作(zuo)為應力腐(fu)蝕裂(lie)紋(wen)的萌生(sheng)源,久久99國產精品久久99果凍傳媒:點蝕的(de)(de)(de)(de)產生(sheng)(sheng)以及生(sheng)(sheng)長(chang)過程相(xiang)(xiang)當于(yu)裂紋的(de)(de)(de)(de)孕(yun)育(yu)期。目前,對于(yu)點蝕(shi)(shi)的(de)(de)(de)(de)萌(meng)生(sheng)(sheng)機理(li)有(you)很多說法,每一種機理(li)都得到了相(xiang)(xiang)當多的(de)(de)(de)(de)實(shi)驗支持。點蝕(shi)(shi)萌(meng)生(sheng)(sheng)機理(li)雖(sui)多,但(dan)是建立的(de)(de)(de)(de)相(xiang)(xiang)應判據(ju)卻(que)很少。點蝕(shi)(shi)的(de)(de)(de)(de)萌(meng)生(sheng)(sheng)和生(sheng)(sheng)長(chang)受(shou)很多因素的(de)(de)(de)(de)影響,如(ru)腐(fu)蝕(shi)(shi)介質的(de)(de)(de)(de)成(cheng)分、溫度和流動狀(zhuang)態,材(cai)料的(de)(de)(de)(de)力學性能(neng)、表面(mian)硬質夾雜和粗(cu)糙(cao)度,這些物理(li)量(liang)的(de)(de)(de)(de)不確定性使得點蝕(shi)(shi)在(zai)整個生(sheng)(sheng)命周期內的(de)(de)(de)(de)發展具有(you)很大(da)的(de)(de)(de)(de)隨(sui)機性。本章中,在(zai)點蝕(shi)(shi)機理(li)的(de)(de)(de)(de)研(yan)究(jiu)(jiu)基礎上,建立點蝕(shi)(shi)萌(meng)生(sheng)(sheng)判據(ju),并把點蝕(shi)(shi)分為兩(liang)個不同的(de)(de)(de)(de)階(jie)段,即(ji)點蝕(shi)(shi)的(de)(de)(de)(de)萌(meng)生(sheng)(sheng)和生(sheng)(sheng)長(chang),分別研(yan)究(jiu)(jiu)這兩(liang)個階(jie)段的(de)(de)(de)(de)隨(sui)機性。
一、點蝕的產生
奧氏體不銹鋼表面點蝕的產生是由于鈍化膜受到局部破壞,使其下的基體不斷溶解造成的。在相同外部條件下,鋼表面存在缺陷的鈍化膜會優先破壞,鈍化膜的劃傷或應力集中、晶格缺陷、表面夾雜都可能是產生點蝕的起因。對于不(bu)銹鋼,點蝕幾乎無一例外地從硫化物夾雜部位萌生。在外加拉應力的作用下,由于夾雜物與基體材料邊界處存在一定的應力集中,鈍化膜會優先在應力集中程度大的地方破裂,使得硫化物與周圍的基體材料之間形成縫隙,造成硫化物周圍環境的改變。在局部環境的影響下,硫化物容易溶解,溶解的硫化物再附著在該位置,形成封閉的區間,封閉區內溶液成分發生變化,易于溶解基體材料,最終使點蝕形核。
在拉應(ying)力(li)的(de)作用下,鈍化膜易修復,產(chan)生(sheng)點(dian)(dian)蝕(shi)所需時間縮短,產(chan)生(sheng)點(dian)(dian)蝕(shi)的(de)概率也會增大。但是(shi),點(dian)(dian)蝕(shi)的(de)產(chan)生(sheng)主要(yao)還是(shi)受電化學過程控(kong)制(zhi)。因(yin)此,從電化學角度建立點(dian)(dian)蝕(shi)的(de)萌生(sheng)判據(ju)更(geng)加合理。
1. 點蝕(shi)產(chan)生的電化(hua)學判據
點蝕的產生與點蝕電位φp有密切關系。在實際情況中,點蝕電位是用來確定鈍態金屬耐點蝕能力的重要參數。由于不銹鋼的點蝕優先在一些夾雜物部位形核,因此對于每個鈍態金屬腐蝕體系,總會存在一個臨界點蝕電位φcp,即鈍態金屬表面上具有臨界尺寸和最大活性點的平衡電位。在自腐蝕狀態下,如果把臨界點蝕電位作為點蝕發生的阻力,那么鈍態體系的腐蝕電位φcorr則成為推動點蝕萌生的動力。當體系的腐蝕電位超過臨界點蝕電位時,點蝕就可能萌生。
a. 動力
在中性(xing)(xing)、堿性(xing)(xing)及弱(ruo)酸性(xing)(xing)介質中,奧氏(shi)體不(bu)銹鋼點蝕(shi)與其他大多數金屬的(de)腐(fu)備一(yi)樣,都屬于氧(yang)去極化腐(fu)蝕(shi)。假設不(bu)銹鋼在弱(ruo)酸性(xing)(xing)NaCl溶液中陰極反(fan)應僅(jin)為(wei)氧(yang)的(de)還(huan)原反(fan)應:

根據混合電位理論,在自腐蝕狀態下,金屬的陽極溶解電流密度ia與去極化劑陰極反應電流密度的絕對值ic相等,電化學反應步驟控制時,氧還原反應的超電位ηo可由以下公式計算:

在(zai)酸(suan)性環境中,氧還原反應的基本步驟可分為(wei):

b. 阻力
不銹鋼表面的鈍化膜對基體的保護程度與鈍化膜的穩定性、致密性等有關。夾雜物的存在使鈍化膜產生缺陷,Cl-等侵蝕性離子很容易沉積在鈍化膜缺陷處,使鈍態體系的臨界點蝕電位φcp降低。
目前,沒有通用的理論公式來計算臨界點蝕電位φcp和點蝕電位φp數值。
點蝕電位可以通過測極化曲線得到,一般把掃描速度接近于0時的測量值作為真正的點蝕電位,此時,臨界點蝕電位和測量點蝕電位相差很小。因此,掃描速度為0時的點蝕電位可作為臨界點蝕電位的近似值。但在實際情況中,把掃描速度設為0是不現實的。為求得真實的點蝕電位,可以對不同掃描速度下測得的φp進行線性擬合,并采用外推法,外推至掃描速度為0時的數值即為真實的點蝕電位。通過試驗發現,Cl-濃度越低,掃描速度對點蝕電位的影響越小。當Cl-濃度較小時,掃描速度為10mV/min時測得的點蝕電位與掃描速度為0時的點蝕電位相近。為了減少試驗數量,可以把掃描速度為10mV/min時測得的點蝕電位近似作為臨界點蝕電位。
受試驗條件的(de)(de)(de)限(xian)制(zhi),一般測(ce)得的(de)(de)(de)臨(lin)界(jie)點(dian)蝕(shi)電(dian)位(wei)(wei)沒考(kao)慮應(ying)(ying)力的(de)(de)(de)影(ying)響,但是應(ying)(ying)力可以提高金屬基(ji)體和表(biao)面氧化膜(mo)層的(de)(de)(de)化學位(wei)(wei),還(huan)會使(shi)金屬表(biao)面的(de)(de)(de)缺(que)陷位(wei)(wei)置發生應(ying)(ying)力集中,從(cong)而(er)使(shi)臨(lin)界(jie)點(dian)蝕(shi)電(dian)位(wei)(wei)降低。在彈(dan)性變形范(fan)圍內,因應(ying)(ying)力而(er)引起(qi)的(de)(de)(de)臨(lin)界(jie)直(zhi)蝕(shi)電(dian)位(wei)(wei)變化可以用下式計算:

不(bu)考慮(lv)應力(li)集(ji)(ji)中(zhong)時(shi),由式(shi)(4-8)計算出的電(dian)位降與文(wen)獻(xian)的實(shi)測(ce)值處于同一數(shu)量(liang)級。然(ran)而,MnS夾(jia)雜與基(ji)體材料相交部位會(hui)存在一定的應力(li)集(ji)(ji)中(zhong)。根據(ju)文(wen)獻(xian)取(qu)應力(li)集(ji)(ji)中(zhong)系(xi)數(shu)為2,當施加(jia)240MPa(小于屈服強度)的應力(li)時(shi),由式(shi)(4-8)計算得到臨(lin)界點(dian)蝕電(dian)位變化量(liang)ΔΦcp=-18mV.受MnS形狀的影響,有(you)些(xie)部位的應力(li)集(ji)(ji)中(zhong)系(xi)數(shu)可能遠大于2,臨(lin)界點(dian)蝕電(dian)位的降低(di)量(liang)會(hui)更(geng)大。
基于以上分析,點蝕產生的準則為: φcorr > Ψcp (4-9)
2. 點蝕產生的概(gai)率分析
從以上分析可以看出,點蝕的產生受很多變量的影響,變量的不確定性給點蝕產生帶來很大的隨機性,主要的隨機變量為T、pH、ib、i0以及φcp。對某煉油廠提供的監測數據進行統計分析,經過x2檢驗發現,在顯著性水平0.05下,溫度T和溶液的pH值都滿足正態分布,如圖4-1所示。變量φcp、ip、io的隨機性需要通過試驗數據統計獲得。根據文獻的試驗結果,當Cl-濃度較小(約60mg/kg以下)時,維鈍電流密度和交換電流密度變化很小,可作為確定性變量;當Cl-濃度大于60mg/kg時,分析發現,維鈍電流密度和交換電流密度滿足正態分布。

當(dang)考慮以上變量的隨機性(xing)時,點蝕(shi)萌生概率可表示為(wei):

Cl-濃度較低的情況下(小于60mg/L),變量i0和ip的隨機性可忽略,點蝕萌生的概率表達式為:

隨著時間的增加,Cl-在活性點的吸附量增多,加速了鈍化膜的溶解,從而使臨界點蝕電位向負方向偏移。因此,臨界點蝕電位隨時間在數值上是減小的,即t↑→φcb(t)↓.因此,采用強度退化的動態應力-強度模型可以很好地描述點蝕產生隨時間的變化關系,模型如圖4-2所示。

3. 計算實例
為分析點蝕萌生概率,以304L不(bu)銹(xiu)鋼為試樣,進行動電位極化曲線測試,材料化學成分如表4-1所示。把圓柱形試樣用環氧樹脂密封,只保留直徑為1cm的圓形表面,經打磨、拋光、清洗、吹干后備用。電化學實驗采用三電極體系,工作電極的封裝過程如下:

①. 準備環氧樹脂。通常是按照(zhao)特定比例,混(hun)合A、B兩膠。混(hun)合后的環氧樹脂很(hen)黏稠。
②. 抽(chou)濾環(huan)氧樹脂。用真空泵將環(huan)氧樹脂中的氣泡抽(chou)出。
③. 準備模具和樣(yang)品(pin)。將一個PVC環平放在桌面(mian)/墊布上,將和銅導柱焊接(jie)在一起的樣(yang)品(pin)倒立放置在PVC環的中央。
④. 往圓環(huan)(huan)中倒入環(huan)(huan)氧樹脂,在室溫下風干至少24h。
⑤. 在打磨(mo)機上(shang)對電極進(jin)行打磨(mo)拋光直至形成鏡面。如樣(yang)品和銅導柱之間焊接的不好,打磨(mo)的外力可能會(hui)導致接觸不良(liang),以致測試(shi)時導通不良(liang)好。
試驗溶液為0.1%NaCl+CH3COOH,溶液的pH值為5左右。把試樣分批次浸泡在試驗溶液中,浸泡時間分別為0d、5d、25d、45d、60d、65d.把浸泡后的試樣作為工作電極進行極化曲線測試,試驗后部分試樣表面點蝕情況如圖4-3所示。室溫下,由于溫度波動很小,把溫度作為確定性變量;介質為空氣所飽和,氧分壓比取0.21;對實驗數據進行統計處理后,采用蒙特卡羅數值模擬法計算不同時間的點蝕萌生概率。當模擬次數大于105時,計算結果基本不隨模擬次數的增加而變化。因此,把模擬次數為105時的計算結果作為最終值,結果如圖4-4所示。


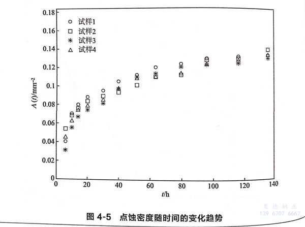
二、點(dian)蝕(shi)產生率分析
為(wei)(wei)了解不同時(shi)間(jian)(jian)點(dian)(dian)蝕(shi)(shi)萌生數量,采用浸泡法研(yan)究點(dian)(dian)蝕(shi)(shi)的(de)萌生率,為(wei)(wei)縮短試(shi)驗(yan)周期(qi),使用FeCl。溶液作為(wei)(wei)腐(fu)蝕(shi)(shi)液。試(shi)驗(yan)用材、試(shi)樣(yang)尺寸、封裝方(fang)式同4.1.3節,試(shi)樣(yang)打(da)磨(mo)后(hou)放入(ru)6%FeCl3溶液中浸泡。經(jing)過(guo)一(yi)定時(shi)間(jian)(jian)的(de)腐(fu)蝕(shi)(shi)后(hou),把試(shi)樣(yang)取出,經(jing)清洗和烘干,在低倍鏡下測量單位(wei)面(mian)積上的(de)點(dian)(dian)蝕(shi)(shi)坑(keng)數目。點(dian)(dian)蝕(shi)(shi)密度隨浸泡時(shi)間(jian)(jian)的(de)變(bian)化趨(qu)(qu)勢如圖4-5所(suo)示。從圖4-5可看出,點(dian)(dian)蝕(shi)(shi)產生的(de)初(chu)始階段,點(dian)(dian)蝕(shi)(shi)萌生率很(hen)大,經(jing)過(guo)一(yi)段時(shi)間(jian)(jian)后(hou)逐(zhu)漸減小,并趨(qu)(qu)于平穩(wen)。由于點(dian)(dian)蝕(shi)(shi)的(de)產生與材料(liao)表(biao)面(mian)的(de)MnS夾雜(za)(za)有(you)關(guan),MnS夾雜(za)(za)部位(wei)點(dian)(dian)蝕(shi)(shi)的(de)孕育時(shi)間(jian)(jian)基(ji)本相同,點(dian)(dian)蝕(shi)(shi)萌生時(shi)間(jian)(jian)比(bi)較集中。

點蝕(shi)(shi)(shi)萌生(sheng)(sheng)率(lv)趨于平(ping)穩的(de)原因有兩方面(mian):一(yi)方面(mian),當材料表(biao)面(mian)絕大(da)部分的(de)MnS夾雜溶解并(bing)形成(cheng)點蝕(shi)(shi)(shi)坑后,點蝕(shi)(shi)(shi)坑萌生(sheng)(sheng)速(su)率(lv)由萌生(sheng)(sheng)速(su)率(lv)平(ping)穩的(de)光滑表(biao)面(mian)上形成(cheng)的(de)點蝕(shi)(shi)(shi)坑控制(zhi)(zhi);另一(yi)方面(mian),在已有的(de)點蝕(shi)(shi)(shi)坑生(sheng)(sheng)長過程中,坑外的(de)陰極反應抑制(zhi)(zhi)了(le)(le)點蝕(shi)(shi)(shi)坑周(zhou)圍鈍化膜的(de)溶解,降低了(le)(le)點蝕(shi)(shi)(shi)敏感性。
為了描(miao)述點(dian)蝕萌生數量(liang)與時間之間的關(guan)系(xi),選用(yong)非(fei)齊次泊松(song)過(guo)程來(lai)模擬點(dian)蝕的萌生過(guo)程。定(ding)義(yi)平均點(dian)蝕密(mi)度為:

根據試驗數據,采用極大似然法估算γ 和 δ 值。假設第 i 個時間區間(ti-1,ti)內單位面積上萌生的點蝕數目ki,每個進行了12次觀察,根據式(4-14),可得到任一試樣j 上點蝕萌生數目分布的似然函數:

采用MATLAB軟件求解,分別(bie)得到(dao)γ和8的(de)最(zui)大似然估計值(zhi)為(wei)0.0317和0.301。根(gen)據參數擬合的(de)曲線(如圖4-6所示),雖然單個試(shi)樣(yang)上點蝕萌生數量(liang)與(yu)擬合結果有一(yi)定的(de)差距,但是綜(zong)合所有的(de)試(shi)樣(yang)來(lai)比較,試(shi)驗值(zhi)與(yu)模擬值(zhi)是很接(jie)近的(de)。因此,采用非齊次泊松過程(cheng)可以很好地描述(shu)奧氏體不(bu)銹鋼點蝕產生過程(cheng)的(de)隨機性。

三、點蝕生長概率分析
1. 點蝕生(sheng)長模型
穩態點蝕一旦形成,坑外發生陰極反應:2H2O+O2+4e- → 4OH-或H++e- → H;坑內的金屬發生陽極溶解反應:M→Mn++ne-;金屬離子向外擴散并會進一步發生水解反應:Mn++H2O→M(OH)(n-1)++H+。腐蝕產物和可溶性鹽在坑口沉淀,使蝕坑形成閉塞電池。隨著水解反應的進行,點蝕坑內溶液的酸性增強,為了保持電荷平衡,Cl-向坑內遷移,坑壁金屬無法再鈍化,坑內Cl-濃度逐漸升高,加速了腐蝕進程。
點(dian)(dian)蝕坑(keng)的(de)形(xing)(xing)狀有(you)半(ban)球(qiu)(qiu)形(xing)(xing)、半(ban)橢球(qiu)(qiu)性、錐形(xing)(xing)等,其中半(ban)橢球(qiu)(qiu)形(xing)(xing)是奧氏體不銹鋼點(dian)(dian)蝕中最常見(jian)的(de)一種類(lei)型。假(jia)設點(dian)(dian)蝕坑(keng)的(de)形(xing)(xing)狀為(wei)半(ban)橢球(qiu)(qiu)形(xing)(xing),長(chang)軸(zhou)、短軸(zhou)和深度(du)分別用2b、2c、a表示,當(dang)開口平面內(nei)長(chang)、短兩軸(zhou)相(xiang)等,即b=c時,點(dian)(dian)蝕坑(keng)的(de)體積可寫為(wei):

點蝕坑的生長包括亞穩態和穩態兩個階段。亞穩態點蝕生長過程中,一般點蝕電流密度較大,點蝕生長較快,與整個點蝕生長過程相比較,此階段所經歷的時間很短。可以采用點蝕電流密度ip和點蝕坑深度a的乘積值來判斷點蝕是否已發展到穩定狀態。Pistorius等人的研究表明,當ipa值達到3×10-4A/mm時就可使點蝕坑穩定生長。根據文獻的研究結果,304L不銹鋼在3.5%NaCl溶液中亞穩態點蝕活性溶解階段電流密度為3.5×10-2A/m㎡,由此可計算出穩態點蝕坑的初始深度為8.57μm。
2. 點蝕生長概率(lv)
根據式(4-22)來分析點蝕生長概率,首先需要分析表達式中的確定變量有隨機變量。其中,M、z和p是確定變量,Ip、? 和a0為隨機變量。在點蝕者定生長階段,由于不考慮形態的變化,可以只考慮Ip和a0的不確定性而忽略形狀系數?的不確定性。
a. Ip的不確定性

由于不同的環境和應力作用下Ip0無法通過計算公式得到,因此Ip的隨機性只能通過對大量實測數據統計獲得。
b. ao的不確定性
假設點蝕初始深度等于MnS夾雜物的橫截面尺寸,那么,ao的不確定性是由夾雜物的尺寸引起的。對于奧(ao)氏體不銹鋼,MnS夾雜物直徑在1~5μm之間,根據文獻的統計,MnS夾雜物橫截面尺寸服從對數正態分布,均值和方差分別是2μm和0.1μ㎡,根據概率理論求得ao的概率密度函數為:

四(si)、總(zong)結
本次主要研究(jiu)了點蝕的(de)萌(meng)生和生長(chang),在此(ci)基礎(chu)上,分析了萌(meng)生和生長(chang)的(de)概率(lv)。
①. 分析點蝕萌(meng)生(sheng)的(de)電化(hua)學(xue)機理(li),建立了點蝕萌(meng)生(sheng)的(de)判(pan)據(ju)(ju)。根據(ju)(ju)試驗數(shu)據(ju)(ju);計算了點蝕萌(meng)生(sheng)的(de)概率。
②. 對(dui)304L不銹鋼點蝕實驗數(shu)據進行了分析,采(cai)用(yong)非齊次(ci)泊(bo)松過程(cheng)描述了點蝕產(chan)生的隨機過程(cheng),并對(dui)模(mo)型的參(can)數(shu)進行了估計(ji)。
③. 對(dui)半橢球點蝕坑的生長過程進(jin)行了建模,分析了模型中變量的隨機性。
結果表明,點蝕坑深度尺寸(cun)(cun)的(de)概率主要與點蝕電流和MnS夾雜物的(de)尺寸(cun)(cun)兩個隨機(ji)變量有關(guan)。

