存(cun)在(zai)拉應力的情(qing)況(kuang)下(xia),久久99國產精品久久99果凍傳媒:應力腐蝕裂(lie)紋優先在點(dian)(dian)蝕(shi)坑(keng)處萌(meng)生并擴(kuo)展。在本章(zhang)中,基于對點(dian)(dian)蝕(shi)坑(keng)內(nei)裂(lie)紋萌(meng)生位置(zhi)的觀察(cha),計(ji)算點(dian)(dian)蝕(shi)坑(keng)內(nei)的應力集中系數,分析點(dian)(dian)蝕(shi)坑(keng)形(xing)貌對裂(lie)紋萌(meng)生的影響以及(ji)點(dian)(dian)蝕(shi)坑(keng)內(nei)裂(lie)紋萌(meng)生機(ji)理。對高溫(wen)低CI-濃度環境中(zhong)裂紋(wen)(wen)的擴展速率進行研究,并分析裂紋(wen)(wen)擴展的隨(sui)機(ji)性。
一、應力腐蝕裂(lie)紋的萌生
1. 點蝕坑(keng)形貌對(dui)裂紋萌生(sheng)的影響(xiang)
從電化學角度來說,由于金屬離子的水解,點蝕坑底的pH值更低、Cl-濃度更大,裂紋會優先在坑底萌生。但實際中發現,多數應力腐蝕裂紋在坑肩或坑口邊緣處萌生,無論在高應力還是低應力情況下,都發現了這種現象。圖5-1是慢拉伸試驗后掃描電鏡下觀察到的試樣表面點蝕坑和裂紋,從圖中可看出,點蝕形貌近似為半橢球形,在高應力作用下,沿拉伸方向的表面尺寸大于垂直于拉伸方向的表面尺寸。實際應力腐蝕開裂案例中,觀察到的點蝕坑和裂紋萌生位置及形貌如圖5-2所示。



由(you)圖5-1和(he)圖5-2可(ke)看出,裂紋(wen)在(zai)點蝕(shi)坑(keng)處的萌生(sheng)和(he)擴展方式主要有以(yi)下(xia)四種(zhong)情況(kuang):
①. 裂(lie)紋萌生于(yu)坑底,在垂直(zhi)于(yu)拉(la)應力方向沿蝕坑表(biao)(biao)面一直(zhi)擴展到坑外表(biao)(biao)面;
②. 裂(lie)紋萌生(sheng)于坑底,只(zhi)沿材料(liao)厚度方向擴(kuo)展,不(bu)向坑外(wai)表面擴(kuo)展;
③. 裂紋萌生于坑(keng)口或坑(keng)肩,只向(xiang)坑(keng)外(wai)表面擴展;
④. 裂紋(wen)在底部和坑口處同時萌生,沿表面向兩側同時擴展,最終匯合成主裂紋(wen)。
裂紋(wen)萌(meng)生(sheng)受(shou)力學(xue)作(zuo)用(yong)(yong)和電化學(xue)作(zuo)用(yong)(yong)共同作(zuo)用(yong)(yong),而力學(xue)作(zuo)用(yong)(yong)占重要地位。因此,由點(dian)蝕(shi)坑(keng)(keng)引起的局部應力集(ji)中在(zai)很大程度(du)(du)上決定(ding)了(le)裂紋(wen)萌(meng)生(sheng)位置(zhi)。為了(le)明確點(dian)蝕(shi)坑(keng)(keng)形貌與裂紋(wen)萌(meng)生(sheng)的關(guan)系,對點(dian)蝕(shi)坑(keng)(keng)尺寸進行(xing)了(le)測(ce)量。點(dian)蝕(shi)坑(keng)(keng)深度(du)(du)采(cai)用(yong)(yong)顯微法測(ce)量,放大倍(bei)數為200時(shi)的標尺如圖(tu)5-3(a)所(suo)(suo)示(shi),觀察(cha)到的點(dian)蝕(shi)坑(keng)(keng)底部和表面的圖(tu)像(xiang)如圖(tu)5-3(b)所(suo)(suo)示(shi)。


根據測得的(de)點蝕(shi)坑(keng)(keng)尺寸(cun),采(cai)用ABAQUS軟件對(dui)不同形(xing)貌點蝕(shi)坑(keng)(keng)建立三維模(mo)型(xing)(xing),分(fen)(fen)析點蝕(shi)坑(keng)(keng)內應(ying)力集中情況。點蝕(shi)坑(keng)(keng)形(xing)貌簡化為(wei)半橢球(qiu)形(xing):b為(wei)蝕(shi)坑(keng)(keng)半長(chang),沿拉伸方(fang)向;c為(wei)蝕(shi)坑(keng)(keng)半寬(kuan),垂直于拉伸方(fang)向;a為(wei)蝕(shi)坑(keng)(keng)深(shen)度。幾何模(mo)型(xing)(xing)和有(you)限元網格模(mo)型(xing)(xing)如圖5-4所示,模(mo)型(xing)(xing)中部分(fen)(fen)點蝕(shi)坑(keng)(keng)尺寸(cun)來源于應(ying)力腐蝕(shi)試驗后試樣中點蝕(shi)坑(keng)(keng)的(de)實際(ji)尺寸(cun)。材料(liao)模(mo)型(xing)(xing)采(cai)用彈塑性模(mo)型(xing)(xing),彈性模(mo)量(liang)E=210GPa,泊松比v=0.3.XY面施加Z方(fang)向的(de)約束(shu),即UY=0,XZ面采(cai)用對(dui)稱邊界。

由于研究目的是得到點蝕坑內應力集中系數,為便于計算,只沿橢球長軸方向施加10MPa的拉應力。坑內的應力集中系數Kt為:
Kt =σmax / σ(5-1)
式中 σmax-應力集中處最大Mises(米塞斯)應力。
首先對深坑內應力分布進行了模(mo)擬,結果如(ru)圖5-5所(suo)示。


由圖5-5(a)可知,深寬比a/2c=3.24、b=c=0.125mm的點蝕坑,最大應力位于坑肩部,Kt=2.6;坑底和坑口的應力分別為外加應力的1.9倍和2.3倍。保持寬度不變,深寬比增大為5.4,同時b增大到0.175mm,最大應力位于肩部,Kt=2.0;坑底和坑口的應力分別為外加應力的1.7倍和1.9倍,如圖5-5(b)所示。與圖5-5(a)中的點蝕坑相比,雖然圖5-5(b)中的點蝕坑深寬比增大,但由于長寬比增大,坑內各處應力集中程度反而減小。對于深寬比為2.025、半長和半寬都為0.2mm的點蝕坑,最大應力也位于肩部,Kt=2.55;坑底和坑口的應力分別為外加應力的2.2倍和2.3倍,如圖5-5(c)所示。
為了與深坑比較,對淺坑內的應力分布也進行了模擬,結果如圖5-6所示。對于a=b=c=0.2mm的半球形點蝕坑,最大應力出現在肩部,Kt=1.9;坑底和坑口的應力分別為外加應力的1.8倍和1.8倍,如圖5-6(a)所示。保持長度和寬度不變,深寬比減小至a/2c=0.1875時,最大應力出現在坑口,Kt=1.49;坑底和肩部的應力分別為外加應力的1.46倍和1.48倍,如圖5-6(b)所示。保持長和深度不變,減小寬度使深寬比為0.25時,最大應力出現在點蝕坑肩部,Kt=1.46;坑底和坑口的應力分別為外加應力的1.4倍和1.4倍,如圖5-6(c)所示。在圖5-6(c)幾何尺寸的基礎上減小蝕坑深度,使深寬比為0.133,應力分布情況如圖5-6(d)所示,最大應力出現在點蝕坑坑口,Kt=1.17;坑底和坑肩的應力分別為外加應力的1.14倍和1.1倍。

由(you)以(yi)上模擬結果(guo)可知:應(ying)(ying)力(li)集(ji)(ji)中區垂直于拉伸方向,且呈帶狀分(fen)布,當(dang)深寬比(bi)(bi)較大時,應(ying)(ying)力(li)集(ji)(ji)中帶從口部到底(di)部逐漸(jian)變(bian)窄;深坑(keng)(keng)(keng)(keng)中最大應(ying)(ying)力(li)出現在(zai)點蝕(shi)坑(keng)(keng)(keng)(keng)口下(xia)邊(bian)緣,淺坑(keng)(keng)(keng)(keng)中應(ying)(ying)力(li)最大值(zhi)位于點蝕(shi)坑(keng)(keng)(keng)(keng)口或(huo)坑(keng)(keng)(keng)(keng)口下(xia)邊(bian)緣;相同(tong)的長寬比(bi)(bi)下(xia),隨著a/2c值(zhi)的減小,應(ying)(ying)力(li)集(ji)(ji)中程度降低,應(ying)(ying)力(li)集(ji)(ji)中分(fen)布帶變(bian)寬且上下(xia)寬度趨(qu)于均勻;而深度相同(tong)時,b/c值(zhi)減小,應(ying)(ying)力(li)集(ji)(ji)中系(xi)數(shu)增大。因此,點蝕(shi)坑(keng)(keng)(keng)(keng)應(ying)(ying)力(li)集(ji)(ji)中系(xi)數(shu)的大小不僅(jin)與深寬比(bi)(bi)有(you)關,還與長寬比(bi)(bi)有(you)關,三者之間的關系(xi)如圖5-7所示。

不(bu)(bu)論是深坑(keng)(keng)(keng)還是淺(qian)坑(keng)(keng)(keng),點(dian)(dian)(dian)(dian)蝕(shi)(shi)(shi)坑(keng)(keng)(keng)口(kou)或下(xia)邊緣的應(ying)力(li)集中(zhong)(zhong)(zhong)程度最(zui)大,大部分(fen)裂紋(wen)(wen)會(hui)優先(xian)在(zai)此萌(meng)生,這與在(zai)試驗和(he)實際(ji)(ji)失效案例中(zhong)(zhong)(zhong)觀(guan)察到的現(xian)象是一致的。然(ran)而,也發(fa)現(xian)了(le)一些起(qi)源于坑(keng)(keng)(keng)底的裂紋(wen)(wen),這主(zhu)要有兩方面(mian)的原(yuan)因:一是淺(qian)蝕(shi)(shi)(shi)坑(keng)(keng)(keng)坑(keng)(keng)(keng)口(kou)、坑(keng)(keng)(keng)肩和(he)坑(keng)(keng)(keng)底的應(ying)力(li)集中(zhong)(zhong)(zhong)程度相差很小(xiao),微小(xiao)的力(li)學(xue)變(bian)(bian)化(hua)和(he)電化(hua)學(xue)溶(rong)解變(bian)(bian)化(hua)都可能引起(qi)裂紋(wen)(wen)萌(meng)生位置(zhi)的改變(bian)(bian);二是實際(ji)(ji)點(dian)(dian)(dian)(dian)蝕(shi)(shi)(shi)的形貌并不(bu)(bu)是標(biao)準(zhun)的半橢球形,受材(cai)料內(nei)部夾雜及晶(jing)體結構的影響,點(dian)(dian)(dian)(dian)蝕(shi)(shi)(shi)坑(keng)(keng)(keng)內(nei)部可能產生次(ci)級(ji)(ji)點(dian)(dian)(dian)(dian)蝕(shi)(shi)(shi)坑(keng)(keng)(keng),如(ru)(ru)圖5-8所(suo)示(shi),次(ci)級(ji)(ji)點(dian)(dian)(dian)(dian)蝕(shi)(shi)(shi)坑(keng)(keng)(keng)的存在(zai)引起(qi)最(zui)大應(ying)力(li)集中(zhong)(zhong)(zhong)位置(zhi)的改變(bian)(bian)。為了(le)研究次(ci)級(ji)(ji)點(dian)(dian)(dian)(dian)蝕(shi)(shi)(shi)坑(keng)(keng)(keng)對應(ying)力(li)集中(zhong)(zhong)(zhong)的影響,在(zai)初級(ji)(ji)點(dian)(dian)(dian)(dian)蝕(shi)(shi)(shi)坑(keng)(keng)(keng)的基礎上建立次(ci)級(ji)(ji)點(dian)(dian)(dian)(dian)蝕(shi)(shi)(shi)坑(keng)(keng)(keng)模(mo)型,并進(jin)行(xing)有限元(yuan)模(mo)擬。點(dian)(dian)(dian)(dian)蝕(shi)(shi)(shi)坑(keng)(keng)(keng)尺寸(cun):a=0.075mm,b=0.2mm,c=0.15mm;次(ci)級(ji)(ji)坑(keng)(keng)(keng)的尺寸(cun):a=b=c=0.01mm,幾何(he)模(mo)型如(ru)(ru)圖5-9所(suo)示(shi),施加10MPa的單向拉力(li),模(mo)擬結果如(ru)(ru)圖5-10所(suo)示(shi)。


由圖(tu)5-10可見,坑內最(zui)大應力(li)出現(xian)在次級點蝕坑的(de)(de)坑口(kou)(kou)處,應力(li)集(ji)(ji)中(zhong)系數為3.2,坑底的(de)(de)應力(li)為外加應力(li)的(de)(de)2.5倍;與圖(tu)5-6(b)相比,原點蝕坑坑肩和(he)坑口(kou)(kou)位置的(de)(de)應力(li)集(ji)(ji)中(zhong)程度基本沒變。
2. 裂(lie)紋(wen)萌生機理(li)
對于奧氏(shi)體不銹鋼應力腐蝕裂紋萌生,解釋最普遍的是滑移溶解機理。點蝕坑內,一方面,拉應力作用下形成的鈍化膜較薄,耐破裂能力差;另一方面,應力集中使局部的應力升高,容易引起位錯滑移,導致鈍化膜破裂。鈍化膜破裂后,露出活潑的新鮮金屬,滑移也使位錯密集和缺位增加,促成某些元素或雜質在滑移帶偏析,在腐蝕介質作用下發生陽極溶解。陽極溶解增強了局部塑性變形,使材料抗開裂能力下降,周而復始循環下去,導致應力腐蝕裂紋產生。通過對點蝕坑內裂紋萌生的研究發現,裂紋萌生于點蝕坑內應力較大的區域。從應力的角度出發,只要局部應力大于等于臨界應力,裂紋就形核。即
σmax ≥ σth(pH,T,acl-,材料微觀結構)(5-2)

從5.1.1節的(de)(de)(de)(de)分析發現,點(dian)蝕(shi)坑(keng)(keng)(keng)口和(he)(he)坑(keng)(keng)(keng)肩部位(wei)應力(li)集(ji)中(zhong)(zhong)程(cheng)度(du)(du)最(zui)大,裂(lie)紋(wen)會(hui)(hui)優(you)先(xian)在(zai)此(ci)萌(meng)生(sheng)(sheng)。材(cai)料的(de)(de)(de)(de)不均勻性和(he)(he)局(ju)部的(de)(de)(de)(de)電化學反應對應力(li)腐蝕(shi)裂(lie)紋(wen)的(de)(de)(de)(de)萌(meng)生(sheng)(sheng)也有一定的(de)(de)(de)(de)影(ying)響,雖然(ran)坑(keng)(keng)(keng)內(nei)裂(lie)紋(wen)萌(meng)生(sheng)(sheng)概(gai)率會(hui)(hui)隨著應力(li)集(ji)中(zhong)(zhong)程(cheng)度(du)(du)的(de)(de)(de)(de)增大而增大,但(dan)實際材(cai)料中(zhong)(zhong)夾雜(za)和(he)(he)缺陷的(de)(de)(de)(de)存(cun)在(zai)會(hui)(hui)改變局(ju)部的(de)(de)(de)(de)應力(li)集(ji)中(zhong)(zhong)分布情況,由此(ci)造成(cheng)理論分析和(he)(he)實際的(de)(de)(de)(de)差距。特(te)別是(shi)較淺的(de)(de)(de)(de)點(dian)蝕(shi)坑(keng)(keng)(keng),坑(keng)(keng)(keng)口、坑(keng)(keng)(keng)肩和(he)(he)坑(keng)(keng)(keng)底的(de)(de)(de)(de)應力(li)集(ji)中(zhong)(zhong)程(cheng)度(du)(du)相差不大,裂(lie)紋(wen)可(ke)能會(hui)(hui)在(zai)多個位(wei)置萌(meng)生(sheng)(sheng)。
把圖5-1(c)放大,發現點(dian)蝕坑(keng)底部存(cun)在很多(duo)長度為(wei)6~8μm的(de)微(wei)裂(lie)(lie)(lie)紋(wen)(wen)(wen),這(zhe)些微(wei)裂(lie)(lie)(lie)紋(wen)(wen)(wen)都垂直于拉伸方向,如(ru)圖5-11所示(shi)。產(chan)生(sheng)多(duo)條(tiao)裂(lie)(lie)(lie)紋(wen)(wen)(wen)的(de)原(yuan)因是(shi):點(dian)蝕坑(keng)底部較平坦,應力集中程度幾乎(hu)相同,只(zhi)要在比較薄弱(ruo)的(de)位(wei)置就產(chan)生(sheng)位(wei)錯滑移,進而產(chan)生(sheng)微(wei)裂(lie)(lie)(lie)紋(wen)(wen)(wen)。最終,同一(yi)面的(de)微(wei)裂(lie)(lie)(lie)紋(wen)(wen)(wen)匯(hui)聚成(cheng)一(yi)條(tiao)裂(lie)(lie)(lie)紋(wen)(wen)(wen),成(cheng)為(wei)主裂(lie)(lie)(lie)紋(wen)(wen)(wen)的(de)起源。

二(er)、應力(li)腐(fu)蝕裂(lie)紋擴展概率分(fen)析(xi)
應(ying)力(li)腐(fu)蝕裂紋擴展(zhan)(zhan)過程具有“三段”式特點,裂紋擴展(zhan)(zhan)速率(lv)與(yu)應(ying)力(li)強(qiang)度因子之間的關系如圖5-12所示。

在第Ⅰ階段,da/dt隨Ki增大而快速增加,該階段力學因素起主要作用,用時較短;第Ⅱ階段,da/dt比較穩定,幾乎與Ki無關,裂紋擴展速率不隨力學因素的變化而改變,完全由電化學條件決定,用時較長。第Ⅲ階段,裂紋擴展速率快速增加直至斷裂。
1. 裂紋擴展速率估算(suan)
應力腐蝕(shi)裂(lie)(lie)紋(wen)擴展(zhan)(zhan)(zhan)受環(huan)境、應力狀態(tai)以及材(cai)(cai)料微(wei)觀結構和(he)性能(neng)等眾多因(yin)素影(ying)響,不同情況下的(de)(de)(de)擴展(zhan)(zhan)(zhan)速(su)率(lv)不盡相同。到目前為止(zhi),裂(lie)(lie)紋(wen)擴展(zhan)(zhan)(zhan)速(su)率(lv)的(de)(de)(de)預測仍是應力腐蝕(shi)研究的(de)(de)(de)重點和(he)難(nan)(nan)點。目前,大(da)多數(shu)裂(lie)(lie)紋(wen)擴展(zhan)(zhan)(zhan)模(mo)型針對核電設備在高(gao)溫(wen)水環(huan)境中的(de)(de)(de)開裂(lie)(lie),Shoji模(mo)型和(he)Clark模(mo)型是兩個最具代表(biao)性的(de)(de)(de)定(ding)量預測模(mo)型。Shoji模(mo)型完全(quan)基于理論推導而獲得,模(mo)型中涉及的(de)(de)(de)變(bian)量較多,雖(sui)然(ran)能(neng)夠(gou)分析(xi)各種(zhong)環(huan)境、材(cai)(cai)料和(he)力學(xue)因(yin)素對裂(lie)(lie)紋(wen)擴展(zhan)(zhan)(zhan)速(su)率(lv)的(de)(de)(de)影(ying)響,但公(gong)式非(fei)常復雜,解(jie)析(xi)和(he)計算(suan)困(kun)難(nan)(nan),且公(gong)式中包含很多材(cai)(cai)料參(can)數(shu)和(he)電化(hua)學(xue)參(can)數(shu),組合后所(suo)代表(biao)的(de)(de)(de)物理意(yi)義(yi)不夠(gou)清晰(xi),定(ding)量化(hua)后的(de)(de)(de)精度難(nan)(nan)以保證,因(yin)此與工程(cheng)應用距離較遠(yuan)。
Clark模型是(shi)針(zhen)對不同(tong)材料,根據(ju)實(shi)驗(yan)數據(ju)得到的(de)一種經(jing)驗(yan)模型,模型中考(kao)慮(lv)了溫(wen)度(du)和材料的(de)屈服(fu)強(qiang)度(du)對裂(lie)紋擴展速率(lv)的(de)影響(xiang)。Clark模型通(tong)用表(biao)達(da)式為:

由于(yu)Clark模(mo)型(xing)中參數較(jiao)少,且(qie)溫度和屈服(fu)強度較(jiao)容易測得(de),因此該模(mo)型(xing)在實際(ji)工程中得(de)到了廣泛采用。本節便(bian)采用Clark模(mo)型(xing)研究奧氏體(ti)不銹鋼的(de)裂紋(wen)擴展速率問題(ti)。
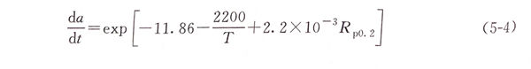
由于不同環境中的裂紋擴展速率很難采用統一的Clark模型表達式,所以本節對高溫低CI-濃度環境中裂紋擴展進行研究。例如管殼式換熱器,殼程介質一般為軟化水,介質中Cl-濃度很低,即使Cl-在換熱管與管板間的縫隙內富集,其濃度相對于飽和鹽溶液中的仍然很低,換熱管的工作溫度一般在200℃以上。因此,可認為換熱管所處的環境是高溫低Cl-濃度環境。基于式(5-3),根據文獻的試驗數據,擬合得到了裂紋擴展速率與溫度、屈服強度之間的關系式:

2.裂紋(wen)擴(kuo)展概(gai)率(lv)分析
考慮到式(5-4)中參數T和Rp0.2的不確定性,裂紋擴展速率da/dt具有一定的隨機性。從第4章的研究可知,溫度T可認為是服從正態分布的隨機變量。蘇成功對不同厚度不同牌號的奧氏體不銹鋼力學性能進行了測試,測量結果如表5-1所示。


對表5-1中四種不銹鋼材料屈服強度的分散性進行分析。通過分析發現,在顯著性水平0.05下,316L不銹鋼和304L不銹鋼的屈服強度服從正態分布,如圖5-13所示;受板厚度的影響,304不銹鋼屈服強度的分布規律不明顯。四種不銹鋼屈服強度的統計量計算結果如表5-2所示,由于321不銹鋼材料只涉及了一種板厚,因此屈服強度的變異系數較小;其他材料涉及了多種板厚,屈服強度的變異系數較大;如果只考慮一種板厚時,屈服強度的變異系數較小,在0.6%~2%之間。


基于以上分析,可認為奧氏體不銹鋼的屈服強度服從正態分布(μRp0.2, σ2Rp0.2),這和文獻中的結果是一致的。根據T和Rp0.2的分布函數就可以確定da/dt的概率分布。
當然,除了以上兩個參數,裂紋擴展的隨機性還與環境波動、應力波動以及材料成分和性能的微小差別有關。以T~N(240,4.52)、Rp0.2~N(320,462)為例,得到了裂紋擴展速率的正態概率圖,如圖5-14所示。僅從圖中觀察發現,裂紋擴展速率近似服從正態分布,但經檢驗,在顯著性水平α=0.05下裂紋擴展速率為正態分布的假設是不正確的。

三(san)、總結(jie)
本次主要(yao)討(tao)論了(le)點蝕坑內裂紋的萌生以(yi)及擴展。
①. 觀察(cha)了(le)點(dian)蝕坑(keng)的形貌,測量了(le)點(dian)蝕坑(keng)的尺(chi)寸(cun)。采用有(you)限元方法計算了(le)點(dian)蝕坑(keng)內(nei)的應力集(ji)(ji)中系數,得到了(le)點(dian)蝕坑(keng)不同尺(chi)寸(cun)對(dui)力集(ji)(ji)中系數的影響規(gui)律。從應力角度出(chu)發,分析(xi)了(le)應力集(ji)(ji)中與裂紋萌生(sheng)之間的關系。
②. 根據Clark公式,采用文獻中的試驗數據,擬合得到高溫低濃度Cl-環境中應力腐蝕裂紋擴展速率公式。
③. 得到了材料屈服(fu)強度(du)的(de)分布函數,對應力腐蝕裂(lie)紋擴(kuo)展的(de)隨機(ji)性進行了分析。

