(zai)(zai)擠(ji)壓變形時,在(zai)(zai)塑性(xing)(xing)包(bao)套(tao)內承受著最大的(de)(de)拉應力。當被擠(ji)壓金(jin)屬(shu)的(de)(de)可塑性(xing)(xing)比較(jiao)低時,塑性(xing)(xing)包(bao)套(tao)包(bao)在(zai)(zai)外表面(mian)。包(bao)塑性(xing)(xing)包(bao)套(tao)有幾種方(fang)(fang)法(fa):a. 套(tao)管與坯料(liao)用(yong)簡(jian)單的(de)(de)機械結(jie)合(he),這(zhe)種方(fang)(fang)法(fa)最簡(jian)單;b. 電解涂(tu)層(ceng);c. 離心鑄造等。在(zai)(zai)擠(ji)壓鎳(nie)合(he)金(jin)管(如Ni36GrTiAIMo合(he)金(jin)管)時,采(cai)用(yong)第(di)一種方(fang)(fang)法(fa)包(bao)塑性(xing)(xing)包(bao)套(tao),擠(ji)壓出的(de)(de)鎳(nie)合(he)金(jin)管的(de)(de)內表面(mian)質量如圖5-4所示。

在擠壓鎳合金時,用321不(bu)銹鋼(gang)制作坯料內表面的塑性保護套。保護套的厚度與延伸系數有關,擠壓后塑性層壁厚為0.8~1.0mm.在擠壓Ni38CrTiAlMo5 合金管時,采用3.5mm的碳鋼內套,用電焊將碳鋼管焊接在坯料上。
2. 采用帶錐(zhui)度(du)的擠壓芯棒
在擠壓高強(qiang)(qiang)度合(he)金(jin)時,由(you)于高強(qiang)(qiang)度合(he)金(jin)的(de)最大變(bian)形力(li)很大,為(wei)了減小(xiao)變(bian)形力(li),采用(yong)端部帶錐(zhui)度的(de)擠壓芯棒。
3. 坯料前端焊接碳鋼墊(dian)片(pian)
擠壓高強度鎳合(he)金管(guan)時(shi),將碳(tan)鋼制(zhi)成50mm厚(hou)的(de)墊片,并將其(qi)焊接在(zai)坯料前端(duan)。這樣可以降低開(kai)始擠壓時(shi)最大壓力的(de)峰值,擠壓完成后碳(tan)鋼墊片會形成擠壓管(guan)的(de)前端(duan)。
4. 坯(pi)料后端焊接塑性墊片
為(wei)了充分利用貴金(jin)屬,并使(shi)擠(ji)壓(ya)后擠(ji)壓(ya)管(guan)與(yu)壓(ya)余(yu)容易分離,在個別情況下(xia)可將(jiang)塑性(xing)墊(dian)片焊接(jie)在坯(pi)料的(de)后端(duan),墊(dian)片的(de)厚度(du)應(ying)該是使(shi)其完(wan)全成為(wei)壓(ya)余(yu)的(de)厚度(du)。
5. 用反擠(ji)壓法(fa)提高材(cai)料(liao)的塑性
在變(bian)形條件下,當變(bian)形區內建立起推力時,工作液體的靜壓力可(ke)以(yi)增高到(dao)金屬材料(liao)(liao)屈服極限的5~6倍,因而甚至可(ke)成功擠(ji)壓易碎的材料(liao)(liao),如粉末冶(ye)金的坯(pi)料(liao)(liao)、灰口鐵等。
6. 建立(li)“反壓力”
在實際工業生產中,用低塑性合金擠壓管子時,采用將擠壓模的圓柱帶從10mm增加到15~25mm或者以小角度代替圓錐部分,即采用模子的人口角為5°~15°,使其建立“反壓力”,可成功地用鎳合金坯料擠壓出鎳管而沒有破壞。此時,工作液體的靜壓力僅提高到(1.5~1.8)σb。
7. 降低坯料加熱溫度(du)
當擠壓管(guan)有(you)一層易碎材料的(de)(de)(de)(de)雙(shuang)金屬管(guan)或雙(shuang)層管(guan)時,為(wei)了提高(gao)變形區內工作液(ye)體的(de)(de)(de)(de)靜壓力,可(ke)采用降低坯料加熱溫度的(de)(de)(de)(de)方法。在這種情況下,易碎層的(de)(de)(de)(de)可(ke)塑性顯(xian)著提高(gao),防止了裂紋的(de)(de)(de)(de)產生。
8. 采用(yong)帶圓錐(zhui)孔型的(de)模(mo)具(ju)
俄羅斯巴(ba)爾金中央黑色(se)冶金科學(xue)研究院在拼壓不銹鋼、鎳基高溫合金和難熔金屬(shu)時,采(cai)用帶圓錐孔型的模子進行試(shi)驗(yan),其最小的擠(ji)(ji)壓力(li)是發生在采(cai)用的擠(ji)(ji)壓模喇(la)叭(ba)(ba)口(kou)入口(kou)角度2am=90°~120°的情況下(xia),擠(ji)(ji)壓模的進口(kou)喇(la)叭(ba)(ba)口(kou)入口(kou)角在90°~120°間上下(xia)波動,都會使擠(ji)(ji)壓力(li)平均增加10%~15%。
9. 采用鉬合金“可(ke)拆換環”的(de)組合結構擠壓模
組(zu)合模(mo)(mo)由(you)模(mo)(mo)盒、模(mo)(mo)環(huan)(huan)、彈(dan)簧組(zu)成,為了(le)提高擠(ji)壓過程(cheng)的穩定(ding)性,模(mo)(mo)環(huan)(huan)可采(cai)用鉬合金(MTZ)制作。擠(ji)壓操(cao)作時,可由(you)10~16個鉬合金環(huan)(huan)組(zu)成的擠(ji)壓模(mo)(mo)輪流(liu)作業,由(you)于(yu)模(mo)(mo)盒與模(mo)(mo)環(huan)(huan)借助(zhu)于(yu)彈(dan)簧固定(ding),可以方(fang)便(bian)地(di)裝(zhuang)卸。
二、特(te)殊(shu)結構組合(he)擠(ji)壓模的使用
為了確保玻璃潤滑劑的連續供給,保護擠壓模工作部分免受過熱和磨損,俄羅斯巴爾金中央黑色冶金科學研究院專門針對鎳基高溫合金和難熔金屬的擠壓設計了具有特殊結構的組合擠壓模,其結構如圖5-5所示。

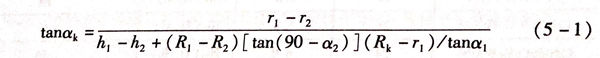
該擠壓模由金屬模套1、特殊材料擠壓模2和特殊形狀潤滑墊3組成。潤滑墊3既是模子組成形狀的一部分,也可作為變形金屬的潤滑源。收縮錐的AB外環高度為h1,角度為α1,定徑孔直徑為2r1;內環高度為h2,錐角為α2,定徑孔直徑2r2<2r1.在該模子中,變形區的側面形狀的長度包括AB和BC兩部分,形成帶有由玻璃潤滑材料構成的入口錐的雙錐形孔型。模子平面BCDEF 被玻璃潤滑劑填滿,玻璃潤滑劑形成了第二個壓縮錐BC,其角度為αk為:

式(5-1)包含了設計擠壓模(mo)孔(kong)型時(shi)的(de)全部(bu)要素尺寸。
改變第一和第二個圓錐之間的延伸系數的比值、角度α1和α2以及內部嵌入物的輪廓尺寸,可以得到不同定徑帶的配合,且同時并不超過模子的基本尺寸(高度h1).在r1=Rk時,可得到由母線AC和角度αoδ所成的圓錐模子定徑帶;在r1=r2時,在模子中產生凸緣長度為BC的圓錐或平面(α1=90°)定徑帶。因此,模子潤滑錐的角度a,可以在αoδ~0°范圍變化。
將粉末(mo)狀(zhuang)玻璃潤滑(hua)劑,附加黏結劑(水玻璃、紙漿(jiang)廢(fei)液等)的混合物裝入組合模干(gan)燥后使用。
擠壓前,在擠壓模上部的圓錐上放置玻璃潤滑墊。擠壓過程中玻璃的剩余物充滿空間3。在擠壓負荷的作用下,玻璃潤(run)滑劑被擠壓成模子不可分離的部分。模子中位于直接鄰近定徑區的玻璃潤滑劑可形成連續的玻璃膜,保證金屬在流體動摩擦條件下完成變形。而玻璃潤滑劑的隔熱性能可降低模子凸緣部分金屬的受熱程度,從而提高擠壓模的使用壽命。新型結構組合模的應用實踐表明,單從模子的使用壽命來考慮,新型結構組合模的使用壽命是圓錐模的數倍。
擠壓含硼的不銹鋼產品時發現,產品縱向和橫向上的力學性能存在較大的各向異性,這是由于附加相的縱向變形顯著或不溶性非金屬化合物在縱向呈條狀所致。
為了避免擠壓(ya)產(chan)品(pin)出現性(xing)能的(de)(de)(de)各(ge)向(xiang)異性(xing),擠壓(ya)時強迫產(chan)品(pin)在(zai)成形(xing)過(guo)程中進行旋(xuan)轉,造成擠壓(ya)產(chan)品(pin)性(xing)能各(ge)向(xiang)異性(xing)的(de)(de)(de)相組織條(tiao)紋線(xian)呈螺旋(xuan)形(xing)布(bu)置。在(zai)模(mo)子(zi)錐(zhui)形(xing)部(bu)分刻成螺旋(xuan)形(xing)的(de)(de)(de)凹(ao)線(xian),而在(zai)模(mo)子(zi)的(de)(de)(de)圓柱帶無這(zhe)種凹(ao)槽。擠壓(ya)時,產(chan)品(pin)依(yi)靠這(zhe)種專門的(de)(de)(de)模(mo)子(zi)旋(xuan)轉,完成附加相的(de)(de)(de)螺旋(xuan)形(xing)分布(bu),擠壓(ya)出的(de)(de)(de)鋼管仍具(ju)有光滑外表面。在(zai)采用帶凹(ao)線(xian)入口錐(zhui)形(xing)模(mo)擠壓(ya),含硼(peng)產(chan)品(pin)力學性(xing)能的(de)(de)(de)各(ge)向(xiang)異性(xing)明顯(xian)下降。

