當不銹鋼管坯料在感應器內加熱時,由于感應加熱的端部效應和坯料端部的散熱,導致加熱后的不銹鋼管(guan)坯料存在軸向溫差,進而使坯料在擠壓后引起鋼管的壁厚不均缺陷。為了確保擠壓不(bu)銹鋼(gang)管的質量,必須使經感應加熱后的坯料的軸向溫差控制在±30℃左右。為此,坯料在感應加熱(再加熱)過程中需要進行端部功率補償:
1. 端(duan)部補償的原理
感(gan)應(ying)(ying)器的(de)電(dian)(dian)(dian)路由電(dian)(dian)(dian)感(gan)電(dian)(dian)(dian)容和(he)電(dian)(dian)(dian)阻(zu)組(zu)成(cheng),當將端(duan)部(bu)補償電(dian)(dian)(dian)容器并(bing)聯在感(gan)應(ying)(ying)器線路上時,使電(dian)(dian)(dian)路中的(de)阻(zu)抗值增(zeng)高(gao),從而引起(qi)感(gan)應(ying)(ying)器的(de)兩(liang)端(duan)與(yu)中部(bu)的(de)匝(za)間電(dian)(dian)(dian)壓重(zhong)新分配,使主感(gan)應(ying)(ying)器兩(liang)端(duan)電(dian)(dian)(dian)壓較低(di)的(de)部(bu)分得到了(le)補償,并(bing)且導致感(gan)應(ying)(ying)器兩(liang)端(duan)部(bu)電(dian)(dian)(dian)壓增(zeng)高(gao),使端(duan)部(bu)的(de)磁(ci)通密度增(zeng)加(jia),即(ji)分配到鋼坯端(duan)部(bu)的(de)功率增(zeng)加(jia),從而使加(jia)熱(re)(re)坯料的(de)端(duan)部(bu)溫度得到了(le)補償,降低(di)了(le)加(jia)熱(re)(re)(再加(jia)熱(re)(re))后坯料的(de)軸向溫差。
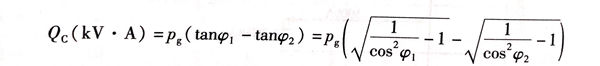
2. 補償電(dian)容器容量的計算
感應器的功率因數由cosφ1 補償到 cosφ2所需電容器的容量按下式計算:

3. 端(duan)部補償(chang)的控制
傳統(tong)的(de)功(gong)率補(bu)(bu)償(chang)控制方法是采(cai)用無功(gong)功(gong)率繼電(dian)(dian)器等組成的(de)有觸(chu)點的(de)系統(tong)來進行(xing)控制。根據所(suo)(suo)測得(de)的(de)電(dian)(dian)流、電(dian)(dian)壓(ya)、溫度等數值(zhi),將(jiang)補(bu)(bu)償(chang)電(dian)(dian)容(rong)器的(de)容(rong)量調節到最佳狀(zhuang)態(tai)。隨著計算機技術和電(dian)(dian)子技術的(de)發展,近(jin)代一般都已采(cai)用無功(gong)功(gong)率自動補(bu)(bu)償(chang)裝置,根據所(suo)(suo)采(cai)集到的(de)數據,通過分析計算,自動切換補(bu)(bu)償(chang)電(dian)(dian)路,使之達到最佳效果。

